Suppr超能文献

膀胱尿路上皮癌患者血液学参数的临床价值评估。

Evaluation of the clinical value of hematological parameters in patients with urothelial carcinoma of the bladder.

作者信息

Luo Yuzhen, Shi Xiang, Li Wenchao, Mo Lijun, Yang Zheng, Li Xiaohong, Qin Liuqun, Mo Wuning

机构信息

Department of Clinical Laboratory, The First Affiliated Hospital of Guangxi Medical University, Nanning, Guangxi Zhuang Autonomous Region, China.

出版信息

Medicine (Baltimore). 2018 Apr;97(14):e0351. doi: 10.1097/MD.0000000000010351.

Abstract

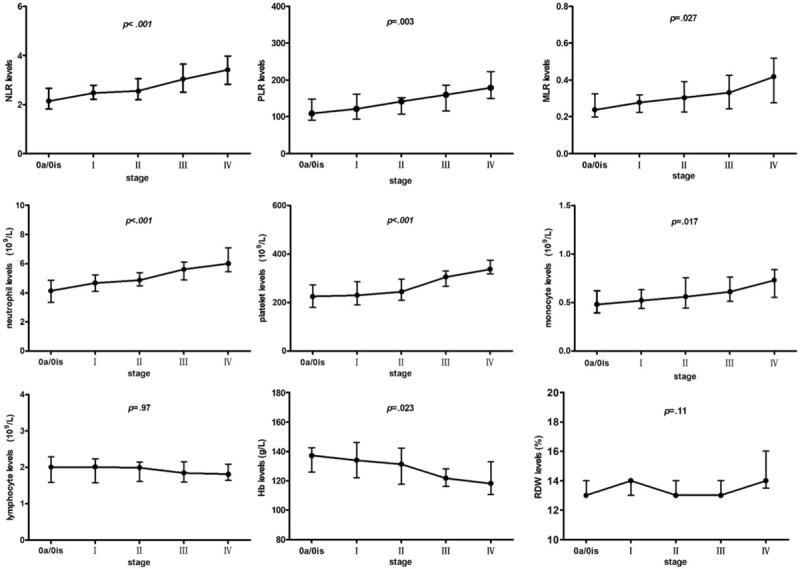
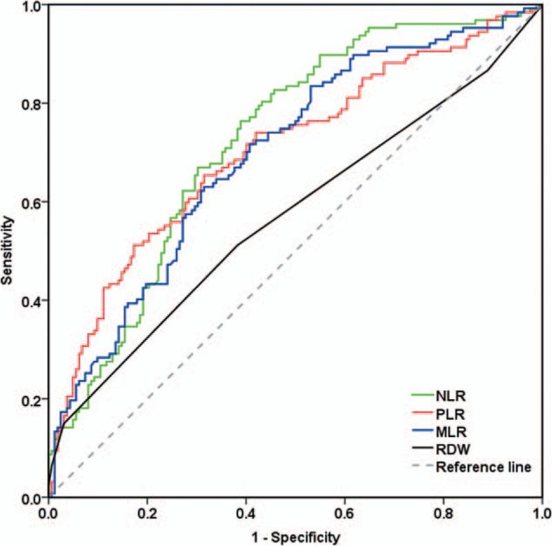
This study aimed to evaluate the clinical significance of pretreatment red cell distribution width (RDW), monocyte/lymphocyte ratio (MLR), neutrophil/lymphocyte ratio (NLR), and platelet/lymphocyte ratio (PLR) in patients with urothelial carcinoma of the bladder (UCB).Hematological parameters of 127 consecutive patients with UCB and 162 healthy controls were retrospectively analyzed. Receiver operating characteristic curve was plotted to determine the optimal cut-off value of RDW, MLR, NLR, and PLR to predict UCB. Whether these parameters could be independent predictors of UCB and had an association with the demographics and clinical characteristics of patients were also assessed.Patients with UCB had higher pretreatment RDW, MLR, NLR, and PLR compared with the healthy controls. With the tumor progression, MLR, NLR, and PLR rose consistently, whereas no significant difference was observed in RDW across tumor stages. NLR and PLR were associated with tumor size and tumor grade, while MLR was correlated with tumor size only. The best threshold of RDW, MLR, NLR, and PLR to predict UCB was 13.50%, 0.26, 2.16, and 128.46, respectively. Multivariate logistic regression model identified NLR ≥ 2.16 (odds ratio [OR] = 2.914; P < .001) and PLR ≥ 128.46 (OR = 2.761; P < .001) as independent predictors of UCB. High NLR and PLR were also associated with tumor markers, such as carcinoembryonic antigen and α-fetoprotein.Pretreatment NLR and PLR could be significant independent predictors of UCB. These simple and readily available inflammatory markers therefore might be used to manage the disease.

摘要

本研究旨在评估治疗前红细胞分布宽度(RDW)、单核细胞/淋巴细胞比值(MLR)、中性粒细胞/淋巴细胞比值(NLR)和血小板/淋巴细胞比值(PLR)在膀胱尿路上皮癌(UCB)患者中的临床意义。回顾性分析了127例连续的UCB患者和162例健康对照者的血液学参数。绘制受试者工作特征曲线以确定RDW、MLR、NLR和PLR预测UCB的最佳截断值。还评估了这些参数是否为UCB的独立预测指标以及与患者人口统计学和临床特征的相关性。与健康对照相比,UCB患者治疗前的RDW、MLR、NLR和PLR更高。随着肿瘤进展,MLR、NLR和PLR持续升高,而RDW在各肿瘤分期之间未观察到显著差异。NLR和PLR与肿瘤大小和肿瘤分级相关,而MLR仅与肿瘤大小相关。预测UCB的RDW、MLR、NLR和PLR的最佳阈值分别为13.50%、0.26、2.16和128.46。多因素逻辑回归模型确定NLR≥2.16(比值比[OR]=2.914;P<0.001)和PLR≥128.46(OR=2.761;P<0.001)为UCB的独立预测指标。高NLR和PLR也与癌胚抗原和甲胎蛋白等肿瘤标志物相关。治疗前的NLR和PLR可能是UCB的重要独立预测指标。因此,这些简单且易于获得的炎症标志物可用于疾病管理。

https://cdn.ncbi.nlm.nih.gov/pmc/blobs/5f02/5902274/a29e62cf7867/medi-97-e0351-g003.jpg

文献检索

告别复杂PubMed语法,用中文像聊天一样搜索,搜遍4000万医学文献。AI智能推荐,让科研检索更轻松。

立即免费搜索

文件翻译

保留排版,准确专业,支持PDF/Word/PPT等文件格式,支持 12+语言互译。

免费翻译文档

深度研究

AI帮你快速写综述,25分钟生成高质量综述,智能提取关键信息,辅助科研写作。

立即免费体验