Department of Botany, University of British Columbia, Vancouver, BC, Canada.
Institut Jean-Pierre Bourgin, UMR 1318, INRA, AgroParisTech, CNRS, Université Paris-Saclay, Versailles Cedex, France.
J Exp Bot. 2018 Apr 9;69(8):1849-1859. doi: 10.1093/jxb/ery067.
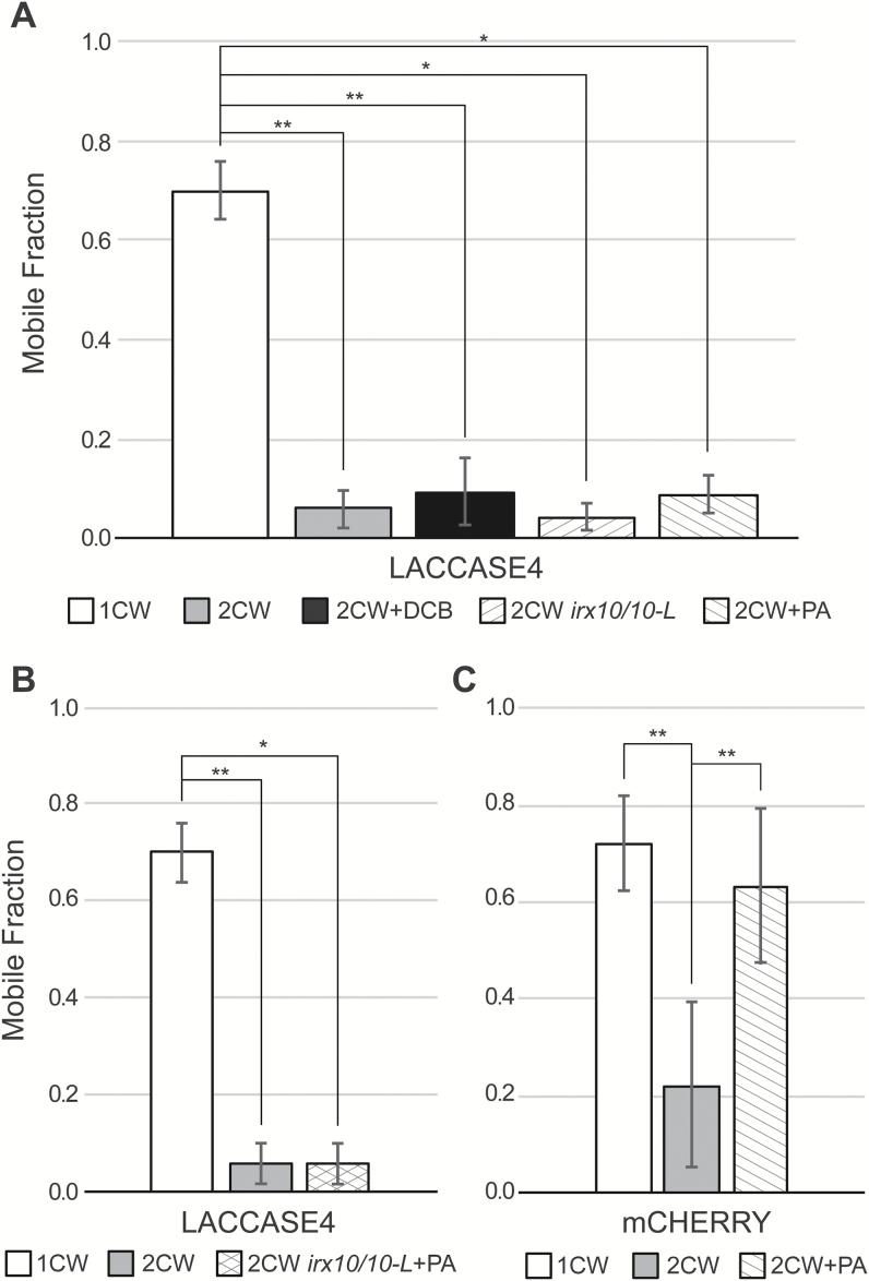
Lignin is an important phenolic biopolymer that provides strength and rigidity to the secondary cell walls of tracheary elements, sclereids, and fibers in vascular plants. Lignin precursors, called monolignols, are synthesized in the cell and exported to the cell wall where they are polymerized into lignin by oxidative enzymes such as laccases and peroxidases. In Arabidopsis thaliana, a peroxidase (PRX64) and laccase (LAC4) are shown to localize differently within cell wall domains in interfascicular fibers: PRX64 localizes to the middle lamella whereas LAC4 localizes throughout the secondary cell wall layers. Similarly, laccases localized to, and are responsible for, the helical depositions of lignin in protoxylem tracheary elements. In addition, we tested the mobility of laccases in the cell wall using fluorescence recovery after photobleaching. mCHERRY-tagged LAC4 was immobile in secondary cell wall domains, but mobile in the primary cell wall when ectopically expressed. A small secreted red fluorescent protein (sec-mCHERRY) was engineered as a control and was found to be mobile in both the primary and secondary cell walls. Unlike sec-mCHERRY, the tight anchoring of LAC4 to secondary cell wall domains indicated that it cannot be remobilized once secreted, and this anchoring underlies the spatial control of lignification.
木质素是一种重要的酚类生物聚合物,为维管束植物中的导管分子、石细胞和纤维的次生细胞壁提供强度和刚性。木质素前体,称为单体酚,在细胞中合成并输出到细胞壁,在细胞壁中,它们被氧化酶如漆酶和过氧化物酶聚合形成木质素。在拟南芥中,一种过氧化物酶(PRX64)和漆酶(LAC4)被证明在居间纤维的细胞壁域中定位不同:PRX64 定位于中层,而 LAC4 定位于次生细胞壁的各个层。同样,漆酶定位于并负责初生木质部导管分子中木质素的螺旋沉积。此外,我们使用光漂白后荧光恢复测试了漆酶在细胞壁中的流动性。mCHERRY 标记的 LAC4 在次生细胞壁域中不移动,但在外源表达时在初生细胞壁中移动。一个小的分泌型红色荧光蛋白(sec-mCHERRY)被设计为对照,发现它在初生和次生细胞壁中都具有流动性。与 sec-mCHERRY 不同,LAC4 与次生细胞壁域的紧密锚定表明它一旦分泌就不能再重新移动,这种锚定是木质素空间控制的基础。