• 文献检索
  • 文档翻译
  • 深度研究
  • 学术资讯
  • Suppr Zotero 插件Zotero 插件
  • 邀请有礼
  • 套餐&价格
  • 历史记录
应用&插件
Suppr Zotero 插件Zotero 插件浏览器插件Mac 客户端Windows 客户端微信小程序
定价
高级版会员购买积分包购买API积分包
服务
文献检索文档翻译深度研究API 文档MCP 服务
关于我们
关于 Suppr公司介绍联系我们用户协议隐私条款
关注我们

Suppr 超能文献

核心技术专利:CN118964589B侵权必究
粤ICP备2023148730 号-1Suppr @ 2026

文献检索

告别复杂PubMed语法,用中文像聊天一样搜索,搜遍4000万医学文献。AI智能推荐,让科研检索更轻松。

立即免费搜索

文件翻译

保留排版,准确专业,支持PDF/Word/PPT等文件格式,支持 12+语言互译。

免费翻译文档

深度研究

AI帮你快速写综述,25分钟生成高质量综述,智能提取关键信息,辅助科研写作。

立即免费体验

氮循环微生物对棉隆熏蒸的响应。

Responses of Nitrogen-Cycling Microorganisms to Dazomet Fumigation.

作者信息

Fang Wensheng, Yan Dongdong, Wang Xianli, Huang Bin, Wang Xiaoning, Liu Jie, Liu Xiaoman, Li Yuan, Ouyang Canbin, Wang Qiuxia, Cao Aocheng

机构信息

Institute of Plant Protection, Chinese Academy of Agricultural Sciences, Beijing, China.

出版信息

Front Microbiol. 2018 Oct 23;9:2529. doi: 10.3389/fmicb.2018.02529. eCollection 2018.

DOI:10.3389/fmicb.2018.02529
PMID:30405582
原文链接:https://pmc.ncbi.nlm.nih.gov/articles/PMC6206233/
Abstract

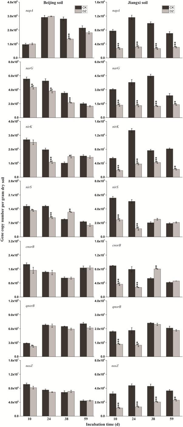
The influence of soil fumigation on microorganisms involved in transforming nitrogen remains little understood, despite the use of fumigants for many decades to control soil-borne pathogens and plant-parasitic nematodes. We used real-time PCR (quantitative polymerase chain reaction) and 16S rRNA gene amplicon sequencing techniques to monitor changes in the diversity and community structure of microorganisms associated with nitrogen transfer after the soil was fumigated with dazomet (DZ). We also examined nitrous oxide (NO) emissions from these microorganisms present in fumigated fluvo-aquic soil and lateritic red soil. Fumigation with DZ significantly reduced the abundance of 16S rRNA and nitrogen cycling functional genes (, AOA , AOB , and ). At the same time, NO production rates increased between 9.9 and 30 times after fumigation. NO emissions were significantly correlated with , dissolved amino acids and microbial biomass nitrogen, but uncorrelated with functional gene abundance. Diversity indices showed that DZ temporarily stimulated bacterial diversity as well as caused a significant change in bacterial community composition. For example, DZ significantly decreased populations of N-fixing bacteria and , nitrifiers , and the denitrifiers , and The soil microbial community had the ability to recover to similar population levels recorded in unfumigated soils when the inhibitory effects of DZ fumigation were no longer evident. The microbial recovery rate, however, depended on the physicochemical properties of the soil. These results provided useful information for environmental safety assessments of DZ in China, for improving our understanding of the N-cycling pathways in fumigated soils, and for determining the potential responses of different N-cycling groups after fumigation.

摘要

尽管几十年来一直使用熏蒸剂来控制土壤传播的病原体和植物寄生线虫,但土壤熏蒸对参与氮转化的微生物的影响仍鲜为人知。我们使用实时PCR(定量聚合酶链反应)和16S rRNA基因扩增子测序技术,来监测用棉隆(DZ)熏蒸土壤后与氮转移相关的微生物多样性和群落结构的变化。我们还检测了熏蒸后的潮土和赤红壤中这些微生物产生的一氧化二氮(N₂O)排放。用DZ熏蒸显著降低了16S rRNA和氮循环功能基因(amoA、AOA、AOB和nirK)的丰度。同时,熏蒸后N₂O产生率提高了9.9至30倍。N₂O排放与amoA、溶解氨基酸和微生物生物量氮显著相关,但与功能基因丰度无关。多样性指数表明,DZ暂时刺激了细菌多样性,并导致细菌群落组成发生显著变化。例如,DZ显著降低了固氮细菌Azospirillum和Bradyrhizobium、硝化细菌Nitrospira和反硝化细菌Pseudomonas、Thauera的数量。当DZ熏蒸的抑制作用不再明显时,土壤微生物群落有能力恢复到未熏蒸土壤中记录的类似种群水平。然而,微生物恢复率取决于土壤的物理化学性质。这些结果为中国DZ的环境安全评估、增进我们对熏蒸土壤中氮循环途径的理解以及确定熏蒸后不同氮循环群体的潜在反应提供了有用信息。

https://cdn.ncbi.nlm.nih.gov/pmc/blobs/b0c8/6206233/1a9e7c6c9f88/fmicb-09-02529-g006.jpg
https://cdn.ncbi.nlm.nih.gov/pmc/blobs/b0c8/6206233/046a74f8e5b0/fmicb-09-02529-g001.jpg
https://cdn.ncbi.nlm.nih.gov/pmc/blobs/b0c8/6206233/9fb7b187a323/fmicb-09-02529-g002.jpg
https://cdn.ncbi.nlm.nih.gov/pmc/blobs/b0c8/6206233/f1e0246fd46d/fmicb-09-02529-g003.jpg
https://cdn.ncbi.nlm.nih.gov/pmc/blobs/b0c8/6206233/a1db714452ac/fmicb-09-02529-g004.jpg
https://cdn.ncbi.nlm.nih.gov/pmc/blobs/b0c8/6206233/b8b227c71a9c/fmicb-09-02529-g005.jpg
https://cdn.ncbi.nlm.nih.gov/pmc/blobs/b0c8/6206233/1a9e7c6c9f88/fmicb-09-02529-g006.jpg
https://cdn.ncbi.nlm.nih.gov/pmc/blobs/b0c8/6206233/046a74f8e5b0/fmicb-09-02529-g001.jpg
https://cdn.ncbi.nlm.nih.gov/pmc/blobs/b0c8/6206233/9fb7b187a323/fmicb-09-02529-g002.jpg
https://cdn.ncbi.nlm.nih.gov/pmc/blobs/b0c8/6206233/f1e0246fd46d/fmicb-09-02529-g003.jpg
https://cdn.ncbi.nlm.nih.gov/pmc/blobs/b0c8/6206233/a1db714452ac/fmicb-09-02529-g004.jpg
https://cdn.ncbi.nlm.nih.gov/pmc/blobs/b0c8/6206233/b8b227c71a9c/fmicb-09-02529-g005.jpg
https://cdn.ncbi.nlm.nih.gov/pmc/blobs/b0c8/6206233/1a9e7c6c9f88/fmicb-09-02529-g006.jpg

相似文献

1
Responses of Nitrogen-Cycling Microorganisms to Dazomet Fumigation.氮循环微生物对棉隆熏蒸的响应。
Front Microbiol. 2018 Oct 23;9:2529. doi: 10.3389/fmicb.2018.02529. eCollection 2018.
2
Changes in the abundance and community composition of different nitrogen cycling groups in response to fumigation with 1,3-dichloropropene.不同氮循环群落在 1,3-二氯丙烯熏蒸下的丰度和群落组成的变化。
Sci Total Environ. 2019 Feb 10;650(Pt 1):44-55. doi: 10.1016/j.scitotenv.2018.08.432. Epub 2018 Aug 31.
3
Comparative analysis of the effects of five soil fumigants on the abundance of denitrifying microbes and changes in bacterial community composition.五种土壤熏蒸剂对反硝化微生物丰度及细菌群落组成变化的影响比较分析。
Ecotoxicol Environ Saf. 2020 Jan 15;187:109850. doi: 10.1016/j.ecoenv.2019.109850. Epub 2019 Oct 31.
4
Evidences of NO Emissions in Chloropicrin-Fumigated Soil.氯苦熏蒸土壤中无氮氧化物排放的证据。
J Agric Food Chem. 2018 Nov 7;66(44):11580-11591. doi: 10.1021/acs.jafc.8b04351. Epub 2018 Oct 26.
5
Effects of fumigation with metam-sodium on soil microbial biomass, respiration, nitrogen transformation, bacterial community diversity and genes encoding key enzymes involved in nitrogen cycling.甲拌磷熏蒸对土壤微生物生物量、呼吸作用、氮转化、细菌群落多样性及氮循环关键酶基因的影响。
Sci Total Environ. 2017 Nov 15;598:1027-1036. doi: 10.1016/j.scitotenv.2017.02.058. Epub 2017 May 1.
6
Microbial regulation of nitrous oxide emissions from chloropicrin-fumigated soil amended with biochar.微生物对氯代异氰尿酸熏蒸并添加生物炭的土壤中一氧化二氮排放的调控。
J Hazard Mater. 2022 May 5;429:128060. doi: 10.1016/j.jhazmat.2021.128060. Epub 2021 Dec 9.
7
Diversity of nitrogen cycling genes at a Midwest long-term ecological research site with different management practices.美国中西部长期生态研究站点不同管理措施下氮循环基因的多样性
Appl Microbiol Biotechnol. 2021 May;105(10):4309-4327. doi: 10.1007/s00253-021-11303-0. Epub 2021 May 4.
8
Dazomet fumigation modification of the soil microorganism community and promotion of growth.棉隆熏蒸对土壤微生物群落的改良及生长促进作用
Front Microbiol. 2024 Jul 26;15:1443526. doi: 10.3389/fmicb.2024.1443526. eCollection 2024.
9
Fresh chicken manure fumigation reduces the inhibition time of chloropicrin on soil bacteria and fungi and increases beneficial microorganisms.新鲜鸡粪熏蒸可减少氯化苦对土壤细菌和真菌的抑制时间,并增加有益微生物。
Environ Pollut. 2021 Oct 1;286:117460. doi: 10.1016/j.envpol.2021.117460. Epub 2021 Jun 12.
10
Effect of fumigation with chloropicrin on soil bacterial communities and genes encoding key enzymes involved in nitrogen cycling.氯化苦熏蒸对土壤细菌群落及氮循环关键酶基因的影响。
Environ Pollut. 2017 Aug;227:534-542. doi: 10.1016/j.envpol.2017.03.076. Epub 2017 May 9.

引用本文的文献

1
Fumigant dazomet induces tobacco plant growth via changing the rhizosphere microbial community.熏蒸剂棉隆通过改变根际微生物群落诱导烟草植株生长。
Sci Rep. 2025 Feb 24;15(1):6673. doi: 10.1038/s41598-025-91432-y.
2
Inoculation with strains decreases N₂O emissions from vegetable soil by altering microbial community composition and diversity.接种 菌株通过改变微生物群落组成和多样性来减少蔬菜土壤中的 N₂O 排放。
Microbiol Spectr. 2024 May 2;12(5):e0018624. doi: 10.1128/spectrum.00186-24. Epub 2024 Mar 21.
3
Improvement in the quality and productivity of Codonopsis pilosula seedlings by dazomet soil fumigation.

本文引用的文献

1
Legacy effects of continuous chloropicrin-fumigation for 3-years on soil microbial community composition and metabolic activity.连续三年氯化苦熏蒸对土壤微生物群落组成和代谢活性的遗留效应。
AMB Express. 2017 Sep 18;7(1):178. doi: 10.1186/s13568-017-0475-1.
2
Dynamics of nitric oxide controlled by protein complex in bacterial system.细菌体系中由蛋白质复合物控制的一氧化氮动力学。
Proc Natl Acad Sci U S A. 2017 Sep 12;114(37):9888-9893. doi: 10.1073/pnas.1621301114. Epub 2017 Aug 28.
3
Effects of hexaconazole application on soil microbes community and nitrogen transformations in paddy soils.
土壤熏蒸剂威百亩提高党参种苗质量和产量。
Sci Rep. 2024 Mar 5;14(1):5407. doi: 10.1038/s41598-024-56093-3.
4
Pre-treatment with Dazomet enhances the biocontrol efficacy of purpureocillium lilacinum to Meloidogyne incognita.预先使用棉隆处理可提高淡紫拟青霉对南方根结线虫的生物防治效果。
BMC Microbiol. 2023 Aug 31;23(1):244. doi: 10.1186/s12866-023-02978-8.
5
Mechanisms by which chloropicrin fumigation promotes soil potassium conversion and absorption.氯化苦熏蒸促进土壤钾转化与吸收的机制。
Front Microbiol. 2023 Jul 13;14:1208973. doi: 10.3389/fmicb.2023.1208973. eCollection 2023.
6
Nitrogen transformation processes catalyzed by manure microbiomes in earthen pit and concrete storages on commercial dairy farms.商业奶牛场土坑和混凝土储存设施中粪便微生物群落催化的氮转化过程。
Environ Microbiome. 2023 Apr 11;18(1):32. doi: 10.1186/s40793-023-00483-z.
7
Arbuscular Mycorrhizal Fungi Shift Soil Bacterial Community Composition and Reduce Soil Ammonia Volatilization and Nitrous Oxide Emissions.丛枝菌根真菌改变土壤细菌群落组成,减少土壤氨挥发和氧化亚氮排放。
Microb Ecol. 2023 Apr;85(3):951-964. doi: 10.1007/s00248-023-02172-3. Epub 2023 Jan 20.
8
Legacy effects of fumigation on soil bacterial and fungal communities and their response to metam sodium application.熏蒸对土壤细菌和真菌群落的遗留效应及其对威百亩施用的响应。
Environ Microbiome. 2022 Dec 3;17(1):59. doi: 10.1186/s40793-022-00454-w.
9
Perturbation of clopyralid on bio-denitrification and nitrite accumulation: Long-term performance and biological mechanism.氯吡嘧磺隆对生物反硝化及亚硝酸盐积累的干扰:长期性能及生物学机制
Environ Sci Ecotechnol. 2021 Dec 29;9:100144. doi: 10.1016/j.ese.2021.100144. eCollection 2022 Jan.
10
Distinct Denitrifying Phenotypes of Predominant Bacteria Modulate Nitrous Oxide Metabolism in Two Typical Cropland Soils.优势细菌的不同反硝化表型调控两种典型农田土壤中氧化亚氮代谢。
Microb Ecol. 2023 Jul;86(1):509-520. doi: 10.1007/s00248-022-02085-7. Epub 2022 Aug 2.
己唑醇施用于稻田土壤后对土壤微生物群落和氮转化的影响。
Sci Total Environ. 2017 Dec 31;609:655-663. doi: 10.1016/j.scitotenv.2017.07.146. Epub 2017 Jul 28.
4
Effect of fumigation with chloropicrin on soil bacterial communities and genes encoding key enzymes involved in nitrogen cycling.氯化苦熏蒸对土壤细菌群落及氮循环关键酶基因的影响。
Environ Pollut. 2017 Aug;227:534-542. doi: 10.1016/j.envpol.2017.03.076. Epub 2017 May 9.
5
Effects of fumigation with metam-sodium on soil microbial biomass, respiration, nitrogen transformation, bacterial community diversity and genes encoding key enzymes involved in nitrogen cycling.甲拌磷熏蒸对土壤微生物生物量、呼吸作用、氮转化、细菌群落多样性及氮循环关键酶基因的影响。
Sci Total Environ. 2017 Nov 15;598:1027-1036. doi: 10.1016/j.scitotenv.2017.02.058. Epub 2017 May 1.
6
Analysis of the inhibitory effects of chloropicrin fumigation on nitrification in various soil types.氯化苦熏蒸对不同土壤类型硝化作用的抑制效果分析
Chemosphere. 2017 May;175:459-464. doi: 10.1016/j.chemosphere.2017.02.075. Epub 2017 Feb 16.
7
Effects of myclobutanil on soil microbial biomass, respiration, and soil nitrogen transformations.抑霉唑对土壤微生物生物量、呼吸作用和土壤氮转化的影响。
Environ Pollut. 2016 Jan;208(Pt B):811-20. doi: 10.1016/j.envpol.2015.11.003. Epub 2015 Nov 15.
8
Effect of application rate on fumigant degradation in five agricultural soils.施用量对五种农业土壤中熏蒸剂降解的影响。
Sci Total Environ. 2016 Jan 15;541:528-534. doi: 10.1016/j.scitotenv.2015.09.062. Epub 2015 Oct 3.
9
Effect of fumigation with 1,3-dichloropropene on soil bacterial communities.1,3-二氯丙烯熏蒸对土壤细菌群落的影响。
Chemosphere. 2015 Nov;139:379-85. doi: 10.1016/j.chemosphere.2015.07.034. Epub 2015 Jul 24.
10
Functional and structural responses of soil N-cycling microbial communities to the herbicide mesotrione: a dose-effect microcosm approach.土壤氮循环微生物群落对除草剂嗪草酸甲酯的功能和结构响应:剂量效应微宇宙方法。
Environ Sci Pollut Res Int. 2016 Mar;23(5):4207-17. doi: 10.1007/s11356-015-4797-8. Epub 2015 Jun 28.