Suppr超能文献

中药对 PAO1 群体感应调节毒力的影响。

The Effects of Chinese Herbal Medicines on the Quorum Sensing-Regulated Virulence in PAO1.

机构信息

Division of Genetics and Molecular Biology, ISB, Faculty of Science, University of Malaya, Kuala Lumpur 50603, Malaysia.

Vice Chancellor Office, Jiangsu University, Zhenjiang 212013, China.

出版信息

Molecules. 2018 Apr 21;23(4):972. doi: 10.3390/molecules23040972.

Abstract

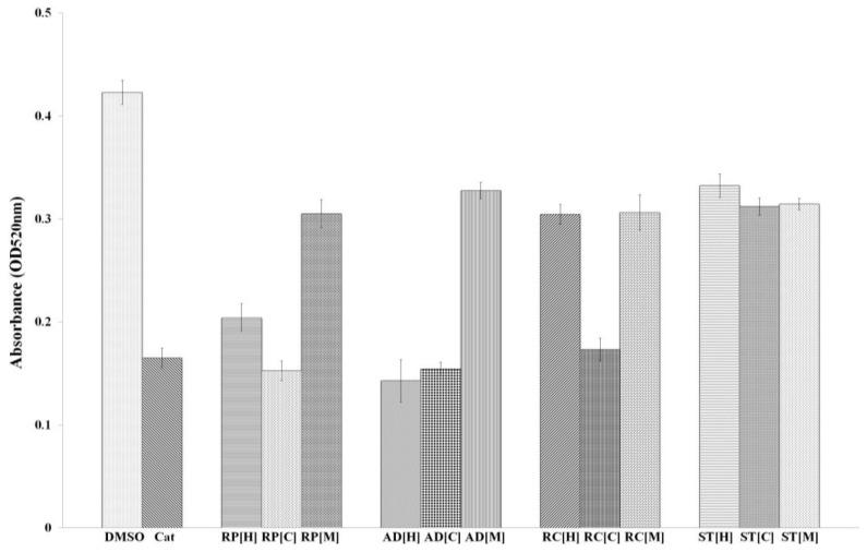
The quorum sensing (QS) system has been used by many opportunistic pathogenic bacteria to coordinate their virulence determinants in relation to cell-population density. As antibiotic-resistant bacteria are on the rise, interference with QS has been regarded as a novel way to control bacterial infections. As such, many plant-based natural products have been widely explored for their therapeutic roles. These natural products may contain anti-QS compounds that could block QS signals generation or transmission to combat QS pathogens. In this study, we report the anti-QS activities of four different Chinese herbal plant extracts: , , and , on PAO1. All the plants extracted using hexane, chloroform and methanol were tested and found to impair swarming motility and pyocyanin production in PAO1, particularly by . In addition, all the plant extracts also inhibited violacein production in CV026 up to 50% while bioluminescence activities were reduced in -based biosensors, pSB401 and pSB1075, up to about 57%. These anti-QS properties of the four medicinal plants are the first documentation that demonstrates a potential approach to attenuate pathogens’ virulence determinants.

摘要

群体感应 (QS) 系统已被许多机会致病菌用于协调其毒力决定因素与细胞群体密度的关系。随着抗生素耐药菌的不断增加,干扰 QS 已被视为控制细菌感染的一种新方法。因此,许多植物源性天然产物因其治疗作用而被广泛探索。这些天然产物可能含有抗 QS 化合物,可以阻断 QS 信号的产生或传递,以对抗 QS 病原体。在这项研究中,我们报告了四种不同中草药提取物—— 、 、 和 对 PAO1 的抗 QS 活性。使用正己烷、氯仿和甲醇提取的所有植物都被测试过,并发现它们可以损害 PAO1 的群集运动和绿脓菌素的产生,尤其是 。此外,所有的植物提取物也抑制了 CV026 中多达 50%的紫胶红产生,而基于 -的生物传感器 pSB401 和 pSB1075 的生物发光活性降低了约 57%。这四种药用植物的抗 QS 特性是首次证明了一种潜在的方法来减弱病原体毒力决定因素的证明。

https://cdn.ncbi.nlm.nih.gov/pmc/blobs/de2b/6017394/1dfb14e508d8/molecules-23-00972-g001.jpg

文献AI研究员

20分钟写一篇综述,助力文献阅读效率提升50倍。

立即体验

用中文搜PubMed

大模型驱动的PubMed中文搜索引擎

马上搜索

文档翻译

学术文献翻译模型,支持多种主流文档格式。

立即体验