Suppr超能文献

通过计算预测和实验验证识别阿尔茨海默病的血液生物标志物

Identification of Blood Biomarkers for Alzheimer's Disease Through Computational Prediction and Experimental Validation.

作者信息

Yao Fang, Zhang Kaoyuan, Zhang Yan, Guo Yi, Li Aidong, Xiao Shifeng, Liu Qiong, Shen Liming, Ni Jiazuan

机构信息

Shenzhen Key Laboratory of Marine Biotechnology and Ecology, College of Life Science and Oceanography, Shenzhen University, Shenzhen, China.

Key Laboratory of Optoelectronic Devices and Systems of Ministry of Education and Guangdong Province, College of Optoelectronic Engineering, Shenzhen University, Shenzhen, China.

出版信息

Front Neurol. 2019 Jan 8;9:1158. doi: 10.3389/fneur.2018.01158. eCollection 2018.

Abstract

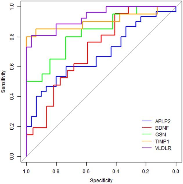
Alzheimer's disease (AD) is the major cause of dementia in population aged over 65 years, accounting up to 70% dementia cases. However, validated peripheral biomarkers for AD diagnosis are not available up to present. In this study, we adopted a new strategy of combination of computational prediction and experimental validation to identify blood protein biomarkers for AD. First, we collected tissue-based gene expression data of AD patients and healthy controls from GEO database. Second, we analyzed these data and identified differentially expressed genes for AD. Third, we applied a blood-secretory protein prediction program on these genes and predicted AD-related proteins in blood. Finally, we collected blood samples of AD patients and healthy controls to validate the potential AD biomarkers by using ELISA experiments and Western blot analyses. A total of 2754 genes were identified to express differentially in brain tissues of AD, among which 296 genes were predicted to encode AD-related blood-secretory proteins. After careful analysis and literature survey on these predicted blood-secretory proteins, ten proteins were considered as potential AD biomarkers, five of which were experimentally verified with significant change in blood samples of AD vs. controls by ELISA, including GSN, BDNF, TIMP1, VLDLR, and APLP2. ROC analyses showed that VLDLR and TIMP1 had excellent performance in distinguishing AD patients from controls (area under the curve, AUC = 0.932 and 0.903, respectively). Further validation of VLDLR and TIMP1 by Western blot analyses has confirmed the results obtained in ELISA experiments. VLDLR and TIMP1 had better discriminative abilities between ADs and controls, and might serve as potential blood biomarkers for AD. To our knowledge, this is the first time to identify blood protein biomarkers for AD through combination of computational prediction and experimental validation. In addition, VLDLR was first reported here as potential blood protein biomarker for AD. Thus, our findings might provide important information for AD diagnosis and therapies.

摘要

阿尔茨海默病(AD)是65岁以上人群痴呆症的主要病因,占痴呆症病例的70%。然而,目前尚无经过验证的用于AD诊断的外周生物标志物。在本研究中,我们采用了一种计算预测与实验验证相结合的新策略来识别AD的血液蛋白质生物标志物。首先,我们从基因表达综合数据库(GEO数据库)收集了AD患者和健康对照基于组织的基因表达数据。其次,我们分析了这些数据并确定了AD的差异表达基因。第三,我们将一个血液分泌蛋白预测程序应用于这些基因,并预测了血液中与AD相关的蛋白质。最后,我们收集了AD患者和健康对照的血样,通过酶联免疫吸附测定(ELISA)实验和蛋白质免疫印迹分析来验证潜在的AD生物标志物。共鉴定出2754个基因在AD脑组织中差异表达,其中296个基因被预测编码与AD相关的血液分泌蛋白。在对这些预测的血液分泌蛋白进行仔细分析和文献调研后,十种蛋白质被视为潜在的AD生物标志物,其中五种通过ELISA在AD与对照的血样中得到实验验证,有显著变化,包括凝溶胶蛋白(GSN)、脑源性神经营养因子(BDNF)、金属蛋白酶组织抑制因子1(TIMP1)、极低密度脂蛋白受体(VLDLR)和淀粉样前体蛋白样蛋白2(APLP2)。受试者工作特征(ROC)分析表明,VLDLR和TIMP1在区分AD患者与对照方面表现出色(曲线下面积,AUC分别为0.932和0.903)。通过蛋白质免疫印迹分析对VLDLR和TIMP1的进一步验证证实了ELISA实验所得结果。VLDLR和TIMP1在AD与对照之间具有更好的鉴别能力,可能作为AD潜在的血液生物标志物。据我们所知,这是首次通过计算预测与实验验证相结合来识别AD的血液蛋白质生物标志物。此外,VLDLR在此首次被报道为AD潜在的血液蛋白质生物标志物。因此,我们的研究结果可能为AD的诊断和治疗提供重要信息。

https://cdn.ncbi.nlm.nih.gov/pmc/blobs/530c/6331438/d8b172fc5c62/fneur-09-01158-g0001.jpg

文献AI研究员

20分钟写一篇综述,助力文献阅读效率提升50倍。

立即体验

用中文搜PubMed

大模型驱动的PubMed中文搜索引擎

马上搜索

文档翻译

学术文献翻译模型,支持多种主流文档格式。

立即体验