Suppr超能文献

评估革兰氏阴性菌对抗菌蓝光(405纳米)产生耐药性的可能性:及相关研究。

Evaluating the Potential for Resistance Development to Antimicrobial Blue Light (at 405 nm) in Gram-Negative Bacteria: and Studies.

作者信息

Leanse Leon G, Harrington Olivia D, Fang Yanyan, Ahmed Imran, Goh Xueping Sharon, Dai Tianhong

机构信息

Wellman Center for Photomedicine, Massachusetts General Hospital, Harvard Medical School, Boston, MA, United States.

出版信息

Front Microbiol. 2018 Oct 16;9:2403. doi: 10.3389/fmicb.2018.02403. eCollection 2018.

Abstract

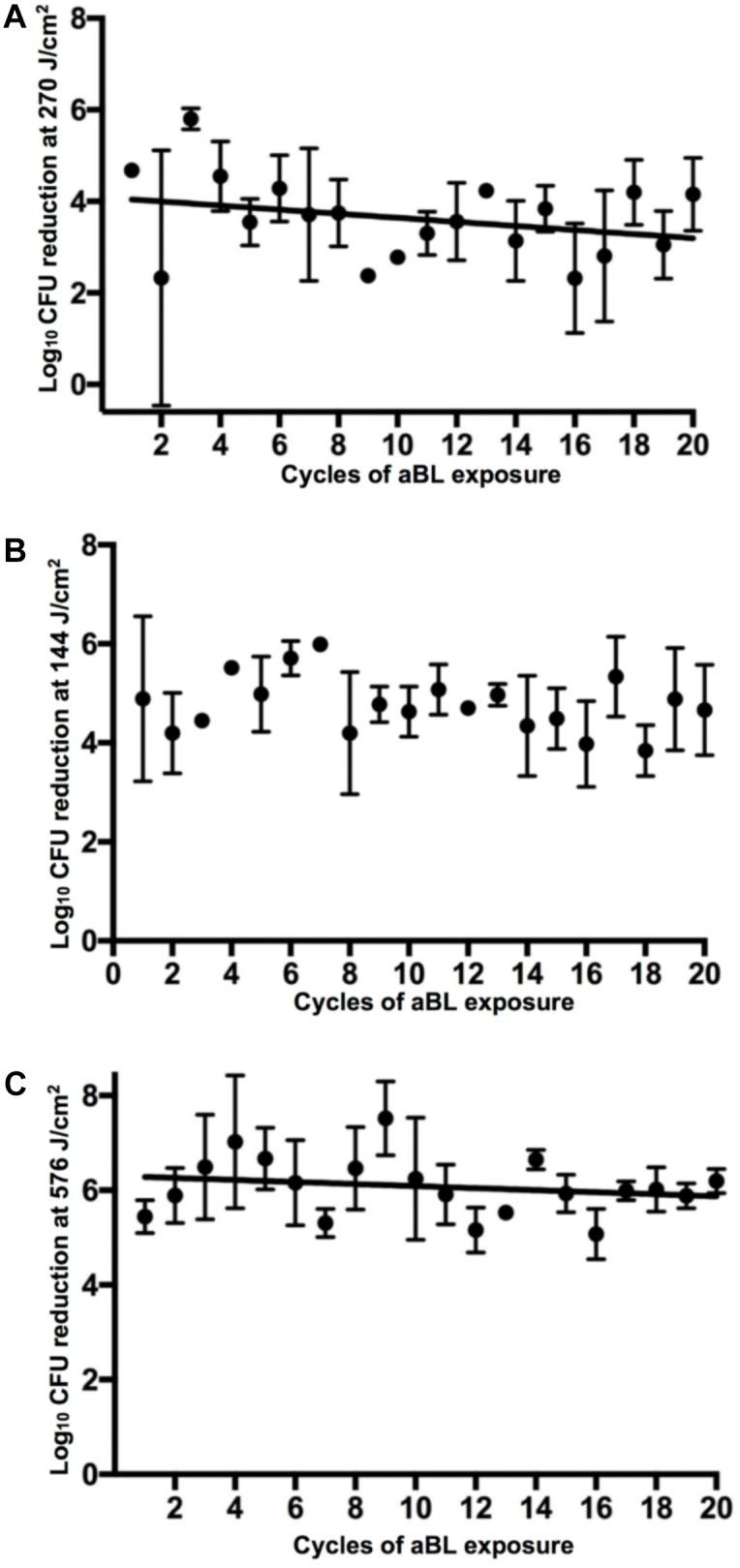
Antimicrobial resistance is a threat to public health that requires our immediate attention. With increasing numbers of microbes that are becoming resistant to routinely used antimicrobials, it is vital that we look to other, non-traditional therapies for the treatment of infections. Antimicrobial blue light (aBL) is an innovative approach that has demonstrated efficacy for the inactivation of an array of microbial pathogens. In the present study, we investigated the potential for resistance development to aBL in Gram-negative pathogenic bacteria by carrying out multiple aBL exposures on bacteria. In the first aBL exposure, clinical isolates of , , and uropathogenic [10 colony forming units/mL (CFU/mL)] were irradiated in phosphate-buffered saline with aBL at 405 nm until a >99.99% reduction in bacterial viability was achieved. Irradiation was then repeated for each bacterial species over 20 cycles of aBL exposure. The potential for resistance development to aBL was also investigated , in superficial mouse wounds infected with a bioluminescent strain of (PAO1; 10 CFU) and irradiated with a sub-curative radiant exposures of 108 or 216 J/cm aBL over 5 cycles of treatment (over 5 days) prior to bacterial isolation from the animal tissue. PAO1 isolated from infected tissue were treated with aBL at 216 J/cm, , in parallel with unexposed PAO1 or PAO1 isolates from mouse wound infections not treated with aBL. No statistically significant correlation was found between the aBL-susceptibility of bacteria and the number of cycles of aBL exposure any bacterial species ( ≥ 0.26). In addition, serial exposure of infected mouse wounds to aBL did not result in any change in the susceptibility to aBL of PAO1 ( = 0.97). In conclusion, it is unlikely that sequential exposure to aBL will result in aBL-resistance in Gram-negative bacteria. Also, multiple aBL treatments may potentially be administered to an infected wound without resistance development becoming a concern.

摘要

抗菌药物耐药性是对公众健康的一大威胁,需要我们立即予以关注。随着越来越多的微生物对常规使用的抗菌药物产生耐药性,我们寻求其他非传统疗法来治疗感染至关重要。抗菌蓝光(aBL)是一种创新方法,已证明对一系列微生物病原体的灭活有效。在本研究中,我们通过对细菌进行多次aBL照射,研究革兰氏阴性病原菌对aBL产生耐药性的可能性。在首次aBL照射中,将临床分离的大肠埃希菌、肺炎克雷伯菌和尿路致病性大肠埃希菌[10个菌落形成单位/毫升(CFU/mL)]在磷酸盐缓冲盐水中用405nm的aBL照射,直至细菌活力降低>99.99%。然后对每种细菌在20个aBL照射循环中重复照射。还研究了在感染了生物发光菌株铜绿假单胞菌(PAO1;10CFU)的小鼠浅表伤口中,在从动物组织分离细菌之前,在5个治疗周期(5天内)用108或216J/cm的亚治愈性辐射剂量的aBL照射,对aBL产生耐药性的可能性。从感染组织中分离的PAO1用216J/cm的aBL处理,与未暴露的PAO1或未用aBL处理的小鼠伤口感染的PAO1分离株平行处理。在任何细菌物种中,细菌对aBL的敏感性与aBL照射循环次数之间均未发现统计学上的显著相关性(P≥0.26)。此外,将感染的小鼠伤口连续暴露于aBL并未导致PAO1对aBL的敏感性发生任何变化(P=0.97)。总之,连续暴露于aBL不太可能导致革兰氏阴性菌对aBL产生耐药性。此外,多次aBL治疗可能潜在地应用于感染伤口,而无需担心产生耐药性。

https://cdn.ncbi.nlm.nih.gov/pmc/blobs/c585/6232756/7f5c9d6d9be3/fmicb-09-02403-g001.jpg

文献检索

告别复杂PubMed语法,用中文像聊天一样搜索,搜遍4000万医学文献。AI智能推荐,让科研检索更轻松。

立即免费搜索

文件翻译

保留排版,准确专业,支持PDF/Word/PPT等文件格式,支持 12+语言互译。

免费翻译文档

深度研究

AI帮你快速写综述,25分钟生成高质量综述,智能提取关键信息,辅助科研写作。

立即免费体验