• 文献检索
  • 文档翻译
  • 深度研究
  • 学术资讯
  • Suppr Zotero 插件Zotero 插件
  • 邀请有礼
  • 套餐&价格
  • 历史记录
应用&插件
Suppr Zotero 插件Zotero 插件浏览器插件Mac 客户端Windows 客户端微信小程序
定价
高级版会员购买积分包购买API积分包
服务
文献检索文档翻译深度研究API 文档MCP 服务
关于我们
关于 Suppr公司介绍联系我们用户协议隐私条款
关注我们

Suppr 超能文献

核心技术专利:CN118964589B侵权必究
粤ICP备2023148730 号-1Suppr @ 2026

文献检索

告别复杂PubMed语法,用中文像聊天一样搜索,搜遍4000万医学文献。AI智能推荐,让科研检索更轻松。

立即免费搜索

文件翻译

保留排版,准确专业,支持PDF/Word/PPT等文件格式,支持 12+语言互译。

免费翻译文档

深度研究

AI帮你快速写综述,25分钟生成高质量综述,智能提取关键信息,辅助科研写作。

立即免费体验

用近红外光谱术测量健康人体局部脑血流容积的相干振荡与全身动脉血压的频率分辨分析。

Frequency-resolved analysis of coherent oscillations of local cerebral blood volume, measured with near-infrared spectroscopy, and systemic arterial pressure in healthy human subjects.

机构信息

Department of Biomedical Engineering, Tufts University, Medford, Massachusetts, United States of America.

出版信息

PLoS One. 2019 Feb 12;14(2):e0211710. doi: 10.1371/journal.pone.0211710. eCollection 2019.

DOI:10.1371/journal.pone.0211710
PMID:30753203
原文链接:https://pmc.ncbi.nlm.nih.gov/articles/PMC6372153/
Abstract

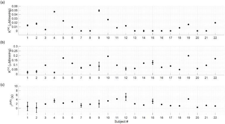
We report a study on twenty-two healthy human subjects of the dynamic relationship between cerebral hemoglobin concentration ([HbT]), measured with near-infrared spectroscopy (NIRS) in the prefrontal cortex, and systemic arterial blood pressure (ABP), measured with finger plethysmography. [HbT] is a measure of local cerebral blood volume (CBV). We induced hemodynamic oscillations at discrete frequencies in the range 0.04-0.20 Hz with cyclic inflation and deflation of pneumatic cuffs wrapped around the subject's thighs. We modeled the transfer function of ABP and [HbT] in terms of effective arterial (K(a)) and venous (K(v)) compliances, and a cerebral autoregulation time constant (τ(AR)). The mean values (± standard errors) of these parameters across the twenty-two subjects were K(a) = 0.01 ± 0.01 μM/mmHg, K(v) = 0.09 ± 0.05 μM/mmHg, and τ(AR) = 2.2 ± 1.3 s. Spatially resolved measurements in a subset of eight subjects reveal a spatial variability of these parameters that may exceed the inter-subject variability at a set location. This study sheds some light onto the role that ABP and cerebral blood flow (CBF) play in the dynamics of [HbT] measured with NIRS, and paves the way for new non-invasive optical studies of cerebral blood flow and cerebral autoregulation.

摘要

我们报告了一项在 22 名健康人体受试者中进行的研究,研究了前额叶皮层近红外光谱(NIRS)测量的脑血红蛋白浓度([HbT])与手指体积描记法测量的系统动脉血压(ABP)之间的动态关系。[HbT]是局部脑血容量(CBV)的度量。我们通过周期性地充气和放气包裹在受试者大腿上的气动袖带,在 0.04-0.20 Hz 的离散频率范围内诱导血流动力学振荡。我们根据有效动脉(K(a))和静脉(K(v))顺应性以及脑自动调节时间常数(τ(AR)),对 ABP 和 [HbT] 的传递函数进行建模。这 22 名受试者的这些参数的平均值(±标准误差)为 K(a)=0.01±0.01μM/mmHg、K(v)=0.09±0.05μM/mmHg 和 τ(AR)=2.2±1.3s。在 8 名受试者的子集的空间分辨测量中,发现这些参数的空间变异性可能超过特定位置的个体间变异性。这项研究揭示了 ABP 和脑血流量(CBF)在 NIRS 测量的 [HbT]动力学中所起的作用,并为新的非侵入性光学脑血流和脑自动调节研究铺平了道路。

https://cdn.ncbi.nlm.nih.gov/pmc/blobs/fabe/6372153/e7246f5a2601/pone.0211710.g010.jpg
https://cdn.ncbi.nlm.nih.gov/pmc/blobs/fabe/6372153/b8a53044ae0a/pone.0211710.g001.jpg
https://cdn.ncbi.nlm.nih.gov/pmc/blobs/fabe/6372153/4c1b738b3588/pone.0211710.g002.jpg
https://cdn.ncbi.nlm.nih.gov/pmc/blobs/fabe/6372153/0dbdf3bdb252/pone.0211710.g003.jpg
https://cdn.ncbi.nlm.nih.gov/pmc/blobs/fabe/6372153/f5e1dae15502/pone.0211710.g004.jpg
https://cdn.ncbi.nlm.nih.gov/pmc/blobs/fabe/6372153/358ade6dfce6/pone.0211710.g005.jpg
https://cdn.ncbi.nlm.nih.gov/pmc/blobs/fabe/6372153/28f4e6dd822c/pone.0211710.g006.jpg
https://cdn.ncbi.nlm.nih.gov/pmc/blobs/fabe/6372153/74d9e0671259/pone.0211710.g007.jpg
https://cdn.ncbi.nlm.nih.gov/pmc/blobs/fabe/6372153/8bc35139ea29/pone.0211710.g008.jpg
https://cdn.ncbi.nlm.nih.gov/pmc/blobs/fabe/6372153/9be81d30ac33/pone.0211710.g009.jpg
https://cdn.ncbi.nlm.nih.gov/pmc/blobs/fabe/6372153/e7246f5a2601/pone.0211710.g010.jpg
https://cdn.ncbi.nlm.nih.gov/pmc/blobs/fabe/6372153/b8a53044ae0a/pone.0211710.g001.jpg
https://cdn.ncbi.nlm.nih.gov/pmc/blobs/fabe/6372153/4c1b738b3588/pone.0211710.g002.jpg
https://cdn.ncbi.nlm.nih.gov/pmc/blobs/fabe/6372153/0dbdf3bdb252/pone.0211710.g003.jpg
https://cdn.ncbi.nlm.nih.gov/pmc/blobs/fabe/6372153/f5e1dae15502/pone.0211710.g004.jpg
https://cdn.ncbi.nlm.nih.gov/pmc/blobs/fabe/6372153/358ade6dfce6/pone.0211710.g005.jpg
https://cdn.ncbi.nlm.nih.gov/pmc/blobs/fabe/6372153/28f4e6dd822c/pone.0211710.g006.jpg
https://cdn.ncbi.nlm.nih.gov/pmc/blobs/fabe/6372153/74d9e0671259/pone.0211710.g007.jpg
https://cdn.ncbi.nlm.nih.gov/pmc/blobs/fabe/6372153/8bc35139ea29/pone.0211710.g008.jpg
https://cdn.ncbi.nlm.nih.gov/pmc/blobs/fabe/6372153/9be81d30ac33/pone.0211710.g009.jpg
https://cdn.ncbi.nlm.nih.gov/pmc/blobs/fabe/6372153/e7246f5a2601/pone.0211710.g010.jpg

相似文献

1
Frequency-resolved analysis of coherent oscillations of local cerebral blood volume, measured with near-infrared spectroscopy, and systemic arterial pressure in healthy human subjects.用近红外光谱术测量健康人体局部脑血流容积的相干振荡与全身动脉血压的频率分辨分析。
PLoS One. 2019 Feb 12;14(2):e0211710. doi: 10.1371/journal.pone.0211710. eCollection 2019.
2
Noninvasive Optical Measurements of Dynamic Cerebral Autoregulation by Inducing Oscillatory Cerebral Hemodynamics.通过诱导振荡性脑血流动力学进行动态脑自动调节的无创光学测量
Front Neurol. 2021 Nov 16;12:745987. doi: 10.3389/fneur.2021.745987. eCollection 2021.
3
Blood-pressure-induced oscillations of deoxy- and oxyhemoglobin concentrations are in-phase in the healthy breast and out-of-phase in the healthy brain.血压引起的脱氧血红蛋白和氧合血红蛋白浓度振荡在健康乳房中是同相的,而在健康大脑中是异相的。
J Biomed Opt. 2016 Oct;21(10):101410. doi: 10.1117/1.JBO.21.10.101410.
4
Depth dependence of coherent hemodynamics in the human head.人脑相干血流动力学的深度依赖性。
J Biomed Opt. 2018 Nov;23(12):1-9. doi: 10.1117/1.JBO.23.12.121615.
5
Reduced speed of microvascular blood flow in hemodialysis patients versus healthy controls: a coherent hemodynamics spectroscopy study.血液透析患者与健康对照者的微血管血流速度降低:一项连贯的血液动力学光谱研究。
J Biomed Opt. 2014 Feb;19(2):026005. doi: 10.1117/1.JBO.19.2.026005.
6
Cerebral autoregulation in the microvasculature measured with near-infrared spectroscopy.用近红外光谱法测量微血管中的脑血流自动调节。
J Cereb Blood Flow Metab. 2015 Jun;35(6):959-66. doi: 10.1038/jcbfm.2015.5. Epub 2015 Feb 11.
7
Practical steps for applying a new dynamic model to near-infrared spectroscopy measurements of hemodynamic oscillations and transient changes: implications for cerebrovascular and functional brain studies.将新动态模型应用于血流动力学振荡和瞬态变化的近红外光谱测量的实际步骤:对脑血管和功能性脑研究的启示
Acad Radiol. 2014 Feb;21(2):185-96. doi: 10.1016/j.acra.2013.10.012.
8
Validation of a stand-alone near-infrared spectroscopy system for monitoring cerebral autoregulation during cardiac surgery.验证一种用于心脏手术期间监测脑自动调节的独立近红外光谱系统。
Anesth Analg. 2013 Jan;116(1):198-204. doi: 10.1213/ANE.0b013e318271fb10. Epub 2012 Dec 7.
9
Wavelet coherence analysis of spontaneous oscillations in cerebral tissue oxyhemoglobin concentrations and arterial blood pressure in elderly subjects.老年受试者脑组织氧合血红蛋白浓度与动脉血压自发振荡的小波相干分析
Microvasc Res. 2014 May;93:14-20. doi: 10.1016/j.mvr.2014.02.008. Epub 2014 Mar 2.
10
Analysis of prefrontal cerebral blood volume and flow changes in ESKD patients undergoing hemodialysis using functional near-infrared spectroscopy.采用功能近红外光谱技术分析接受血液透析的终末期肾病患者前额叶脑血容量和血流变化。
Ren Fail. 2024 Dec;46(2):2387426. doi: 10.1080/0886022X.2024.2387426. Epub 2024 Aug 13.

引用本文的文献

1
Effects of high-intensity interval training in a cold environment on arterial stiffness and cerebral hemodynamics in sedentary Chinese college female students post-COVID-19.寒冷环境下高强度间歇训练对新冠康复后久坐不动的中国女大学生动脉僵硬度和脑血流动力学的影响
Front Neurol. 2024 Nov 5;15:1466549. doi: 10.3389/fneur.2024.1466549. eCollection 2024.
2
Comparative analysis of the effects of the computer-based and paper-based trail making tests on oxygenation in the prefrontal cortex.基于计算机和纸质的连线测试对前额叶皮层氧合作用影响的对比分析。
BMC Neurosci. 2024 Aug 26;25(1):39. doi: 10.1186/s12868-024-00886-9.
3

本文引用的文献

1
The meaning of "coherent" and its quantification in coherent hemodynamics spectroscopy.“相干”在相干血液动力学光谱学中的含义及其量化。
J Innov Opt Health Sci. 2018 Nov;11(6). doi: 10.1142/S1793545818500360. Epub 2018 Sep 27.
2
Depth dependence of coherent hemodynamics in the human head.人脑相干血流动力学的深度依赖性。
J Biomed Opt. 2018 Nov;23(12):1-9. doi: 10.1117/1.JBO.23.12.121615.
3
Single-source PPG-based local pulse wave velocity measurement: a potential cuffless blood pressure estimation technique.基于单源 PPG 的局部脉搏波速度测量:一种潜在的无袖带血压估计技术。
Spatial-Temporal Oxygenation Mapping Using a Near-Infrared Optical Scanner: Towards Peripheral Vascular Imaging.
利用近红外光学扫描仪进行时空氧合映射:实现外周血管成像。
Ann Biomed Eng. 2023 Sep;51(9):2035-2047. doi: 10.1007/s10439-023-03229-7. Epub 2023 May 18.
4
Human-in-the-Loop Optimization of Transcranial Electrical Stimulation at the Point of Care: A Computational Perspective.即时医疗环境下经颅电刺激的人在回路优化:计算视角
Brain Sci. 2022 Sep 26;12(10):1294. doi: 10.3390/brainsci12101294.
5
Noninvasive Optical Measurements of Dynamic Cerebral Autoregulation by Inducing Oscillatory Cerebral Hemodynamics.通过诱导振荡性脑血流动力学进行动态脑自动调节的无创光学测量
Front Neurol. 2021 Nov 16;12:745987. doi: 10.3389/fneur.2021.745987. eCollection 2021.
6
Intermittent Sequential Pneumatic Compression Improves Coupling between Cerebral Oxyhaemoglobin and Arterial Blood Pressure in Patients with Cerebral Infarction.间歇性序贯气压式压迫可改善脑梗死患者脑氧合血红蛋白与动脉血压之间的耦合。
Biology (Basel). 2021 Sep 4;10(9):869. doi: 10.3390/biology10090869.
7
Signal regression in frequency-domain diffuse optical tomography to remove superficial signal contamination.频域扩散光学层析成像中的信号回归以去除表面信号污染。
Neurophotonics. 2021 Jan;8(1):015013. doi: 10.1117/1.NPh.8.1.015013. Epub 2021 Mar 31.
8
Diffuse optical assessment of cerebral-autoregulation in older adults stratified by cerebrovascular risk.基于脑血管风险对老年人脑自动调节的弥散光学评估。
J Biophotonics. 2020 Oct;13(10):e202000073. doi: 10.1002/jbio.202000073. Epub 2020 Jul 26.
9
Dual-slope method for enhanced depth sensitivity in diffuse optical spectroscopy.用于增强漫射光学光谱深度灵敏度的双斜率方法。
J Opt Soc Am A Opt Image Sci Vis. 2019 Oct 1;36(10):1743-1761. doi: 10.1364/JOSAA.36.001743.
10
Method to improve the depth sensitivity of diffuse reflectance measurements to absorption changes in optically turbid medium.提高漫反射测量对光学混浊介质中吸收变化的深度敏感性的方法。
Biomed Opt Express. 2019 Sep 11;10(10):5031-5041. doi: 10.1364/BOE.10.005031. eCollection 2019 Oct 1.
Physiol Meas. 2017 Nov 30;38(12):2122-2140. doi: 10.1088/1361-6579/aa9550.
4
A model of blood supply to the brain via the carotid arteries: Effects of obstructive vs. sclerotic changes.一种通过颈动脉向大脑供血的模型:阻塞性与硬化性改变的影响。
Med Eng Phys. 2017 Nov;49:121-130. doi: 10.1016/j.medengphy.2017.08.009. Epub 2017 Sep 13.
5
Noninvasive optical monitoring of critical closing pressure and arteriole compliance in human subjects.人体受试者临界关闭压和小动脉顺应性的无创光学监测。
J Cereb Blood Flow Metab. 2017 Aug;37(8):2691-2705. doi: 10.1177/0271678X17709166. Epub 2017 May 25.
6
Cerebral Autoregulation-oriented Therapy at the Bedside: A Comprehensive Review.床边脑自动调节导向治疗:综述
Anesthesiology. 2017 Jun;126(6):1187-1199. doi: 10.1097/ALN.0000000000001625.
7
Regulation of the cerebral circulation: bedside assessment and clinical implications.脑循环的调节:床旁评估及临床意义
Crit Care. 2016 May 5;20(1):129. doi: 10.1186/s13054-016-1293-6.
8
Blood-pressure-induced oscillations of deoxy- and oxyhemoglobin concentrations are in-phase in the healthy breast and out-of-phase in the healthy brain.血压引起的脱氧血红蛋白和氧合血红蛋白浓度振荡在健康乳房中是同相的,而在健康大脑中是异相的。
J Biomed Opt. 2016 Oct;21(10):101410. doi: 10.1117/1.JBO.21.10.101410.
9
Wavelet coherence analysis of dynamic cerebral autoregulation in neonatal hypoxic-ischemic encephalopathy.新生儿缺氧缺血性脑病中动态脑自动调节的小波相干分析
Neuroimage Clin. 2016 Jan 25;11:124-132. doi: 10.1016/j.nicl.2016.01.020. eCollection 2016.
10
Transfer function analysis of dynamic cerebral autoregulation: A white paper from the International Cerebral Autoregulation Research Network.动态脑自动调节的传递函数分析:国际脑自动调节研究网络白皮书
J Cereb Blood Flow Metab. 2016 Apr;36(4):665-80. doi: 10.1177/0271678X15626425. Epub 2016 Jan 18.