Suppr超能文献

杀虫剂的使用对抗性动态的影响:来自巴西四个不同地区的埃及伊蚊种群的案例。

The impact of insecticide applications on the dynamics of resistance: The case of four Aedes aegypti populations from different Brazilian regions.

机构信息

Laboratório de Mosquitos Transmissores de Hematozoários, Instituto Oswaldo Cruz, Fundação Oswaldo Cruz, Rio de Janeiro, Brazil.

Laboratório de Fisiologia e Controle de Artrópodes Vetores, Instituto Oswaldo Cruz, Fundação Oswaldo Cruz, Rio de Janeiro, Brazil.

出版信息

PLoS Negl Trop Dis. 2018 Feb 12;12(2):e0006227. doi: 10.1371/journal.pntd.0006227. eCollection 2018 Feb.

Abstract

BACKGROUND

In the tropics, the utilization of insecticides is still an important strategy for controlling Aedes aegypti, the principle vector of dengue, chikungunya and Zika viruses. However, increasing insecticide resistance in Ae. aegypti populations might hinder insecticide efficacy on a long-term basis. It will be important to understand the dynamics and evolution of insecticide resistance by assessing its frequency and the mechanisms by which it occurs.

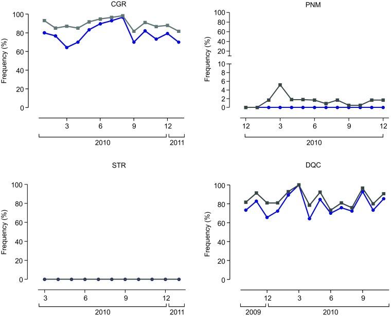
METHODOLOGY/PRINCIPAL FINDINGS: The insecticide resistance status of four Brazilian Ae. aegypti populations was monitored. Quantitative bioassays with the major insecticides employed in the country was performed: the adulticide deltamethrin (a pyrethroid-PY) and the larvicides, temephos (an organophosphate) and diflubenzuron (a chitin synthesis inhibitor). Temephos resistance was detected in all populations although exhibiting a slight decrease over time probably due to the interruption of field use. All vector populations were susceptible to diflubenzuron, recently introduced in the country to control Ae. aegypti. Resistance against deltamethrin was extremely high in three populations. Molecular assays investigated substitutions in the voltage gated sodium channel (NaV), the PY target site, at positions 1011, 1016 and 1534. Elevated frequencies of substitutions Val1016Ile and Phe1534Cys related to high PY resistance levels were identified. Biochemical assays detected alterations in the activities of two detoxifying enzyme classes related to metabolic resistance, glutathion-S-transferases and esterases. The results obtained were evaluated in the context of both recent insecticide use and the records of dengue incidence in each locality.

CONCLUSIONS/SIGNIFICANCE: The four Ae. aegypti populations evaluated were resistant to the neurotoxic insecticides, temephos and deltamethrin. However, they were still susceptible to diflubenzuron. A probable correlation between adult insect resistance to PY and the domestic application of insecticides is discussed, pointing to the need for awareness measures regarding the correct utilization by citizens. This work aims to contribute to the efficient and rational management of Ae. aegypti control of both larvae and adults.

摘要

背景

在热带地区,使用杀虫剂仍然是控制登革热、基孔肯雅热和寨卡病毒主要传播媒介埃及伊蚊的重要策略。然而,埃及伊蚊种群对杀虫剂的抗药性不断增强,可能会长期影响杀虫剂的效果。了解抗药性的动态和演变,评估其频率和发生机制,这一点非常重要。

方法/主要发现:监测了巴西四个埃及伊蚊种群的杀虫剂抗药性状况。使用该国主要使用的杀虫剂对成蚊进行定量生物测定:拟除虫菊酯(一种拟除虫菊酯-PY)和幼蚊杀虫剂,双硫磷(一种有机磷)和除虫脲(一种几丁质合成抑制剂)。尽管双硫磷的抗药性随着时间的推移略有下降,但所有种群都检测到了抗药性,这可能是由于田间使用中断所致。最近引入该国控制埃及伊蚊的除虫脲,所有蚊媒种群均对其敏感。三种种群对氯菊酯的抗药性极高。分子检测调查了电压门控钠离子通道(NaV)的靶位 1011、1016 和 1534 位置的替换。确定了与高 PY 抗性水平相关的 Val1016Ile 和 Phe1534Cys 替换的高频率。生化检测检测到与代谢抗性相关的两种解毒酶类的活性改变,谷胱甘肽-S-转移酶和酯酶。在每个地方最近使用杀虫剂和登革热发病率的记录的背景下评估了获得的结果。

结论/意义:评估的四个埃及伊蚊种群对神经毒剂双硫磷和氯菊酯具有抗药性。然而,它们仍然对除虫脲敏感。讨论了成蚊对 PY 的抗药性与国内杀虫剂应用之间可能存在的相关性,这表明需要提高公民对正确使用杀虫剂的认识。这项工作旨在为有效和合理管理埃及伊蚊幼虫和成虫的控制做出贡献。

https://cdn.ncbi.nlm.nih.gov/pmc/blobs/facf/5833288/39c347a18f5d/pntd.0006227.g001.jpg

文献AI研究员

20分钟写一篇综述,助力文献阅读效率提升50倍。

立即体验

用中文搜PubMed

大模型驱动的PubMed中文搜索引擎

马上搜索

文档翻译

学术文献翻译模型,支持多种主流文档格式。

立即体验