• 文献检索
  • 文档翻译
  • 深度研究
  • 学术资讯
  • Suppr Zotero 插件Zotero 插件
  • 邀请有礼
  • 套餐&价格
  • 历史记录
应用&插件
Suppr Zotero 插件Zotero 插件浏览器插件Mac 客户端Windows 客户端微信小程序
定价
高级版会员购买积分包购买API积分包
服务
文献检索文档翻译深度研究API 文档MCP 服务
关于我们
关于 Suppr公司介绍联系我们用户协议隐私条款
关注我们

Suppr 超能文献

核心技术专利:CN118964589B侵权必究
粤ICP备2023148730 号-1Suppr @ 2026

文献检索

告别复杂PubMed语法,用中文像聊天一样搜索,搜遍4000万医学文献。AI智能推荐,让科研检索更轻松。

立即免费搜索

文件翻译

保留排版,准确专业,支持PDF/Word/PPT等文件格式,支持 12+语言互译。

免费翻译文档

深度研究

AI帮你快速写综述,25分钟生成高质量综述,智能提取关键信息,辅助科研写作。

立即免费体验

计步器和 Actical 加速度计在估计成年人身体活动中的会聚效度。

Convergent validity of ActiGraph and Actical accelerometers for estimating physical activity in adults.

机构信息

Human Potential Centre, Auckland University of Technology, Auckland, New Zealand.

Research Unit for Active Living, University of Southern Denmark, Odense, Denmark.

出版信息

PLoS One. 2018 Jun 12;13(6):e0198587. doi: 10.1371/journal.pone.0198587. eCollection 2018.

DOI:10.1371/journal.pone.0198587
PMID:29894485
原文链接:https://pmc.ncbi.nlm.nih.gov/articles/PMC5997323/
Abstract

PURPOSE

The aim of the present study was to examine the convergent validity of two commonly-used accelerometers for estimating time spent in various physical activity intensities in adults.

METHODS

The sample comprised 37 adults (26 males) with a mean (SD) age of 37.6 (12.2) years from San Diego, USA. Participants wore ActiGraph GT3X+ and Actical accelerometers for three consecutive days. Percent agreement was used to compare time spent within four physical activity intensity categories under three counts per minute (CPM) threshold protocols: (1) using thresholds developed specifically for each accelerometer, (2) applying ActiGraph thresholds to regression-rectified Actical CPM data, and (3) developing new 'optimal' Actical thresholds.

RESULTS

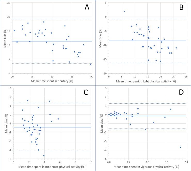
Using Protocol 1, the Actical estimated significantly less time spent in light (-16.3%), moderate (-2.8%), and vigorous (-0.4%) activity than the ActiGraph, but greater time spent sedentary (+20.5%). Differences were slightly more pronounced when the low frequency extension filter on the ActiGraph was enabled. The two adjustment methods (Protocols 2 and 3) improved agreement in this sample.

CONCLUSIONS

Our findings show that ActiGraph and Actical accelerometers provide significantly different estimates of time spent in various physical activity intensities. Regression and threshold adjustment were able to reduce these differences, although some level of non-agreement persisted. Researchers should be aware of the inherent limitations of count-based physical activity assessment when reporting and interpreting study findings.

摘要

目的

本研究旨在检验两种常用于估计成年人不同身体活动强度所花费时间的加速度计的收敛效度。

方法

该样本包括来自美国圣地亚哥的 37 名成年人(26 名男性),平均(SD)年龄为 37.6(12.2)岁。参与者佩戴 ActiGraph GT3X+ 和 Actical 加速度计连续三天。使用百分比一致性来比较在三个每分钟计数(CPM)阈值协议下四个身体活动强度类别中花费的时间:(1)使用为每个加速度计专门开发的阈值,(2)将 ActiGraph 阈值应用于回归校正的 Actical CPM 数据,以及(3)开发新的“最佳”Actical 阈值。

结果

使用协议 1,Actical 估计的轻体力活动(-16.3%)、中强度体力活动(-2.8%)和高强度体力活动(-0.4%)时间明显少于 ActiGraph,但久坐时间(+20.5%)更多。当 ActiGraph 上启用低频扩展滤波器时,差异更加明显。两种调整方法(协议 2 和 3)改善了该样本中的一致性。

结论

我们的研究结果表明,ActiGraph 和 Actical 加速度计提供了对不同身体活动强度所花费时间的显著不同的估计。回归和阈值调整能够减少这些差异,但仍存在一定程度的不一致。当报告和解释研究结果时,研究人员应该意识到基于计数的身体活动评估的固有局限性。

https://cdn.ncbi.nlm.nih.gov/pmc/blobs/7de0/5997323/9056f7125128/pone.0198587.g002.jpg
https://cdn.ncbi.nlm.nih.gov/pmc/blobs/7de0/5997323/a31561022e40/pone.0198587.g001.jpg
https://cdn.ncbi.nlm.nih.gov/pmc/blobs/7de0/5997323/9056f7125128/pone.0198587.g002.jpg
https://cdn.ncbi.nlm.nih.gov/pmc/blobs/7de0/5997323/a31561022e40/pone.0198587.g001.jpg
https://cdn.ncbi.nlm.nih.gov/pmc/blobs/7de0/5997323/9056f7125128/pone.0198587.g002.jpg

相似文献

1
Convergent validity of ActiGraph and Actical accelerometers for estimating physical activity in adults.计步器和 Actical 加速度计在估计成年人身体活动中的会聚效度。
PLoS One. 2018 Jun 12;13(6):e0198587. doi: 10.1371/journal.pone.0198587. eCollection 2018.
2
Comparison of ActiGraph GT3X+ and Actical accelerometer data in 9-11-year-old Canadian children.加拿大9至11岁儿童中ActiGraph GT3X+与Actical加速度计数据的比较。
J Sports Sci. 2017 Mar;35(6):517-524. doi: 10.1080/02640414.2016.1175653. Epub 2016 Apr 22.
3
Calibration of ActiGraph GT3X, Actical and RT3 accelerometers in adolescents.青少年时期 ActiGraph GT3X、Actical 和 RT3 加速度计的校准。
Eur J Sport Sci. 2014;14(1):91-9. doi: 10.1080/17461391.2012.732614. Epub 2012 Oct 18.
4
Comparing the Actical and ActiGraph Approach to Measuring Young Children's Physical Activity Levels and Sedentary Time.比较Actical与ActiGraph测量幼儿身体活动水平和久坐时间的方法。
Pediatr Exerc Sci. 2016 Feb;28(1):133-42. doi: 10.1123/pes.2014-0218. Epub 2015 Jul 17.
5
Comparing accelerometer, pedometer and a questionnaire for measuring physical activity in bronchiectasis: a validity and feasibility study?比较加速度计、计步器和问卷在测量支气管扩张症患者身体活动方面的应用:一项效度与可行性研究?
Respir Res. 2017 Jan 14;18(1):16. doi: 10.1186/s12931-016-0497-2.
6
Translation equations to compare ActiGraph GT3X and Actical accelerometers activity counts.比较 ActiGraph GT3X 和 Actical 加速度计活动计数的转换方程。
BMC Med Res Methodol. 2012 Apr 20;12:54. doi: 10.1186/1471-2288-12-54.
7
Validating accelerometry as a measure of physical activity and energy expenditure in chronic stroke.验证加速度计作为慢性卒中患者身体活动和能量消耗测量方法的有效性。
Top Stroke Rehabil. 2017 Jan;24(1):18-23. doi: 10.1080/10749357.2016.1183866. Epub 2016 Jun 20.
8
Comparison of Polar Active Watch and Waist- and Wrist-Worn ActiGraph Accelerometers for Measuring Children's Physical Activity Levels during Unstructured Afterschool Programs.比较极地主动表和腰部和腕部 ActiGraph 加速度计在测量非结构化课后活动期间儿童身体活动水平的应用。
Int J Environ Res Public Health. 2018 Oct 16;15(10):2268. doi: 10.3390/ijerph15102268.
9
Concurrent validity of the Fitbit for assessing sedentary behavior and moderate-to-vigorous physical activity.评估久坐行为和中高强度身体活动的 Fitbit 的同时效度。
BMC Med Res Methodol. 2019 Feb 7;19(1):29. doi: 10.1186/s12874-019-0668-1.
10
Comparison of older and newer generations of ActiGraph accelerometers with the normal filter and the low frequency extension.新旧两代 ActiGraph 加速度计与正常滤波器和低频扩展的比较。
Int J Behav Nutr Phys Act. 2013 Apr 25;10:51. doi: 10.1186/1479-5868-10-51.

引用本文的文献

1
Digital Health Technologies to Promote Healthy Eating and Physical Activity and Reduce Risk Factors for Cardiovascular Disease in Older Adults: A Pilot Study.数字健康技术促进老年人健康饮食和身体活动并降低心血管疾病风险因素:一项试点研究。
J Cardiovasc Nurs. 2025;40(5):475-485. doi: 10.1097/JCN.0000000000001184. Epub 2025 Mar 10.
2
Sedentary behaviors and physical activity of the working population measured by accelerometry: a systematic review and meta-analysis.使用加速度计测量的工作人群的久坐行为和身体活动:系统评价和荟萃分析。
BMC Public Health. 2024 Aug 6;24(1):2123. doi: 10.1186/s12889-024-19449-y.
3
Device-Measured Physical Activity and Sedentary Behavior in Relation to Cardiovascular Diseases and All-Cause Mortality: Systematic Review and Meta-Analysis of Prospective Cohort Studies.

本文引用的文献

1
Assessment of physical activity by self-report: status, limitations, and future directions.通过自我报告评估身体活动:现状、局限性及未来方向。
Res Q Exerc Sport. 2000 Jun;71 Suppl 2:1-14. doi: 10.1080/02701367.2000.11082780.
2
Accelerometer adherence and performance in a cohort study of US Hispanic adults.美国西班牙裔成年人队列研究中的加速度计依从性与性能
Med Sci Sports Exerc. 2015 Apr;47(4):725-34. doi: 10.1249/MSS.0000000000000478.
3
A universal, accurate intensity-based classification of different physical activities using raw data of accelerometer.
与心血管疾病和全因死亡率相关的设备测量的身体活动和久坐行为:前瞻性队列研究的系统评价和荟萃分析
AJPM Focus. 2022 Dec 10;2(1):100054. doi: 10.1016/j.focus.2022.100054. eCollection 2023 Mar.
4
The Relationship Between Physical Activity and Limited Range of Motion in the Older Bedridden Patients.老年卧床患者身体活动与活动范围受限之间的关系
Can Geriatr J. 2023 Mar 1;26(1):1-8. doi: 10.5770/cgj.26.627. eCollection 2023 Mar.
5
Device-worn measures of sedentary time and physical activity in South Asian adults at high risk for type 2 diabetes in Metro-Vancouver, Canada.加拿大温哥华都会区 2 型糖尿病高危南亚成年人佩戴设备测量的久坐时间和身体活动量。
PLoS One. 2022 May 5;17(5):e0266599. doi: 10.1371/journal.pone.0266599. eCollection 2022.
6
Daytime napping and Alzheimer's dementia: A potential bidirectional relationship.日间小睡与阿尔茨海默病:潜在的双向关系。
Alzheimers Dement. 2023 Jan;19(1):158-168. doi: 10.1002/alz.12636. Epub 2022 Mar 17.
7
Detailed analysis and comparison of different activity metrics.详细分析和比较不同的活动指标。
PLoS One. 2021 Dec 21;16(12):e0261718. doi: 10.1371/journal.pone.0261718. eCollection 2021.
8
Immediate Effect of Restricted Knee Extension on Ground Reaction Force and Trunk Acceleration during Walking.步行过程中限制膝关节伸展对地面反作用力和躯干加速度的即时影响。
Rehabil Res Pract. 2021 Jul 8;2021:8833221. doi: 10.1155/2021/8833221. eCollection 2021.
9
Association of Barriers, Fear of Falling and Fatigue with Objectively Measured Physical Activity and Sedentary Behavior in Chronic Stroke.慢性卒中患者中障碍、跌倒恐惧和疲劳与客观测量的身体活动及久坐行为的关联
J Clin Med. 2021 Mar 23;10(6):1320. doi: 10.3390/jcm10061320.
10
Feasibility Study Comparing Physical Activity Classifications from Accelerometers with Wearable Camera Data.使用加速度计的体能活动分类与可穿戴相机数据的可行性比较研究。
Int J Environ Res Public Health. 2020 Dec 13;17(24):9323. doi: 10.3390/ijerph17249323.
使用加速度计原始数据对不同身体活动进行通用、准确的基于强度的分类。
Clin Physiol Funct Imaging. 2015 Jan;35(1):64-70. doi: 10.1111/cpf.12127. Epub 2014 Jan 7.
4
Comparison of older and newer generations of ActiGraph accelerometers with the normal filter and the low frequency extension.新旧两代 ActiGraph 加速度计与正常滤波器和低频扩展的比较。
Int J Behav Nutr Phys Act. 2013 Apr 25;10:51. doi: 10.1186/1479-5868-10-51.
5
Comparing different accelerometer cut-points for sedentary time in children.比较儿童久坐时间的不同加速度计切点。
Pediatr Exerc Sci. 2012 May;24(2):220-8. doi: 10.1123/pes.24.2.220.
6
Translation equations to compare ActiGraph GT3X and Actical accelerometers activity counts.比较 ActiGraph GT3X 和 Actical 加速度计活动计数的转换方程。
BMC Med Res Methodol. 2012 Apr 20;12:54. doi: 10.1186/1471-2288-12-54.
7
Biomechanical examination of the 'plateau phenomenon' in ActiGraph vertical activity counts.ActiGraph 垂直活动计数中“高原现象”的生物力学检测。
Physiol Meas. 2012 Feb;33(2):219-30. doi: 10.1088/0967-3334/33/2/219. Epub 2012 Jan 20.
8
ActiGraph and Actical physical activity monitors: a peek under the hood.ActiGraph 和 Actical 活动监测器:一探其内部。
Med Sci Sports Exerc. 2012 Jan;44(1 Suppl 1):S86-9. doi: 10.1249/MSS.0b013e3182399f5e.
9
Protocols for evaluating equivalency of accelerometry-based activity monitors.基于加速度计的活动监测器等效性评估的方案。
Med Sci Sports Exerc. 2012 Jan;44(1 Suppl 1):S39-49. doi: 10.1249/MSS.0b013e3182399d8f.
10
Moderate and vigorous physical activity intensity cut-points for the Actical accelerometer.中高强度身体活动的 Actical 加速度计切点。
J Sports Sci. 2011 May;29(8):783-9. doi: 10.1080/02640414.2011.557744.