Yin Zhigang, Yin Ming-Jie, Liu Ziyang, Zhang Yangxi, Zhang A Ping, Zheng Qingdong
State Key Laboratory of Structural Chemistry Fujian Institute of Research on the Structure of Matter Chinese Academy of Sciences 155 Yangqiao Road West Fuzhou Fujian 350002 China.
Photonics Research Center Department of Electrical Engineering The Hong Kong Polytechnic University Hong Kong SAR China.
Adv Sci (Weinh). 2018 Jul 11;5(9):1701041. doi: 10.1002/advs.201701041. eCollection 2018 Sep.
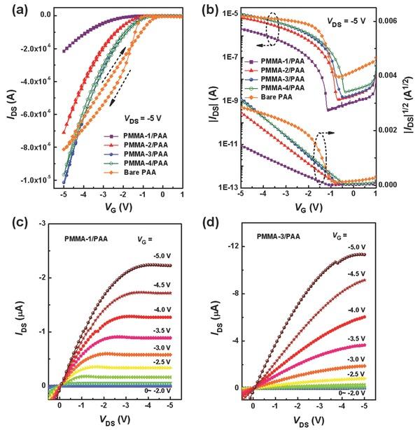
Flexible pressure sensors based on organic field-effect transistors (OFETs) have emerged as promising candidates for electronic-skin applications. However, it remains a challenge to achieve low operating voltages of hysteresis-free flexible pressure sensors. Interface engineering of polymer dielectrics is a feasible strategy toward sensitive pressure sensors based on low-voltage OFETs. Here, a novel type of solution-processed bilayer dielectrics is developed by combining a thick polyelectrolyte layer of polyacrylic acid (PAA) with a thin poly(methyl methacrylate) (PMMA) layer. This bilayer dielectric can provide a vertical phase separation structure from hydrophilic interface to hydrophobic interface which adjoins well to organic semiconductors, leading to improved stability and remarkably reduced leakage currents. Consequently, OFETs using the PMMA/PAA dielectrics reveal greatly suppressed hysteresis and improved mobility compared to those with a pure PAA dielectric. Using the optimized PMMA/PAA dielectric, flexible OFET-based pressure sensors that show a record high sensitivity of 56.15 kPa at a low operating voltage of -5 V, a fast response time of less than 20 ms, and good flexibility are further demonstrated. The salient features of high capacitance, good dielectric performance, and excellent reliability of the bilayer dielectrics promise a bright future of flexible sensors based on low-voltage OFETs for wearable electronic applications.
基于有机场效应晶体管(OFET)的柔性压力传感器已成为电子皮肤应用的有前途的候选者。然而,实现无滞后的柔性压力传感器的低工作电压仍然是一个挑战。聚合物电介质的界面工程是实现基于低压OFET的灵敏压力传感器的可行策略。在此,通过将聚丙烯酸(PAA)的厚聚电解质层与聚甲基丙烯酸甲酯(PMMA)的薄层层相结合,开发了一种新型的溶液处理双层电介质。这种双层电介质可以提供从亲水界面到疏水界面的垂直相分离结构,该结构与有机半导体很好地邻接,从而提高了稳定性并显著降低了漏电流。因此,与使用纯PAA电介质的OFET相比,使用PMMA/PAA电介质的OFET显示出大大抑制的滞后现象和改善的迁移率。使用优化的PMMA/PAA电介质,进一步展示了基于柔性OFET的压力传感器,该传感器在-5 V的低工作电压下显示出创纪录的56.15 kPa的高灵敏度、小于20 ms的快速响应时间以及良好的柔韧性。双层电介质的高电容、良好的介电性能和出色的可靠性等显著特性为基于低压OFET的柔性传感器在可穿戴电子应用中的光明前景提供了保障。