Suppr超能文献

来自前苏联的德裔移民中的癌症发病率和死亡率

Cancer Incidence and Mortality Among Ethnic German Migrants From the Former Soviet Union.

作者信息

Kaucher Simone, Kajüter Hiltraud, Becher Heiko, Winkler Volker

机构信息

Unit of Epidemiology and Biostatistics, Institute of Public Health, University Hospital Heidelberg, Heidelberg, Germany.

Epidemiological Cancer Registry of North Rhine-Westphalia, Münster, Germany.

出版信息

Front Oncol. 2018 Sep 11;8:378. doi: 10.3389/fonc.2018.00378. eCollection 2018.

Abstract

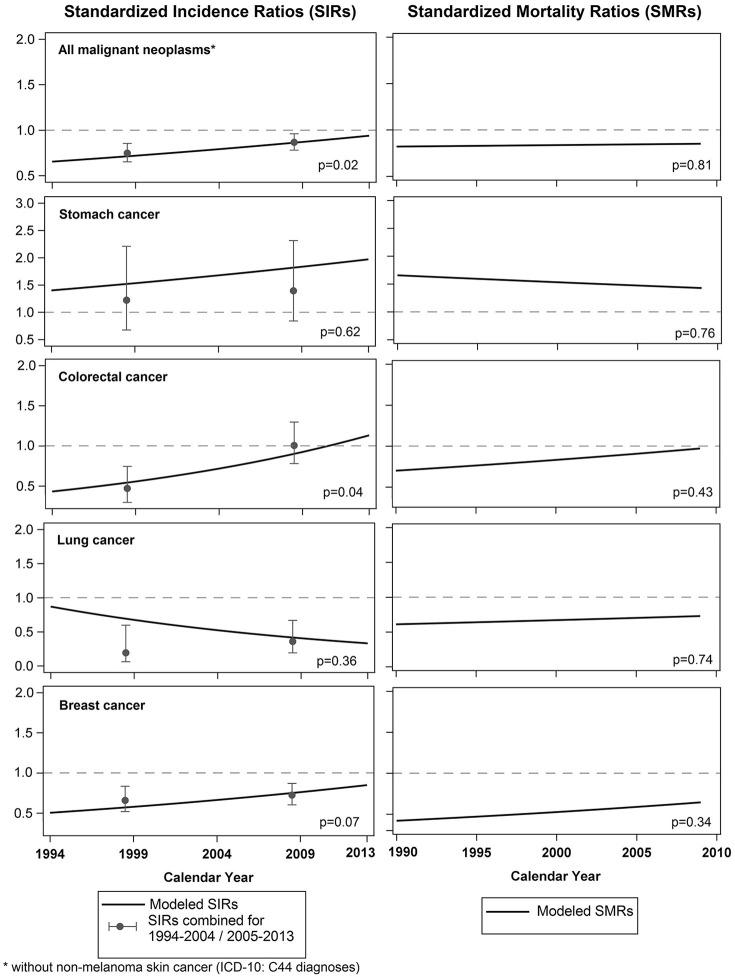
Germany is a country known for immigration. In 2015, 21% of the general population in Germany consisted of individuals with a migration background. This article focuses on cancer-specific incidence and mortality among one of the biggest migrant groups in Germany: the resettlers. Resettlers are ethnic Germans who mainly immigrated from the Russian federation and other countries of the former Soviet Union after its collapse in 1989. We investigated differences between resettlers and the general German population, regarding (i) incidence and mortality of malignant neoplasms, (ii) time trends of the corresponding incidence and mortality, and (iii) cancer stage at diagnosis. We provide data from two resettler cohorts covering an observation time of 20 years: one cohort on cancer incidence ( = 32,972), and another cohort on mortality ( = 59,390). Cancer-specific standardized incidence ratios (SIR) and standardized mortality ratios (SMR) for all malignant neoplasms combined and the most common cancer-sites were calculated between resettlers and the general German population. Time trend analyses using Poisson regression were performed to investigate the developments of SIRs and SMRs. To investigate differences in stage at diagnosis, logistic regression was performed, calculating Odds Ratios for condensed cancer stages. We observed higher incidence and mortality of stomach cancer [SIR (men) 1.62, 95%CI 1.17-2.19; SMR (men) 1.62, 95%CI 1.31-2.01; SIR (women) 1.32, 95%CI 0.86-1.94; SMR (women) 1.52, 95%CI 1.19-1.93] and higher mortality of lung cancer [SMR (men) 1.34, 95%CI 1.20-1.50] among resettlers compared to the general German population, but lower incidence and mortality of colorectal (both sexes), lung (women), prostate and female breast cancer. However, time trend analyses showed converging incidence risks of cause-specific incidence over time, whereas differences of mortality did not show changes over time. Results from logistic regression suggest that resettler men were more often diagnosed with advanced cancer stages compared to the Münster population. Our findings suggest that risk factor patterns of the most common cancer-sites among resettlers are similar to those observed within the Russian population. Such increases in prostate, colorectal and breast cancer incidence may be the consequence of improved detection measures, and/or the adaptation of resettlers to the German lifestyle.

摘要

德国是一个以移民而闻名的国家。2015年,德国总人口中有21%是有移民背景的人。本文聚焦于德国最大的移民群体之一:重新定居者的特定癌症发病率和死亡率。重新定居者是主要在1989年苏联解体后从俄罗斯联邦和其他前苏联国家移民来的德意志族人。我们调查了重新定居者与德国普通人群在以下方面的差异:(i)恶性肿瘤的发病率和死亡率;(ii)相应发病率和死亡率的时间趋势;(iii)诊断时的癌症分期。我们提供了来自两个重新定居者队列的数据,观察时间为20年:一个是癌症发病率队列(n = 32,972),另一个是死亡率队列(n = 59,390)。计算了重新定居者与德国普通人群所有恶性肿瘤合并以及最常见癌症部位的特定癌症标准化发病率比(SIR)和标准化死亡率比(SMR)。使用泊松回归进行时间趋势分析,以研究SIR和SMR的发展情况。为了研究诊断分期的差异,进行了逻辑回归,计算浓缩癌症分期的比值比。我们观察到,与德国普通人群相比,重新定居者中胃癌的发病率和死亡率更高[男性SIR 1.62,95%置信区间1.17 - 2.19;男性SMR 1.62,95%置信区间1.31 - 2.01;女性SIR 1.32,95%置信区间0.86 - 1.94;女性SMR 1.52,95%置信区间1.19 - 1.93],肺癌的死亡率更高[男性SMR 1.34,95%置信区间1.20 - 1.50],但结直肠癌(男女)、肺癌(女性)、前列腺癌和女性乳腺癌的发病率和死亡率较低。然而,时间趋势分析表明,特定病因发病率的发病风险随时间趋于一致,而死亡率差异并未随时间变化。逻辑回归结果表明,与明斯特人群相比,重新定居者男性更常被诊断为癌症晚期。我们的研究结果表明,重新定居者中最常见癌症部位的风险因素模式与俄罗斯人群中观察到的相似。前列腺癌、结直肠癌和乳腺癌发病率的这种上升可能是检测措施改进和/或重新定居者适应德国生活方式的结果。

https://cdn.ncbi.nlm.nih.gov/pmc/blobs/463f/6141734/fb4ed2589349/fonc-08-00378-g0001.jpg

文献AI研究员

20分钟写一篇综述,助力文献阅读效率提升50倍。

立即体验

用中文搜PubMed

大模型驱动的PubMed中文搜索引擎

马上搜索

文档翻译

学术文献翻译模型,支持多种主流文档格式。

立即体验