Suppr超能文献

一种广泛存在的细菌吩嗪与生物源硫醇形成S-共轭物并交联蛋白质。

A widespread bacterial phenazine forms S-conjugates with biogenic thiols and crosslinks proteins.

作者信息

Heine D, Sundaram S, Beudert Matthias, Martin K, Hertweck C

机构信息

Leibniz Institute for Natural Product Research and Infection Biology , Hans Knoell Institute , Beutenbergstrasse 11a , 07745 Jena , Germany . Email:

Friedrich Schiller University , 07737 Jena , Germany.

出版信息

Chem Sci. 2016 Aug 1;7(8):4848-4855. doi: 10.1039/c6sc00503a. Epub 2016 Apr 14.

Abstract

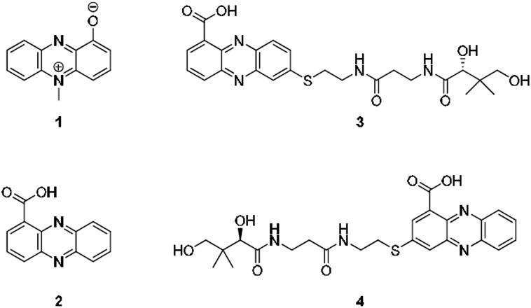
Phenazines are redox-active compounds produced by a range of bacteria, including many pathogens. Endowed with various biological activities, these ubiquitous N-heterocycles are well known for their ability to generate reactive oxygen species by redox cycling. Phenazines may lead to an irreversible depletion of glutathione, but a detailed mechanism has remained elusive. Furthermore, it is not understood why phenazines have so many protein targets and cause protein misfolding as well as their aggregation. Here we report the discovery of unprecedented conjugates (panphenazines A, B) of panthetheine and phenazine-1-carboxylic (PCA) acid from a sp., which prompted us to investigate their biogenesis. We found that PCA reacts with diverse biogenic thiols under radical-forming conditions, which provides a plausible model for irreversible glutathione depletion. To evaluate the scope of the reaction in cells we designed biotin and rhodamine conjugates for protein labelling and examined their covalent fusion with model proteins (ketosynthase, carbonic anhydrase III, albumin). Our results reveal important, yet overlooked biological roles of phenazines and show for the first time their function in protein conjugation and crosslinking.

摘要

吩嗪是由包括许多病原体在内的多种细菌产生的具有氧化还原活性的化合物。这些普遍存在的N-杂环化合物具有多种生物活性,以其通过氧化还原循环产生活性氧的能力而闻名。吩嗪可能导致谷胱甘肽的不可逆消耗,但其详细机制仍不清楚。此外,尚不清楚为什么吩嗪有如此多的蛋白质靶点,会导致蛋白质错误折叠及其聚集。在此,我们报告了从一种链霉菌中发现了前所未有的泛酰巯基乙胺与吩嗪-1-羧酸(PCA)的共轭物(泛吩嗪A、B),这促使我们研究它们的生物合成。我们发现PCA在形成自由基的条件下与多种生物源性硫醇反应,这为谷胱甘肽的不可逆消耗提供了一个合理的模型。为了评估细胞内反应的范围,我们设计了用于蛋白质标记的生物素和罗丹明共轭物,并检测了它们与模型蛋白质(酮合酶、碳酸酐酶III、白蛋白)的共价融合。我们的结果揭示了吩嗪重要但被忽视的生物学作用,并首次展示了它们在蛋白质共轭和交联中的功能。

https://cdn.ncbi.nlm.nih.gov/pmc/blobs/c8eb/6016718/deadb04f48e1/c6sc00503a-f1.jpg

文献AI研究员

20分钟写一篇综述,助力文献阅读效率提升50倍。

立即体验

用中文搜PubMed

大模型驱动的PubMed中文搜索引擎

马上搜索

文档翻译

学术文献翻译模型,支持多种主流文档格式。

立即体验