Suppr超能文献

2-溴乙磺酸盐的抑制研究揭示了厌氧降解油酸过程中的一种新型共代谢关系。

Inhibition Studies with 2-Bromoethanesulfonate Reveal a Novel Syntrophic Relationship in Anaerobic Oleate Degradation.

机构信息

Centre of Biological Engineering, University of Minho, Braga, Portugal

Centre of Biological Engineering, University of Minho, Braga, Portugal.

出版信息

Appl Environ Microbiol. 2019 Jan 9;85(2). doi: 10.1128/AEM.01733-18. Print 2019 Jan 15.

Abstract

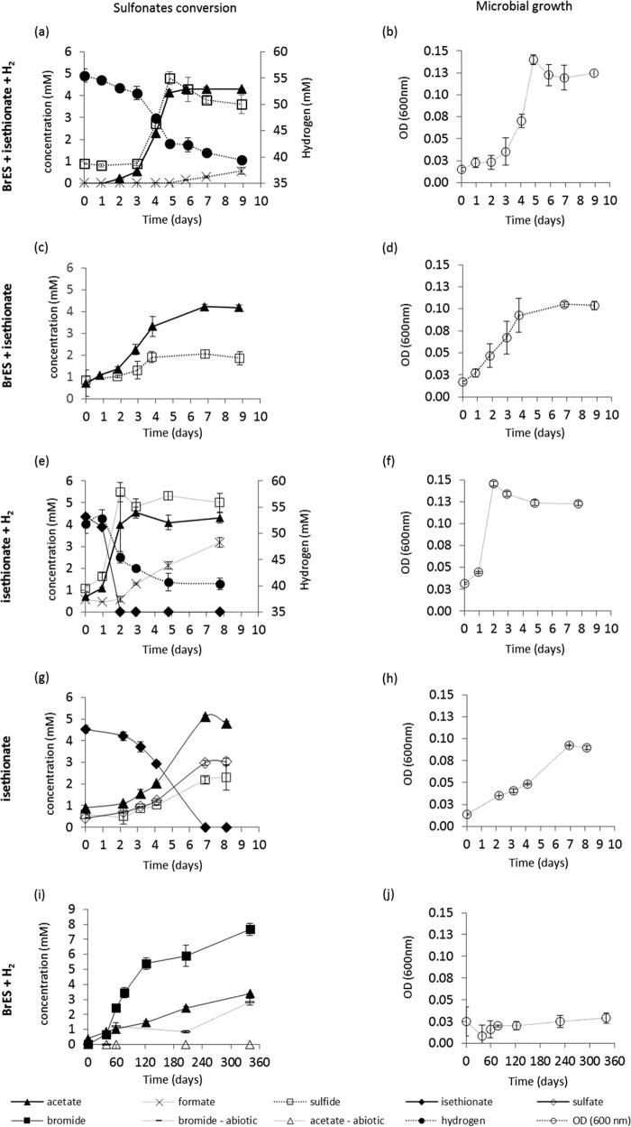
Degradation of long-chain fatty acids (LCFAs) in methanogenic environments is a syntrophic process involving the activity of LCFA-degrading bacteria and hydrogen-utilizing methanogens. If methanogens are inhibited, other hydrogen scavengers are needed to achieve complete LCFA degradation. In this work, we developed two different oleate (C LCFA)-degrading anaerobic enrichment cultures, one methanogenic (ME) and another in which methanogenesis was inhibited (IE). Inhibition of methanogens was attained by adding a solution of 2-bromoethanesulfonate (BrES), which turned out to consist of a mixture of BrES and isethionate. Approximately 5 times faster oleate degradation was accomplished by the IE culture compared with the ME culture. A bacterium closely related to (99% 16S rRNA gene identity) was the main oleate degrader in both enrichments, in syntrophic relationship with hydrogenotrophic methanogens from the genera and (in ME culture) or with a bacterium closely related to (in IE culture). A species was isolated, and its ability to utilize hydrogen was confirmed. This bacterium converted isethionate to acetate and sulfide, with or without hydrogen as electron donor. This bacterium also utilized BrES but only after 3 months of incubation. Our study shows that syntrophic oleate degradation can be coupled to desulfonation. In anaerobic treatment of complex wastewater containing fat, oils, and grease, high long-chain fatty acid (LCFA) concentrations may inhibit microbial communities, particularly those of methanogens. Here, we investigated if anaerobic degradation of LCFAs can proceed when methanogens are inhibited and in the absence of typical external electron acceptors, such as nitrate, iron, or sulfate. Inhibition studies were performed with the methanogenic inhibitor 2-bromoethanesulfonate (BrES). We noticed that, after autoclaving, BrES underwent partial hydrolysis and turned out to be a mixture of two sulfonates (BrES and isethionate). We found out that LCFA conversion proceeded faster in the assays where methanogenesis was inhibited, and that it was dependent on the utilization of isethionate. In this study, we report LCFA degradation coupled to desulfonation. Our results also showed that BrES can be utilized by anaerobic bacteria.

摘要

在产甲烷环境中,长链脂肪酸(LCFAs)的降解是一个涉及 LCFA 降解细菌和利用氢气的产甲烷菌活性的共生过程。如果产甲烷菌受到抑制,则需要其他氢清除剂来实现完全的 LCFAs 降解。在这项工作中,我们开发了两种不同的油酸盐(C LCFA)降解厌氧富集培养物,一种是产甲烷的(ME),另一种是产甲烷被抑制的(IE)。通过添加 2-溴乙磺酸盐(BrES)溶液来抑制产甲烷菌,结果发现该溶液由 BrES 和异丁酸盐组成。与 ME 培养物相比,IE 培养物中油酸盐的降解速度快了约 5 倍。在两种富集物中,与 (99% 16S rRNA 基因同一性)密切相关的细菌是主要的油酸盐降解菌,与氢营养型产甲烷菌(属)密切相关,或与 (IE 培养物中)密切相关的细菌密切相关。分离出一个 种,证实其具有利用氢气的能力。该细菌将异丁酸盐转化为乙酸盐和硫化物,有或没有氢气作为电子供体。该细菌也利用 BrES,但仅在孵育 3 个月后才利用。我们的研究表明,共氧化油酸盐降解可以与脱磺化偶联。在含有脂肪、油和油脂的复杂废水的厌氧处理中,高浓度的长链脂肪酸(LCFA)可能会抑制微生物群落,特别是产甲烷菌。在这里,我们研究了当产甲烷菌受到抑制且没有典型的外部电子受体(如硝酸盐、铁或硫酸盐)时,LCFAs 的厌氧降解是否可以进行。使用产甲烷抑制剂 2-溴乙磺酸盐(BrES)进行抑制研究。我们注意到,在高压灭菌后,BrES 经历了部分水解,结果变成了两种磺酸盐(BrES 和异丁酸盐)的混合物。我们发现,在产甲烷作用受到抑制的测定中,LCFA 转化更快,并且依赖于异丁酸盐的利用。在这项研究中,我们报告了与脱磺化偶联的 LCFA 降解。我们的结果还表明,BrES 可以被厌氧细菌利用。

https://cdn.ncbi.nlm.nih.gov/pmc/blobs/2ed2/6328780/bc490390fcbe/AEM.01733-18-f0001.jpg

文献AI研究员

20分钟写一篇综述,助力文献阅读效率提升50倍。

立即体验

用中文搜PubMed

大模型驱动的PubMed中文搜索引擎

马上搜索

文档翻译

学术文献翻译模型,支持多种主流文档格式。

立即体验