Suppr超能文献

靛玉红作为人类 Ah 受体激动剂的体外和计算比较分析。

Comparative In Vitro and In Silico Analysis of the Selectivity of Indirubin as a Human Ah Receptor Agonist.

机构信息

Department of Environmental Toxicology, University of California, Davis, CA 95616, USA.

Department of Earth and Environmental Sciences, University of Milano-Bicocca, Milan 20126, Italy.

出版信息

Int J Mol Sci. 2018 Sep 10;19(9):2692. doi: 10.3390/ijms19092692.

Abstract

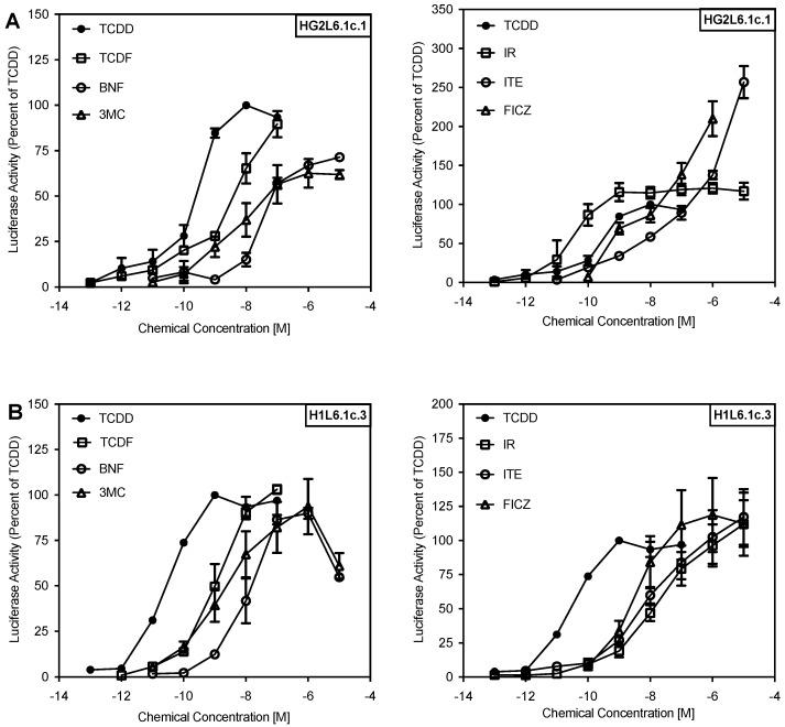
The aryl hydrocarbon receptor (AhR) is a ligand-dependent transcription factor that modulates gene expression following its binding and activation by structurally diverse chemicals. Species differences in AhR functionality have been observed, with the mouse AhR (mAhR) and human AhR (hAhR) exhibiting significant differences in ligand binding, coactivator recruitment, gene expression and response. While the AhR agonist indirubin (IR) is a more potent activator of hAhR-dependent gene expression than the prototypical ligand 2,3,7,8-tetrachlorodibenzo-p-dioxin (TCDD), it is a significantly less potent activator of the mAhR. DNA binding analysis confirmed the greater potency/efficacy of IR in stimulating transformation/DNA binding of the hAhR in vitro and domain-swapping experiments demonstrated that the enhanced response to IR was primarily due to the hAhR ligand binding domain (LBD). Site-directed mutagenesis and functional analysis studies revealed that mutation of H326 and A349 in the mAhR LBD to the corresponding residues in the hAhR LBD significantly increased the potency of IR. Since these mutations had no significant effect on ligand binding, these residues likely contribute to an enhanced efficiency of transformation/DNA binding by IR-bound hAhR. Molecular docking to mAhR LBD homology models further elucidated the different roles of the A375V mutation in TCDD and IR binding, as revealed by [³H]TCDD competitive binding results. These results demonstrate the differential binding of structurally diverse ligands within the LBD of a given AhR and confirm that amino acid differences within the LBD of AhRs contribute to significant species differences in ligand response.

摘要

芳香烃受体 (AhR) 是一种配体依赖性转录因子,在与结构多样的化学物质结合并激活后,可调节基因表达。已经观察到 AhR 功能的种属差异,小鼠 AhR (mAhR) 和人 AhR (hAhR) 在配体结合、辅激活因子募集、基因表达和反应方面存在显著差异。虽然 AhR 激动剂靛玉红 (IR) 作为 hAhR 依赖性基因表达的激活剂比原型配体 2,3,7,8-四氯二苯并-p-二恶英 (TCDD) 更有效,但它作为 mAhR 的激活剂效力显著较低。DNA 结合分析证实了 IR 在体外刺激 hAhR 转化/DNA 结合的效力/效能更高,并且结构域交换实验表明,对 IR 响应的增强主要归因于 hAhR 的配体结合域 (LBD)。定点突变和功能分析研究表明,m AhR LBD 中的 H326 和 A349 突变为 h AhR LBD 中的相应残基,显著增加了 IR 的效力。由于这些突变对配体结合没有显著影响,这些残基可能有助于增强 IR 结合的 h AhR 转化/DNA 结合的效率。分子对接到 m AhR LBD 同源模型进一步阐明了 A375V 突变在 TCDD 和 IR 结合中的不同作用,这是通过 [³H]TCDD 竞争结合结果揭示的。这些结果表明了在给定 AhR 的 LBD 中不同结构的配体的不同结合,并且证实了 AhR 的 LBD 中的氨基酸差异导致了配体反应中的显著种属差异。

https://cdn.ncbi.nlm.nih.gov/pmc/blobs/f269/6165432/337f0ab11220/ijms-19-02692-g001.jpg

文献检索

告别复杂PubMed语法,用中文像聊天一样搜索,搜遍4000万医学文献。AI智能推荐,让科研检索更轻松。

立即免费搜索

文件翻译

保留排版,准确专业,支持PDF/Word/PPT等文件格式,支持 12+语言互译。

免费翻译文档

深度研究

AI帮你快速写综述,25分钟生成高质量综述,智能提取关键信息,辅助科研写作。

立即免费体验