Suppr超能文献

蛋白质组范围内的局部氨基酸组成与蛋白质命运和功能之间的关系。

Proteome-scale relationships between local amino acid composition and protein fates and functions.

机构信息

Department of Biochemistry and Molecular Biology, Colorado State University, Fort Collins, CO, United States of America.

出版信息

PLoS Comput Biol. 2018 Sep 24;14(9):e1006256. doi: 10.1371/journal.pcbi.1006256. eCollection 2018 Sep.

Abstract

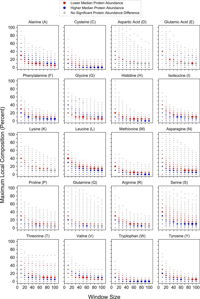
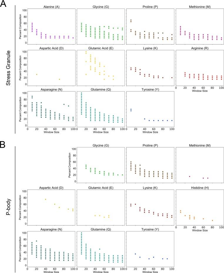
Proteins with low-complexity domains continue to emerge as key players in both normal and pathological cellular processes. Although low-complexity domains are often grouped into a single class, individual low-complexity domains can differ substantially with respect to amino acid composition. These differences may strongly influence the physical properties, cellular regulation, and molecular functions of low-complexity domains. Therefore, we developed a bioinformatic approach to explore relationships between amino acid composition, protein metabolism, and protein function. We find that local compositional enrichment within protein sequences is associated with differences in translation efficiency, abundance, half-life, protein-protein interaction promiscuity, subcellular localization, and molecular functions of proteins on a proteome-wide scale. However, local enrichment of related amino acids is sometimes associated with opposite effects on protein regulation and function, highlighting the importance of distinguishing between different types of low-complexity domains. Furthermore, many of these effects are discernible at amino acid compositions below those required for classification as low-complexity or statistically-biased by traditional methods and in the absence of homopolymeric amino acid repeats, indicating that thresholds employed by classical methods may not reflect biologically relevant criteria. Application of our analyses to composition-driven processes, such as the formation of membraneless organelles, reveals distinct composition profiles even for closely related organelles. Collectively, these results provide a unique perspective and detailed insights into relationships between amino acid composition, protein metabolism, and protein functions.

摘要

具有低复杂度结构域的蛋白质继续成为正常和病理细胞过程中的关键参与者。虽然低复杂度结构域通常被归为一类,但个别低复杂度结构域在氨基酸组成上可能存在很大差异。这些差异可能强烈影响低复杂度结构域的物理性质、细胞调控和分子功能。因此,我们开发了一种生物信息学方法来探索氨基酸组成、蛋白质代谢和蛋白质功能之间的关系。我们发现,蛋白质序列中局部组成的富集与翻译效率、丰度、半衰期、蛋白质-蛋白质相互作用的混杂性、亚细胞定位和蛋白质组范围内蛋白质的分子功能的差异有关。然而,相关氨基酸的局部富集有时与蛋白质调控和功能的相反效应有关,这突出了区分不同类型的低复杂度结构域的重要性。此外,许多这些效应在低于传统方法分类或统计上偏向所需的氨基酸组成下即可被察觉,并且在不存在同聚氨基酸重复的情况下也可被察觉,这表明经典方法所采用的阈值可能无法反映生物学上相关的标准。我们的分析方法在膜性细胞器形成等组成驱动的过程中的应用,甚至揭示了密切相关的细胞器之间的独特组成特征。总的来说,这些结果为氨基酸组成、蛋白质代谢和蛋白质功能之间的关系提供了独特的视角和详细的见解。

https://cdn.ncbi.nlm.nih.gov/pmc/blobs/ca50/6171957/78d78f6a0b60/pcbi.1006256.g001.jpg

相似文献

1
Proteome-scale relationships between local amino acid composition and protein fates and functions.
PLoS Comput Biol. 2018 Sep 24;14(9):e1006256. doi: 10.1371/journal.pcbi.1006256. eCollection 2018 Sep.
2
Exploiting amino acid composition for predicting protein-protein interactions.
PLoS One. 2009 Nov 20;4(11):e7813. doi: 10.1371/journal.pone.0007813.
3
Atypical structural tendencies among low-complexity domains in the Protein Data Bank proteome.
PLoS Comput Biol. 2020 Jan 27;16(1):e1007487. doi: 10.1371/journal.pcbi.1007487. eCollection 2020 Jan.
4
Identification of Low-Complexity Domains by Compositional Signatures Reveals Class-Specific Frequencies and Functions Across the Domains of Life.
PLoS Comput Biol. 2024 May 15;20(5):e1011372. doi: 10.1371/journal.pcbi.1011372. eCollection 2024 May.
5
Comparative genomics reveals long, evolutionarily conserved, low-complexity islands in yeast proteins.
J Mol Evol. 2006 Sep;63(3):415-25. doi: 10.1007/s00239-005-0291-0. Epub 2006 Aug 21.
6
Insights into the Immunological Properties of Intrinsically Disordered Malaria Proteins Using Proteome Scale Predictions.
PLoS One. 2015 Oct 29;10(10):e0141729. doi: 10.1371/journal.pone.0141729. eCollection 2015.
7
Systematic Identification of Protein Targets of Sub5 Using Proteome Microarrays.
Int J Mol Sci. 2021 Jan 13;22(2):760. doi: 10.3390/ijms22020760.
8
Species-specific protein sequence and fold optimizations.
BMC Bioinformatics. 2002 Dec 17;3:39. doi: 10.1186/1471-2105-3-39.
9
AVID: an integrative framework for discovering functional relationships among proteins.
BMC Bioinformatics. 2005 Jun 1;6:136. doi: 10.1186/1471-2105-6-136.

引用本文的文献

3
Preserving condensate structure and composition by lowering sequence complexity.
Biophys J. 2024 Jul 2;123(13):1815-1826. doi: 10.1016/j.bpj.2024.05.026. Epub 2024 May 31.
4
Identification of Low-Complexity Domains by Compositional Signatures Reveals Class-Specific Frequencies and Functions Across the Domains of Life.
PLoS Comput Biol. 2024 May 15;20(5):e1011372. doi: 10.1371/journal.pcbi.1011372. eCollection 2024 May.
7
Preserving condensate structure and composition by lowering sequence complexity.
bioRxiv. 2023 Nov 29:2023.11.29.569249. doi: 10.1101/2023.11.29.569249.
8
The GGDEF protein Dgc2 suppresses both motility and biofilm formation in the filamentous cyanobacterium .
Microbiol Spectr. 2023 Sep 1;11(5):e0483722. doi: 10.1128/spectrum.04837-22.
9
A brief guideline for studies of phase-separated biomolecular condensates.
Nat Chem Biol. 2022 Dec;18(12):1307-1318. doi: 10.1038/s41589-022-01204-2. Epub 2022 Nov 18.
10
The LCD-Composer webserver: high-specificity identification and functional analysis of low-complexity domains in proteins.
Bioinformatics. 2022 Dec 13;38(24):5446-5448. doi: 10.1093/bioinformatics/btac699.

本文引用的文献

1
A Molecular Grammar Governing the Driving Forces for Phase Separation of Prion-like RNA Binding Proteins.
Cell. 2018 Jul 26;174(3):688-699.e16. doi: 10.1016/j.cell.2018.06.006. Epub 2018 Jun 28.
2
Relationship of Sequence and Phase Separation in Protein Low-Complexity Regions.
Biochemistry. 2018 May 1;57(17):2478-2487. doi: 10.1021/acs.biochem.8b00008. Epub 2018 Mar 16.
3
Unification of Protein Abundance Datasets Yields a Quantitative Saccharomyces cerevisiae Proteome.
Cell Syst. 2018 Feb 28;6(2):192-205.e3. doi: 10.1016/j.cels.2017.12.004. Epub 2018 Jan 17.
4
Determinants and Regulation of Protein Turnover in Yeast.
Cell Syst. 2017 Sep 27;5(3):283-294.e5. doi: 10.1016/j.cels.2017.08.008. Epub 2017 Sep 13.
6
Constraints and consequences of the emergence of amino acid repeats in eukaryotic proteins.
Nat Struct Mol Biol. 2017 Sep;24(9):765-777. doi: 10.1038/nsmb.3441. Epub 2017 Aug 14.
7
Mechanisms and Functions of Spatial Protein Quality Control.
Annu Rev Biochem. 2017 Jun 20;86:97-122. doi: 10.1146/annurev-biochem-060815-014616. Epub 2017 May 10.
8
RNA-binding proteins with prion-like domains in health and disease.
Biochem J. 2017 Apr 7;474(8):1417-1438. doi: 10.1042/BCJ20160499.
9
Absolute Quantification of Protein and mRNA Abundances Demonstrate Variability in Gene-Specific Translation Efficiency in Yeast.
Cell Syst. 2017 May 24;4(5):495-504.e5. doi: 10.1016/j.cels.2017.03.003. Epub 2017 Mar 29.
10
Single Amino Acid Repeats in the Proteome World: Structural, Functional, and Evolutionary Insights.
PLoS One. 2016 Nov 28;11(11):e0166854. doi: 10.1371/journal.pone.0166854. eCollection 2016.

文献AI研究员

20分钟写一篇综述,助力文献阅读效率提升50倍。

立即体验

用中文搜PubMed

大模型驱动的PubMed中文搜索引擎

马上搜索

文档翻译

学术文献翻译模型,支持多种主流文档格式。

立即体验