Suppr超能文献

利用肩突硬蜱的被动监测作为早期信号来检测莱姆病高危市/县:加拿大的一个省级指标。

Detection of municipalities at-risk of Lyme disease using passive surveillance of Ixodes scapularis as an early signal: A province-specific indicator in Canada.

机构信息

Policy Integration and Zoonoses Division, Centre for Food-borne, Environmental and Zoonotic Infectious Diseases, Public Health Agency of Canada, Saint-Hyacinthe, Québec, Canada.

Groupe de recherche en épidémiologie des zoonoses et santé publique, Faculty of Veterinary Medicine, University of Montréal, Saint-Hyacinthe, Québec, Canada.

出版信息

PLoS One. 2019 Feb 19;14(2):e0212637. doi: 10.1371/journal.pone.0212637. eCollection 2019.

Abstract

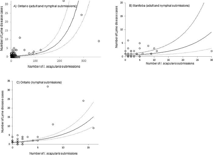
Lyme disease, the most commonly reported vector-borne disease in North America, is caused by the spirochete Borrelia burgdorferi sensu stricto, which is transmitted by Ixodes scapularis in eastern Canada and Ixodes pacificus in western Canada. Recently, the northward range expansion of I. scapularis ticks, in south-eastern Canada, has resulted in a dramatic increase in the incidence of human Lyme disease. Detecting emerging areas of Lyme disease risk allows public health to target disease prevention efforts. We analysed passive tick surveillance data from Ontario and Manitoba to i) assess the relationship between the total numbers of I. scapularis submissions in passive surveillance from humans, and the number of human Lyme disease cases, and ii) develop province-specific acarological indicators of risk that can be used to generate surveillance-based risk maps. We also assessed associations between numbers of nymphal I. scapularis tick submissions only and Lyme disease case incidence. Using General Estimating Equation regression, the relationship between I. scapularis submissions (total numbers and numbers of nymphs only) in each census sub-division (CSD) and the number of reported Lyme disease cases was positively correlated and highly significant in the two provinces (P ≤ 0.001). The numbers of I. scapularis submissions over five years discriminated CSDs with ≥ 3 Lyme disease cases from those with < 3 cases with high accuracy when using total numbers of tick submission (Receiver Operating Characteristics area under the curve [AUC] = 0.89) and moderate accuracy (AUC = 0.78) when using nymphal tick submissions only. In Ontario the optimal cut-off point was a total 12 tick submissions from a CSD over five years (Sensitivity = 0.82, Specificity = 0.84), while in Manitoba the cut-off point was five ticks (Sensitivity = 0.71, Specificity = 0.79) suggesting regional variability of the risk of acquiring Lyme disease from an I. scapularis bite. The performances of the acarological indicators developed in this study for Ontario and Manitoba support the ability of passive tick surveillance to provide an early signal of the existence Lyme disease risk areas in regions where ticks and the pathogens they transmit are expanding their range.

摘要

莱姆病是北美最常见的虫媒传染病,由伯氏疏螺旋体严格意义上引起,在加拿大东部由肩突硬蜱传播,在加拿大西部由太平洋硬蜱传播。最近,加拿大东南部肩突硬蜱的分布范围向北扩展,导致人类莱姆病的发病率显著增加。检测莱姆病风险的新兴区域可以使公共卫生部门有针对性地开展疾病预防工作。我们分析了安大略省和马尼托巴省的被动蜱监测数据,以:i)评估人类被动监测中肩突硬蜱总数与人类莱姆病病例数之间的关系,以及 ii)制定可用于生成基于监测的风险图的特定省份的节肢动物风险指标。我们还评估了仅幼蜱数量与莱姆病病例发病率之间的相关性。使用广义估计方程回归,在这两个省份,每个普查分区(CSD)的肩突硬蜱提交数量(总数和仅幼蜱数量)与报告的莱姆病病例数之间的关系呈正相关且具有高度显著性(P≤0.001)。五年内肩突硬蜱提交数量可准确区分有≥3 例莱姆病病例的 CSD 与<3 例莱姆病病例的 CSD,使用总蜱提交数量时,其判别准确性较高(接收者操作特征曲线下面积 [AUC] = 0.89),仅使用幼蜱提交数量时,其判别准确性适中(AUC = 0.78)。在安大略省,最佳截断点为五年内一个 CSD 的总 12 个蜱提交(敏感性 = 0.82,特异性 = 0.84),而在马尼托巴省,截断点为 5 个蜱(敏感性 = 0.71,特异性 = 0.79),表明从肩突硬蜱叮咬中获得莱姆病的风险存在区域性差异。本研究为安大略省和马尼托巴省开发的节肢动物指标的性能支持被动蜱监测有能力在蜱虫及其传播病原体的范围不断扩大的地区提供早期的莱姆病风险区域存在的信号。

https://cdn.ncbi.nlm.nih.gov/pmc/blobs/83f6/6380584/b8fa007d7721/pone.0212637.g001.jpg

文献AI研究员

20分钟写一篇综述,助力文献阅读效率提升50倍。

立即体验

用中文搜PubMed

大模型驱动的PubMed中文搜索引擎

马上搜索

文档翻译

学术文献翻译模型,支持多种主流文档格式。

立即体验