• 文献检索
  • 文档翻译
  • 深度研究
  • 学术资讯
  • Suppr Zotero 插件Zotero 插件
  • 邀请有礼
  • 套餐&价格
  • 历史记录
应用&插件
Suppr Zotero 插件Zotero 插件浏览器插件Mac 客户端Windows 客户端微信小程序
定价
高级版会员购买积分包购买API积分包
服务
文献检索文档翻译深度研究API 文档MCP 服务
关于我们
关于 Suppr公司介绍联系我们用户协议隐私条款
关注我们

Suppr 超能文献

核心技术专利:CN118964589B侵权必究
粤ICP备2023148730 号-1Suppr @ 2026

文献检索

告别复杂PubMed语法,用中文像聊天一样搜索,搜遍4000万医学文献。AI智能推荐,让科研检索更轻松。

立即免费搜索

文件翻译

保留排版,准确专业,支持PDF/Word/PPT等文件格式,支持 12+语言互译。

免费翻译文档

深度研究

AI帮你快速写综述,25分钟生成高质量综述,智能提取关键信息,辅助科研写作。

立即免费体验

和等位基因变异对硬粒小麦粒数和千粒重的影响及其对最终籽粒产量的影响。

Effect of and Allelic Variants on Grain Number and Thousand Kernel Weight of Durum Wheat and Their Impact on Final Grain Yield.

作者信息

Arjona Jose M, Royo Conxita, Dreisigacker Susanne, Ammar Karim, Villegas Dolors

机构信息

Sustainable Field Crops Programme, Institute for Food and Agricultural Research and Technology (IRTA), Lleida, Spain.

International Maize and Wheat Improvement Center (CIMMYT), Texcoco, Mexico.

出版信息

Front Plant Sci. 2018 Jun 29;9:888. doi: 10.3389/fpls.2018.00888. eCollection 2018.

DOI:10.3389/fpls.2018.00888
PMID:30008727
原文链接:https://pmc.ncbi.nlm.nih.gov/articles/PMC6033988/
Abstract

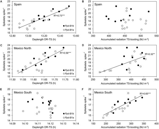
The main yield components in durum wheat are grain number per unit area (GN) and thousand kernel weight (TKW), both of which are affected by environmental conditions. The most critical developmental stage for their determination is flowering time, which partly depends on photoperiod sensitivity genes at loci. Fifteen field experiments, involving 23 spring durum wheat genotypes containing all known allelic variants at the PHOTOPERIOD RESPONSE LOCUS ( and ) were carried out at three sites at latitudes ranging from 41° to 27° N (Spain, Mexico-north, and Mexico-south, the latter in spring planting). Allele at , which causes photoperiod insensitivity and results in early-flowering genotypes, tended to increase TKW and yield, albeit not substantially. Allele , also causing photoperiod insensitivity, did not affect flowering time or grain yield. Genotypes carrying the allele conferring photoperiod sensitivity had consistently higher GN, which did not translate into higher yield due to under-compensation in TKW. This increased GN was due to a greater number of grains spike as a result of a higher number of spikelets spike. Daylength from double ridge to terminal spikelet stage was strongly and positively associated with the number of spikelets spike in Spain. This association was not found in the Mexico sites, thereby indicating that had an intrinsic effect on spikelets spike independently of environmental cues. Our results suggest that, in environments where yield is limited by the incapacity to produce a high GN, selecting for may be advisable.

摘要

硬粒小麦的主要产量构成要素是单位面积穗数(GN)和千粒重(TKW),这两个要素都会受到环境条件的影响。决定它们的最关键发育阶段是开花时间,而开花时间部分取决于位于某些位点的光周期敏感基因。在北纬41°至27°的三个地点(西班牙、墨西哥北部和墨西哥南部,后者为春季种植)开展了15项田间试验,涉及23个春性硬粒小麦基因型,这些基因型包含光周期反应位点(和)的所有已知等位基因变体。位于处的等位基因会导致光周期不敏感,并产生早花基因型,该等位基因往往会增加千粒重和产量,尽管增幅不大。同样会导致光周期不敏感的等位基因,对开花时间或籽粒产量没有影响。携带赋予光周期敏感性的等位基因的基因型始终具有较高的单位面积穗数,但由于千粒重的补偿不足,并未转化为更高的产量。单位面积穗数的增加是由于每个穗的小穗数增加,从而导致每个穗的籽粒数增多。在西班牙,从双棱期到顶小穗期的日长与每个穗的小穗数呈强烈正相关。在墨西哥的试验地点未发现这种相关性,这表明该基因对每个穗的小穗数具有独立于环境线索的内在影响。我们的结果表明,在产量受限于无法产生高单位面积穗数的环境中,选择该基因可能是可取的。

https://cdn.ncbi.nlm.nih.gov/pmc/blobs/43f6/6033988/61e4c8198f38/fpls-09-00888-g004.jpg
https://cdn.ncbi.nlm.nih.gov/pmc/blobs/43f6/6033988/8b95d141d758/fpls-09-00888-g001.jpg
https://cdn.ncbi.nlm.nih.gov/pmc/blobs/43f6/6033988/4164346aa39b/fpls-09-00888-g002.jpg
https://cdn.ncbi.nlm.nih.gov/pmc/blobs/43f6/6033988/7828c4f1db72/fpls-09-00888-g003.jpg
https://cdn.ncbi.nlm.nih.gov/pmc/blobs/43f6/6033988/61e4c8198f38/fpls-09-00888-g004.jpg
https://cdn.ncbi.nlm.nih.gov/pmc/blobs/43f6/6033988/8b95d141d758/fpls-09-00888-g001.jpg
https://cdn.ncbi.nlm.nih.gov/pmc/blobs/43f6/6033988/4164346aa39b/fpls-09-00888-g002.jpg
https://cdn.ncbi.nlm.nih.gov/pmc/blobs/43f6/6033988/7828c4f1db72/fpls-09-00888-g003.jpg
https://cdn.ncbi.nlm.nih.gov/pmc/blobs/43f6/6033988/61e4c8198f38/fpls-09-00888-g004.jpg

相似文献

1
Effect of and Allelic Variants on Grain Number and Thousand Kernel Weight of Durum Wheat and Their Impact on Final Grain Yield.和等位基因变异对硬粒小麦粒数和千粒重的影响及其对最终籽粒产量的影响。
Front Plant Sci. 2018 Jun 29;9:888. doi: 10.3389/fpls.2018.00888. eCollection 2018.
2
The Effect of Photoperiod Genes and Flowering Time on Yield and Yield Stability in Durum Wheat.光周期基因和开花时间对硬粒小麦产量及产量稳定性的影响
Plants (Basel). 2020 Dec 7;9(12):1723. doi: 10.3390/plants9121723.
3
Effect of allele combinations at loci on durum wheat grain filling at contrasting latitudes.不同纬度下基因座上等位基因组合对硬粒小麦籽粒灌浆的影响。
J Agron Crop Sci. 2020 Feb;206(1):64-75. doi: 10.1111/jac.12363. Epub 2019 Sep 15.
4
Population structure, allelic variation at Rht-B1 and Ppd-A1 loci and its effects on agronomic traits in Argentinian durum wheat.阿根廷杜伦麦群体结构、Rht-B1 和 Ppd-A1 位点等位变异及其对农艺性状的影响。
Sci Rep. 2022 Jun 10;12(1):9629. doi: 10.1038/s41598-022-13563-w.
5
Allelic Variation at the Vernalization Response () and Photoperiod Sensitivity () Genes and Their Association With the Development of Durum Wheat Landraces and Modern Cultivars.春化反应()和光周期敏感性()基因的等位变异及其与硬粒小麦地方品种和现代品种发育的关联。
Front Plant Sci. 2020 Jun 23;11:838. doi: 10.3389/fpls.2020.00838. eCollection 2020.
6
Genetic modification of spikelet arrangement in wheat increases grain number without significantly affecting grain weight.小麦小穗排列的遗传改良增加了籽粒数量,而对籽粒重量的影响不显著。
Mol Genet Genomics. 2019 Apr;294(2):457-468. doi: 10.1007/s00438-018-1523-5. Epub 2018 Dec 27.
7
CRISPR/Cas9 editing of wheat Ppd-1 gene homoeologs alters spike architecture and grain morphometric traits.CRISPR/Cas9 编辑小麦 Ppd-1 基因同源物改变了穗结构和粒形计量特征。
Funct Integr Genomics. 2023 Feb 25;23(1):66. doi: 10.1007/s10142-023-00989-2.
8
Short, natural, and extended photoperiod response in BC2F4 lines of bread wheat with different photoperiod-1 (Ppd-1) alleles.不同 Ppd-1 等位基因的面包小麦 BC2F4 系的短、中、长日照反应。
J Exp Bot. 2013 Apr;64(7):1783-93. doi: 10.1093/jxb/ert038. Epub 2013 Feb 18.
9
Allelic variation at the VERNALIZATION-A1, VRN-B1, VRN-B3, and PHOTOPERIOD-A1 genes in cultivars of Triticum durum Desf.硬粒小麦(Triticum durum Desf.)品种中春化作用-A1、VRN-B1、VRN-B3和光周期-A1基因的等位变异
Planta. 2016 Dec;244(6):1253-1263. doi: 10.1007/s00425-016-2584-5. Epub 2016 Aug 13.
10
Allelic variation of vernalization and photoperiod response genes in a diverse set of North American high latitude winter wheat genotypes.在一组多样化的北美高纬度冬小麦基因型中,春化和光周期反应基因的等位变异。
PLoS One. 2018 Aug 30;13(8):e0203068. doi: 10.1371/journal.pone.0203068. eCollection 2018.

引用本文的文献

1
An eight-founder wheat MAGIC population allows fine-mapping of flowering time loci and provides novel insights into the genetic control of flowering time.一个由 8 个 founder 组成的小麦 MAGIC 群体可实现对开花时间位点的精细定位,并为开花时间的遗传控制提供新的见解。
Theor Appl Genet. 2024 Nov 22;137(12):277. doi: 10.1007/s00122-024-04787-7.
2
Modeling QTL-by-environment interactions for multi-parent populations.多亲群体数量性状基因座与环境互作的建模
Front Plant Sci. 2024 Jul 31;15:1410851. doi: 10.3389/fpls.2024.1410851. eCollection 2024.
3
Dissection of the Genetic Basis of Genotype by Environment Interactions for Morphological Traits and Protein Content in Winter Wheat Panel Grown in Morocco and Spain.

本文引用的文献

1
Photoperiod during stem elongation in wheat: is its impact on fertile floret and grain number determination similar to that of radiation?小麦茎伸长期间的光周期:其对可育小花和粒数决定的影响与辐射的影响相似吗?
Funct Plant Biol. 2005 May;32(3):181-188. doi: 10.1071/FP04103.
2
A Combined Association Mapping and Linkage Analysis of Kernel Number Per Spike in Common Wheat ( L.).普通小麦(L.)穗粒数的联合关联作图与连锁分析
Front Plant Sci. 2017 Aug 18;8:1412. doi: 10.3389/fpls.2017.01412. eCollection 2017.
3
Short periods of high temperature during meiosis prevent normal meiotic progression and reduce grain number in hexaploid wheat (Triticum aestivum L.).
解析摩洛哥和西班牙种植的冬小麦群体中形态性状和蛋白质含量的基因型与环境互作的遗传基础
Plants (Basel). 2024 May 27;13(11):1477. doi: 10.3390/plants13111477.
4
Analysis of the Effects of the and Alleles on Adaptive and Agronomic Traits in Common Wheat ( L.).分析普通小麦(Triticum aestivum L.)中特定等位基因对适应性和农艺性状的影响。
Plants (Basel). 2024 May 23;13(11):1453. doi: 10.3390/plants13111453.
5
Novel PHOTOPERIOD-1 gene variants associate with yield-related and root-angle traits in European bread wheat.新型 PHOTOPERIOD-1 基因变异与欧洲面包小麦的产量相关和根角性状有关。
Theor Appl Genet. 2024 May 10;137(6):125. doi: 10.1007/s00122-024-04634-9.
6
Dissecting Genotype by Environment Interactions in Moroccan Wheat: An Advanced Biplot and Heatmap Analysis Unveiling Agronomic, Quality Traits, and Genotypic Stability for Tailored Breeding Strategies.剖析摩洛哥小麦的基因型与环境互作:先进的双标图和热图分析揭示农艺性状、品质性状及基因型稳定性以制定针对性育种策略
Plants (Basel). 2024 Apr 10;13(8):1068. doi: 10.3390/plants13081068.
7
Breeding effects on durum wheat traits detected using GWAS and haplotype block analysis.利用全基因组关联研究(GWAS)和单倍型块分析检测硬粒小麦性状的育种效应。
Front Plant Sci. 2023 Sep 19;14:1206517. doi: 10.3389/fpls.2023.1206517. eCollection 2023.
8
Development of breeder chip for gene detection and molecular-assisted selection by target sequencing in wheat.用于小麦基因检测和目标测序分子辅助选择的育种芯片的开发
Mol Breed. 2023 Feb 9;43(2):13. doi: 10.1007/s11032-023-01359-3. eCollection 2023 Feb.
9
Identification and validation of a QTL for spikelet number on chromosome arm 6BL of common wheat ( L.).普通小麦(Triticum aestivum L.)6BL染色体臂上小穗数QTL的鉴定与验证。
Mol Breed. 2022 Mar 21;42(4):17. doi: 10.1007/s11032-022-01288-7. eCollection 2022 Apr.
10
QTL mapping of yield components and kernel traits in wheat cultivars TAM 112 and Duster.小麦品种TAM 112和达斯特产量构成因素及籽粒性状的QTL定位
Front Plant Sci. 2022 Dec 7;13:1057701. doi: 10.3389/fpls.2022.1057701. eCollection 2022.
减数分裂期间的短期高温会阻碍六倍体小麦(普通小麦)正常的减数分裂进程并减少籽粒数量。
Theor Appl Genet. 2017 Sep;130(9):1785-1800. doi: 10.1007/s00122-017-2925-1. Epub 2017 May 26.
4
The Genetic Control of Reproductive Development under High Ambient Temperature.高温环境下生殖发育的遗传控制
Plant Physiol. 2017 Jan;173(1):294-306. doi: 10.1104/pp.16.01275. Epub 2016 Nov 8.
5
Ppd-1 is a key regulator of inflorescence architecture and paired spikelet development in wheat.PPD-1 是小麦花序结构和成对小穗发育的关键调控因子。
Nat Plants. 2015 Jan 26;1:14016. doi: 10.1038/nplants.2014.16.
6
Genome-Wide Linkage Mapping of QTL for Yield Components, Plant Height and Yield-Related Physiological Traits in the Chinese Wheat Cross Zhou 8425B/Chinese Spring.中国小麦杂交组合周8425B/中国春中产量构成因素、株高及产量相关生理性状QTL的全基因组连锁图谱构建
Front Plant Sci. 2015 Dec 18;6:1099. doi: 10.3389/fpls.2015.01099. eCollection 2015.
7
Genetic dissection of grain size and grain number trade-offs in CIMMYT wheat germplasm.国际玉米小麦改良中心(CIMMYT)小麦种质中粒重与粒数权衡的遗传解析
PLoS One. 2015 Mar 16;10(3):e0118847. doi: 10.1371/journal.pone.0118847. eCollection 2015.
8
Genetic control of grain yield and grain physical characteristics in a bread wheat population grown under a range of environmental conditions.在一系列环境条件下种植的面包小麦群体中,籽粒产量和籽粒物理特性的遗传控制。
Theor Appl Genet. 2014 Jul;127(7):1607-24. doi: 10.1007/s00122-014-2322-y. Epub 2014 May 28.
9
Genome-wide association mapping of yield and yield components of spring wheat under contrasting moisture regimes.在不同水分条件下春小麦产量及产量构成因素的全基因组关联作图。
Theor Appl Genet. 2014 Apr;127(4):791-807. doi: 10.1007/s00122-013-2257-8. Epub 2014 Jan 10.
10
Copy number variation affecting the Photoperiod-B1 and Vernalization-A1 genes is associated with altered flowering time in wheat (Triticum aestivum).影响 Photoperiod-B1 和 Vernalization-A1 基因的拷贝数变异与小麦(Triticum aestivum)开花时间的改变有关。
PLoS One. 2012;7(3):e33234. doi: 10.1371/journal.pone.0033234. Epub 2012 Mar 22.