Suppr超能文献

使用缰绳张力装置比较基础训练水平的温血马在行走时颈部屈曲的不同训练方法。

The use of a rein tension device to compare different training methods for neck flexion in base-level trained Warmblood horses at the walk.

作者信息

Veen I, Killian D, Vlaminck L, Vernooij J C M, Back W

机构信息

Department of Equine Sciences, Faculty of Veterinary Medicine, Utrecht University, Utrecht, The Netherlands.

Faculty of Science, Utrecht University, Utrecht, The Netherlands.

出版信息

Equine Vet J. 2018 Nov;50(6):825-830. doi: 10.1111/evj.12831. Epub 2018 Apr 6.

Abstract

BACKGROUND

Debate surrounds the use of high rein tension for obtaining different head and neck positions in the training of sport horses on account of possible welfare issues.

OBJECTIVES

To compare auxiliary rein tension in two methods (Draw Reins and Concord Leader) for obtaining a standardised head and neck position on a hard and a soft surface.

STUDY DESIGN

Intervention study.

METHODS

Left and right rein tensions were measured in 11 base-level trained client-owned sport horses (mean age ± s.d.; 10 ± 3.2 years) exercised in-hand with, in a random order, conventional draw reins or the newly developed Concord Leader in a standardised head and neck position. Rein tension was measured using a calibrated device operating at 10 Hz during six runs of 15 s in a straight line for each training method on both a hard and a soft surface. A linear mixed model and grouped logistic regression analysis were applied to compare the two methods (P<0.05).

RESULTS

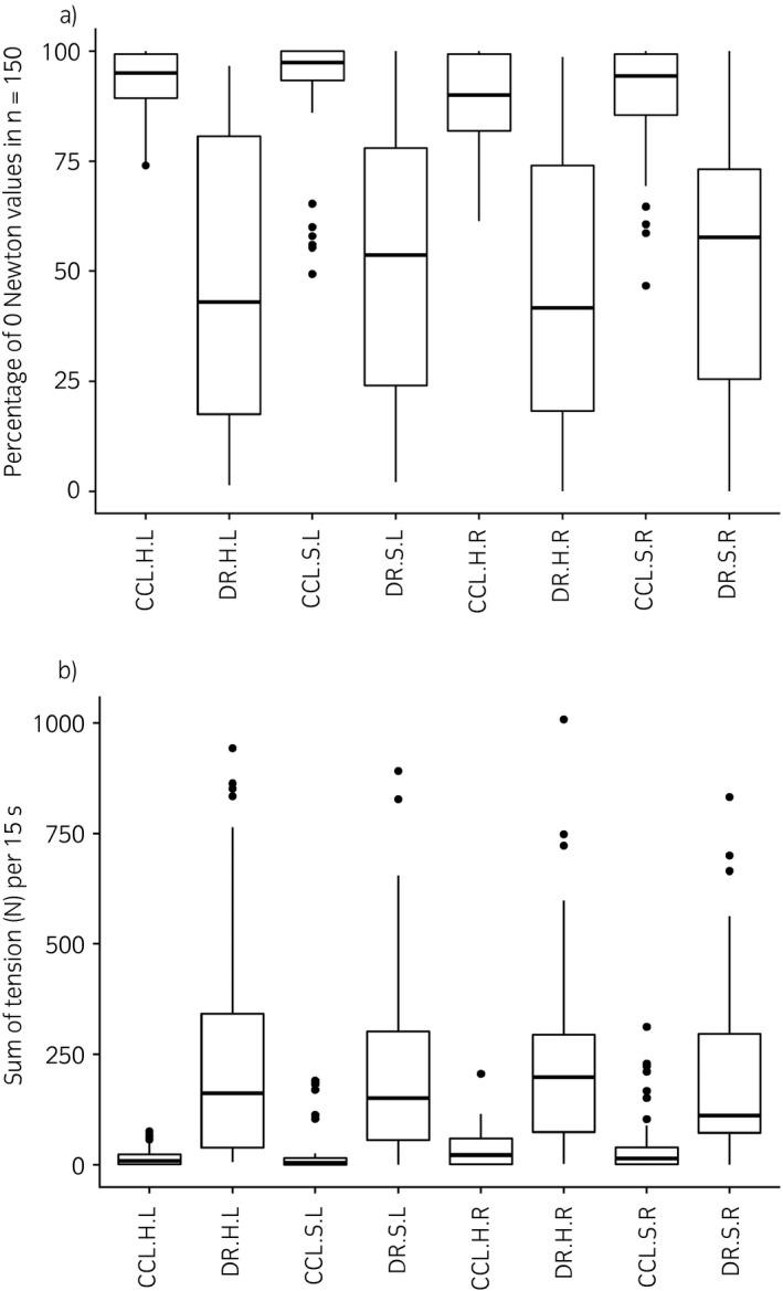
The odds of a tension of 0 N were lower with draw reins than with the Concord Leader. The rein tension (mean sum of the force applied, in N) of the draw reins was 13.8 times higher than that of the Concord Leader.

MAIN LIMITATIONS

This study was performed on horses exercised in-hand; however, these auxiliary aids are normally used when lungeing. Possible redirection of rein tension towards the poll was not measured.

CONCLUSIONS

We showed that when using the Concord Leader a similar head and neck position is achieved with a much lower rein tension than with the draw reins and, more importantly, with a much greater likelihood of 0 N. It is unnecessary to use high auxiliary rein tension to obtain a standard, flexed head and neck position.

摘要

背景

由于可能存在的福利问题,在运动马训练中使用高缰绳张力来获得不同的头颈部姿势引发了争议。

目的

比较两种方法(牵引缰绳和协和引导器)在硬地面和软地面上获得标准化头颈部姿势时的辅助缰绳张力。

研究设计

干预性研究。

方法

对11匹基础水平训练的客户拥有的运动马(平均年龄±标准差;10±3.2岁)进行测量,这些马在牵遛时随机使用传统牵引缰绳或新开发的协和引导器,以标准化的头颈部姿势进行训练。使用校准设备在硬地面和软地面上,针对每种训练方法,在直线上进行6次15秒的跑动过程中,以10赫兹的频率测量缰绳张力。应用线性混合模型和分组逻辑回归分析来比较这两种方法(P<0.05)。

结果

牵引缰绳产生0 N张力的几率低于协和引导器。牵引缰绳的缰绳张力(施加力的平均总和,单位为N)比协和引导器高13.8倍。

主要局限性

本研究是在牵遛的马匹上进行的;然而,这些辅助工具通常在进行圈乘训练时使用。未测量缰绳张力可能向头顶方向的重新分布。

结论

我们表明,使用协和引导器时,能以比牵引缰绳低得多的缰绳张力获得相似的头颈部姿势,更重要的是,产生0 N张力的可能性要大得多。无需使用高辅助缰绳张力来获得标准的、弯曲的头颈部姿势。

https://cdn.ncbi.nlm.nih.gov/pmc/blobs/ee16/6174990/710f0611bad5/EVJ-50-825-g001.jpg

文献AI研究员

20分钟写一篇综述,助力文献阅读效率提升50倍。

立即体验

用中文搜PubMed

大模型驱动的PubMed中文搜索引擎

马上搜索

文档翻译

学术文献翻译模型,支持多种主流文档格式。

立即体验