• 文献检索
  • 文档翻译
  • 深度研究
  • 学术资讯
  • Suppr Zotero 插件Zotero 插件
  • 邀请有礼
  • 套餐&价格
  • 历史记录
应用&插件
Suppr Zotero 插件Zotero 插件浏览器插件Mac 客户端Windows 客户端微信小程序
定价
高级版会员购买积分包购买API积分包
服务
文献检索文档翻译深度研究API 文档MCP 服务
关于我们
关于 Suppr公司介绍联系我们用户协议隐私条款
关注我们

Suppr 超能文献

核心技术专利:CN118964589B侵权必究
粤ICP备2023148730 号-1Suppr @ 2026

文献检索

告别复杂PubMed语法,用中文像聊天一样搜索,搜遍4000万医学文献。AI智能推荐,让科研检索更轻松。

立即免费搜索

文件翻译

保留排版,准确专业,支持PDF/Word/PPT等文件格式,支持 12+语言互译。

免费翻译文档

深度研究

AI帮你快速写综述,25分钟生成高质量综述,智能提取关键信息,辅助科研写作。

立即免费体验

为同行评审争取审稿人是否变得越来越难?基于五本生态学期刊数据的一项测试。

Is it becoming harder to secure reviewers for peer review? A test with data from five ecology journals.

作者信息

Albert Arianne Y K, Gow Jennifer L, Cobra Alison, Vines Timothy H

机构信息

1Women's Health Research Institute, 4500 Oak Street, Vancouver, BC Canada V6H 3N1.

Molecular Ecology Editorial Office, 6270 University Blvd, Vancouver, BC Canada V6T 1Z4.

出版信息

Res Integr Peer Rev. 2016 Nov 4;1:14. doi: 10.1186/s41073-016-0022-7. eCollection 2016.

DOI:10.1186/s41073-016-0022-7
PMID:29451554
原文链接:https://pmc.ncbi.nlm.nih.gov/articles/PMC5803631/
Abstract

BACKGROUND

There is concern in the academic publishing community that it is becoming more difficult to secure reviews for peer-reviewed manuscripts, but much of this concern stems from anecdotal and rhetorical evidence.

METHODS

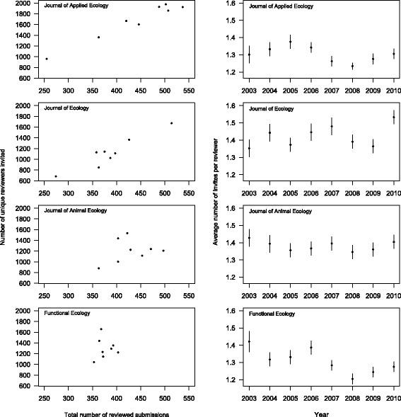
We examined the proportion of review requests that led to a completed review over a 6-year period (2009-2015) in a mid-tier biology journal (). We also re-analyzed previously published data from four other mid-tier ecology journals (, , , and ), looking at the same proportion over the period 2003 to 2010.

RESULTS

The data from showed no significant decrease through time in the proportion of requests that led to a review (proportion in 2009 = 0.47 (95 % CI = 0.43 to 0.52), proportion in 2015 = 0.44 (95 % CI = 0.40 to 0.48)). This proportion did decrease for three of the other ecology journals (changes in proportions from 2003 to 2010 = -0.10, -0.18, and -0.09), while the proportion for the fourth () stayed roughly constant (change in proportion = -0.04).

CONCLUSIONS

Overall, our data suggest that reviewer agreement rates have probably declined slightly but not to the extent suggested by the anecdotal and rhetorical evidence.

摘要

背景

学术出版界担心为同行评审稿件获得评审意见变得越来越困难,但这种担忧大多源于传闻和言辞证据。

方法

我们研究了一本中等水平生物学杂志在6年期间(2009 - 2015年)收到的评审请求中最终形成完整评审意见的比例。我们还重新分析了其他四本中等水平生态学杂志([杂志名称1]、[杂志名称2]、[杂志名称3]和[杂志名称4])先前发表的数据,查看2003年至2010年期间的相同比例。

结果

[杂志名称]的数据显示,随着时间推移,导致形成评审意见的请求比例没有显著下降(2009年比例 = 0.47(95%置信区间 = 0.43至0.52),2015年比例 = 0.44(95%置信区间 = 0.40至0.48))。其他三本生态学杂志的这一比例有所下降(2003年至2010年比例变化 = -0.10、-0.18和 -0.09),而第四本杂志([杂志名称4])的比例大致保持不变(比例变化 = -0.04)。

结论

总体而言,我们的数据表明评审员同意率可能略有下降,但未达到传闻和言辞证据所显示的程度。

https://cdn.ncbi.nlm.nih.gov/pmc/blobs/4fb3/5803631/1629e0db6424/41073_2016_22_Fig5_HTML.jpg
https://cdn.ncbi.nlm.nih.gov/pmc/blobs/4fb3/5803631/62bb7790e611/41073_2016_22_Fig1_HTML.jpg
https://cdn.ncbi.nlm.nih.gov/pmc/blobs/4fb3/5803631/0d59416cea5b/41073_2016_22_Fig2_HTML.jpg
https://cdn.ncbi.nlm.nih.gov/pmc/blobs/4fb3/5803631/976bf5a5a2ad/41073_2016_22_Fig3_HTML.jpg
https://cdn.ncbi.nlm.nih.gov/pmc/blobs/4fb3/5803631/f04b19eb6844/41073_2016_22_Fig4_HTML.jpg
https://cdn.ncbi.nlm.nih.gov/pmc/blobs/4fb3/5803631/1629e0db6424/41073_2016_22_Fig5_HTML.jpg
https://cdn.ncbi.nlm.nih.gov/pmc/blobs/4fb3/5803631/62bb7790e611/41073_2016_22_Fig1_HTML.jpg
https://cdn.ncbi.nlm.nih.gov/pmc/blobs/4fb3/5803631/0d59416cea5b/41073_2016_22_Fig2_HTML.jpg
https://cdn.ncbi.nlm.nih.gov/pmc/blobs/4fb3/5803631/976bf5a5a2ad/41073_2016_22_Fig3_HTML.jpg
https://cdn.ncbi.nlm.nih.gov/pmc/blobs/4fb3/5803631/f04b19eb6844/41073_2016_22_Fig4_HTML.jpg
https://cdn.ncbi.nlm.nih.gov/pmc/blobs/4fb3/5803631/1629e0db6424/41073_2016_22_Fig5_HTML.jpg

相似文献

1
Is it becoming harder to secure reviewers for peer review? A test with data from five ecology journals.为同行评审争取审稿人是否变得越来越难?基于五本生态学期刊数据的一项测试。
Res Integr Peer Rev. 2016 Nov 4;1:14. doi: 10.1186/s41073-016-0022-7. eCollection 2016.
2
Recruitment of reviewers is becoming harder at some journals: a test of the influence of reviewer fatigue at six journals in ecology and evolution.在一些期刊中,招募审稿人变得越来越困难:对生态学和进化领域六本期刊审稿人疲劳影响的一项测试。
Res Integr Peer Rev. 2017 Mar 8;2:3. doi: 10.1186/s41073-017-0027-x. eCollection 2017.
3
"It is becoming increasingly difficult to find reviewers"-myths and facts about peer review.“寻找审稿人越来越难了”-同行评审的误区与真相。
J Comp Physiol A Neuroethol Sens Neural Behav Physiol. 2024 Jan;210(1):1-5. doi: 10.1007/s00359-023-01642-w. Epub 2023 Jun 15.
4
Fate of manuscripts declined by the Journal of the American Academy of Dermatology.被《美国皮肤科学会杂志》拒稿的稿件的去向
J Am Acad Dermatol. 2008 Apr;58(4):632-5. doi: 10.1016/j.jaad.2007.12.025. Epub 2008 Feb 4.
5
Shared burden is always lighter - Peer-review performance in an ophthalmological journal 2010-2020.共同的负担总是更轻——2010-2020 年眼科期刊的同行评议表现。
Acta Ophthalmol. 2022 Aug;100(5):559-563. doi: 10.1111/aos.15033. Epub 2021 Oct 5.
6
Comparison of self-citation by peer reviewers in a journal with single-blind peer review versus a journal with open peer review.单盲同行评审期刊与开放同行评审期刊中同行评审者自引情况的比较。
J Psychosom Res. 2015 Dec;79(6):561-5. doi: 10.1016/j.jpsychores.2015.08.004. Epub 2015 Aug 22.
7
Retrospective analysis of the quality of reports by author-suggested and non-author-suggested reviewers in journals operating on open or single-blind peer review models.对采用开放或单盲同行评审模式的期刊中,由作者推荐和非作者推荐的审稿人所撰写报告的质量进行回顾性分析。
BMJ Open. 2015 Sep 29;5(9):e008707. doi: 10.1136/bmjopen-2015-008707.
8
Variability of Reviewers' Comments in the Peer Review Process for Orthopaedic Research.骨科研究同行评审过程中审稿人意见的可变性
Spine Deform. 2016 Jul;4(4):268-271. doi: 10.1016/j.jspd.2016.01.004. Epub 2016 Jun 16.
9
The Growth of Poorly Cited Articles in Peer-Reviewed Orthopaedic Journals.同行评议矫形外科期刊中引用不佳文章的增长。
Clin Orthop Relat Res. 2019 Jul;477(7):1727-1735. doi: 10.1097/CORR.0000000000000727.
10
Imbalance in individual researcher's peer review activities quantified for four British Ecological Society journals, 2003-2010.2003 - 2010年期间,针对英国生态学会的四种期刊,对个别研究人员同行评审活动的不平衡情况进行了量化。
PLoS One. 2014 Mar 21;9(3):e92896. doi: 10.1371/journal.pone.0092896. eCollection 2014.

引用本文的文献

1
The challenge of recruiting peer reviewers from one medical journal's perspective.从一本医学期刊的角度看招募同行评审员的挑战。
Proc (Bayl Univ Med Cent). 2022 Feb 10;35(3):394-396. doi: 10.1080/08998280.2022.2035189. eCollection 2022.
2
Peer review analysis in the field of radiation oncology: results from a web-based survey of the Young DEGRO working group.放疗领域的同行评议分析:一项 Young DEGRO 工作组网络调查的结果。
Strahlenther Onkol. 2021 Aug;197(8):667-673. doi: 10.1007/s00066-020-01729-2. Epub 2020 Dec 18.
3
-past highlights and future directions.

本文引用的文献

1
Imbalance in individual researcher's peer review activities quantified for four British Ecological Society journals, 2003-2010.2003 - 2010年期间,针对英国生态学会的四种期刊,对个别研究人员同行评审活动的不平衡情况进行了量化。
PLoS One. 2014 Mar 21;9(3):e92896. doi: 10.1371/journal.pone.0092896. eCollection 2014.
2
No crisis in supply of peer reviewers.同行评审员供应不存在危机。
Nature. 2010 Dec 23;468(7327):1041. doi: 10.1038/4681041a.
3
Battling the paper glut.应对论文过剩问题。
- 过去的亮点与未来的方向。
Res Integr Peer Rev. 2018 Mar 6;3:3. doi: 10.1186/s41073-018-0047-1. eCollection 2018.
4
Recruitment of reviewers is becoming harder at some journals: a test of the influence of reviewer fatigue at six journals in ecology and evolution.在一些期刊中,招募审稿人变得越来越困难:对生态学和进化领域六本期刊审稿人疲劳影响的一项测试。
Res Integr Peer Rev. 2017 Mar 8;2:3. doi: 10.1186/s41073-017-0027-x. eCollection 2017.
Science. 2010 Sep 17;329(5998):1466. doi: 10.1126/science.329.5998.1466-a.
4
Peer review--do unto others ..
Am J Epidemiol. 2010 Jun 15;171(12):1249. doi: 10.1093/aje/kwq146. Epub 2010 May 26.