Suppr超能文献

精油对多重耐药革兰氏阴性菌和耐甲氧西林金黄色葡萄球菌的高活性

High Potency of Essential Oil against Multi-Drug Resistant Gram-Negative Bacteria and Methicillin-Resistant .

机构信息

Department of Public Health and Infectious Diseases, Sapienza University of Rome, Viale del Policlinico 155, 00161 Rome, Italy.

Rome Center for Molecular Design, Department of Drug Chemistry and Technology, Sapienza University, P.le Aldo Moro 5, 00185 Rome, Italy.

出版信息

Molecules. 2018 Oct 9;23(10):2584. doi: 10.3390/molecules23102584.

Abstract

PURPOSE

Herein, an extended investigation of Tea tree oil (TTO) against a number of multi-drug resistant (MDR) microorganisms in liquid and vapor phases is reported.

METHODS

The activity of TTO was tested against methicillin-sensitive (MSSA), , and clinical strains of methicillin-resistant (MRSA), extended-spectrum beta lactamases producer carbapenem-sensitive (ESBL-CS-Kp), carbapenem-resistant (CR-Kp), (CR-Ab), and (CR-Pa). Minimal inhibitory/bactericidal concentrations (MIC/MBCs) and synergistic activity between TTO and different antimicrobials were determined. In the vapor assay (VP), TTO-impregnated discs were placed on the lid of a petri dish and incubated for 24 h at 37 °C.

RESULTS

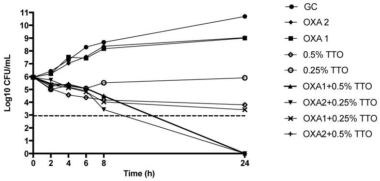
TTO showed a potent bactericidal activity against all the tested microorganisms. TTO in combination with each reference antimicrobial showed a high level of synergism at sub-inhibitory concentrations, particularly with oxacillin (OXA) against MRSA. The VP assay showed high activity of TTO against CR-Ab.

CONCLUSION

Evaluation of in-vitro activity clearly indicated TTO as a potential effective antimicrobial treatment either alone or in association with known drugs against MDR. Therefore, TTO could represent the basis for a possible role in non-conventional regimens against and Gram-negative MDR. TTO in VP might represent a promising option for local therapy of pneumonia caused by CR-Ab.

摘要

目的

本文对茶树油(TTO)在液体和蒸气相态下针对多种耐多药(MDR)微生物的扩展研究进行了报道。

方法

对 TTO 针对甲氧西林敏感金黄色葡萄球菌(MSSA)、耐甲氧西林金黄色葡萄球菌(MRSA)、产超广谱β-内酰胺酶碳青霉烯敏感肠杆菌科(ESBL-CS-Kp)、碳青霉烯耐药肠杆菌科(CR-Kp)、耐碳青霉烯鲍曼不动杆菌(CR-Ab)和耐碳青霉烯铜绿假单胞菌(CR-Pa)的活性进行了测试。测定了最小抑菌/杀菌浓度(MIC/MBC)和 TTO 与不同抗菌药物之间的协同活性。在蒸气测定(VP)中,将 TTO 浸渍的圆盘放在培养皿的盖子上,在 37°C 下孵育 24 小时。

结果

TTO 对所有测试的微生物均表现出强大的杀菌活性。TTO 与每种参考抗菌药物在亚抑制浓度下表现出高度的协同作用,特别是与 OXA 对 MRSA 的协同作用。VP 测定显示 TTO 对 CR-Ab 具有高活性。

结论

体外活性评估清楚地表明,TTO 作为一种潜在的有效抗菌治疗药物,无论是单独使用还是与已知药物联合使用,对 MDR 都具有潜在的效果。因此,TTO 可能代表针对 MDR 革兰氏阳性和革兰氏阴性菌的非传统治疗方案的基础。VP 中的 TTO 可能代表针对 CR-Ab 引起的肺炎的局部治疗的有希望的选择。

https://cdn.ncbi.nlm.nih.gov/pmc/blobs/0e9e/6222846/00ccdcda6d4f/molecules-23-02584-g001.jpg

文献AI研究员

20分钟写一篇综述,助力文献阅读效率提升50倍。

立即体验

用中文搜PubMed

大模型驱动的PubMed中文搜索引擎

马上搜索

文档翻译

学术文献翻译模型,支持多种主流文档格式。

立即体验