Suppr超能文献

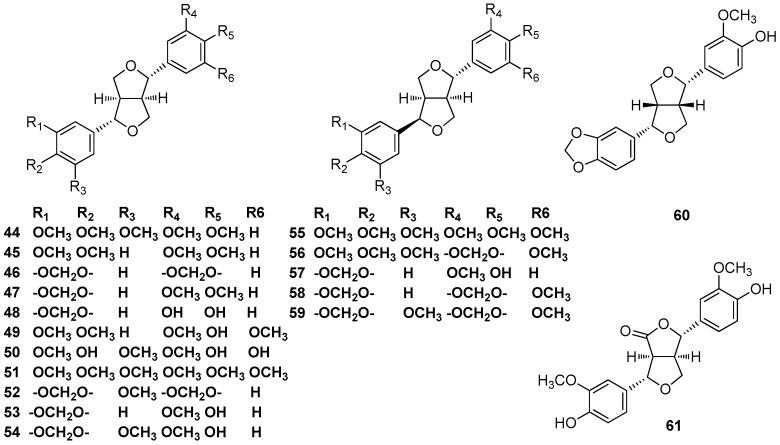
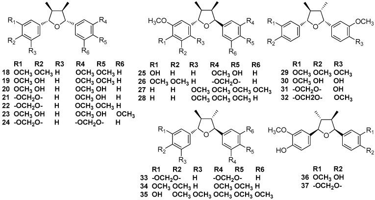
从樟科植物中分离得到的木脂素和新木脂素的化学结构。

Chemical Structures of Lignans and Neolignans Isolated from Lauraceae.

机构信息

State Key Laboratory of Applied Organic Chemistry, College of Chemistry and Chemical Engineering, Lanzhou University, Lanzhou 730000, China.

Lanzhou University High School, Lanzhou 730000, China.

出版信息

Molecules. 2018 Nov 30;23(12):3164. doi: 10.3390/molecules23123164.

Abstract

Lauraceae is a good source of lignans and neolignans, which are the most chemotaxonomic characteristics of many species of the family. This review describes 270 naturally occurring lignans and neolignans isolated from Lauraceae.

摘要

樟科是木脂素和新木脂素的重要来源,木脂素和新木脂素也是该科许多物种最具化学分类学特征的化合物。本文综述了从樟科植物中分离得到的 270 种天然木脂素和新木脂素。

https://cdn.ncbi.nlm.nih.gov/pmc/blobs/ff05/6321345/4e5a442aebac/molecules-23-03164-g001.jpg

文献AI研究员

20分钟写一篇综述,助力文献阅读效率提升50倍。

立即体验

用中文搜PubMed

大模型驱动的PubMed中文搜索引擎

马上搜索

文档翻译

学术文献翻译模型,支持多种主流文档格式。

立即体验