Suppr超能文献

基于频率的脑网络:从多重框架到完整的多层描述。

Frequency-based brain networks: From a multiplex framework to a full multilayer description.

作者信息

Buldú Javier M, Porter Mason A

机构信息

Laboratory of Biological Networks, Center for Biomedical Technology (UPM), Pozuelo de Alarcón, Madrid, Spain.

Department of Mathematics, University of California Los Angeles, Los Angeles, CA, USA.

出版信息

Netw Neurosci. 2018 Oct 1;2(4):418-441. doi: 10.1162/netn_a_00033. eCollection 2018.

Abstract

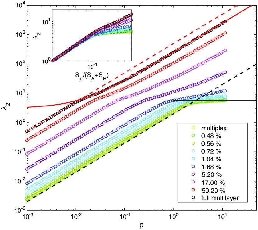
We explore how to study dynamical interactions between brain regions by using functional multilayer networks whose layers represent different frequency bands at which a brain operates. Specifically, we investigate the consequences of considering the brain as (i) a multilayer network, in which all brain regions can interact with each other at different frequency bands; and as (ii) a multiplex network, in which interactions between different frequency bands are allowed only within each brain region and not between them. We study the second-smallest eigenvalue of the combinatorial supra-Laplacian matrix of both the multiplex and multilayer networks, as has been used previously as an indicator of network synchronizability and as a biomarker for several brain diseases. We show that the heterogeneity of interlayer edge weights and, especially, the fraction of missing edges crucially modify the value of , and we illustrate our results with both synthetic network models and real data obtained from resting-state magnetoencephalography. Our work highlights the differences between using a multiplex approach and a full multilayer approach when studying frequency-based multilayer brain networks.

摘要

我们探讨如何通过使用功能多层网络来研究脑区之间的动态相互作用,这些网络的层代表大脑运作的不同频段。具体而言,我们研究将大脑视为(i)一个多层网络的后果,其中所有脑区可以在不同频段相互作用;以及(ii)一个多重网络的后果,其中不同频段之间的相互作用仅允许在每个脑区内进行,而不是在它们之间进行。我们研究了多重网络和多层网络的组合超拉普拉斯矩阵的第二小特征值,因为该特征值先前已被用作网络同步性的指标以及几种脑部疾病的生物标志物。我们表明,层间边权重的异质性,尤其是缺失边的比例,会显著改变该特征值的值,并且我们用合成网络模型和从静息态脑磁图获得的真实数据来说明我们的结果。我们的工作突出了在研究基于频率的多层脑网络时使用多重方法和完整多层方法之间的差异。

https://cdn.ncbi.nlm.nih.gov/pmc/blobs/79d6/6353039/48a1ec34aef0/netn-02-418-f001.jpg

文献检索

告别复杂PubMed语法,用中文像聊天一样搜索,搜遍4000万医学文献。AI智能推荐,让科研检索更轻松。

立即免费搜索

文件翻译

保留排版,准确专业,支持PDF/Word/PPT等文件格式,支持 12+语言互译。

免费翻译文档

深度研究

AI帮你快速写综述,25分钟生成高质量综述,智能提取关键信息,辅助科研写作。

立即免费体验