Yang Shengfeng, Wan Haitao, Wang Rui, Hao Daijun
Qingdao Tumor Hospital, Qingdao, China.
PeerJ. 2019 Feb 19;7:e6409. doi: 10.7717/peerj.6409. eCollection 2019.
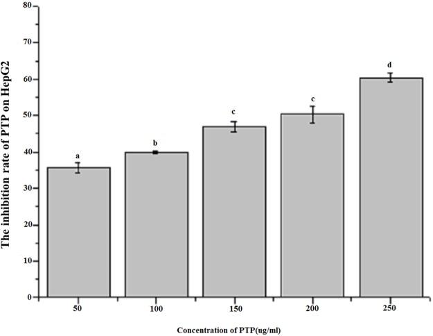
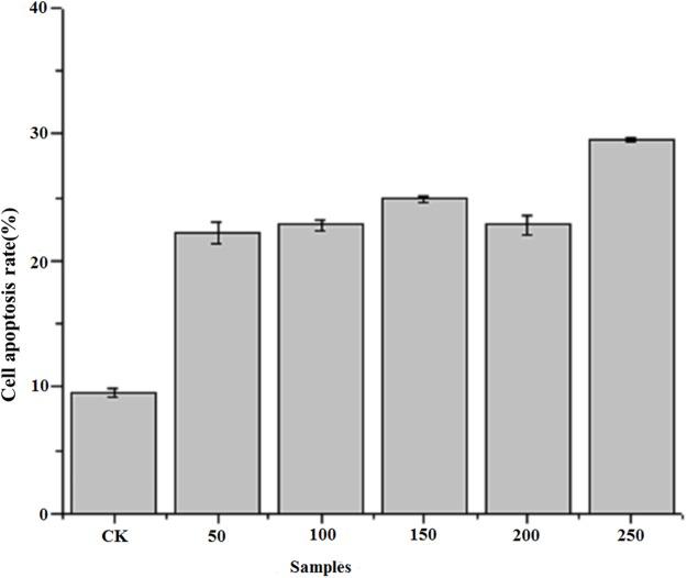
Microalgae, eukaryotic unicellular plants, are increasing in demand due to their use as nutraceutical and food supplements. They consisted different kinds of biologically active components such as polysaccharides. On the other hand, cancer is the leading cause of death globally. At present, there is no efficient method to cure it. Therefore, in this work, we extracted polysaccharides from (PTP), characterized the chemical composition and structure, and investigated its anticancer activity on HepG2 cells. The results showed that PTP was a sulfated polysaccharide with a high Mw of 4,810 kDa, and xylose, fucose, glucose and galactose were the main monosaccharides. PTP has significant anticancer activity in a dose-dependent manner (up to 60.37% at 250 ug/mL) according to MTT assays. Furthermore, cycle analysis was carried out to explain its anticancer activity. The results showed that it exhibited anticancer effect mainly through the induction of apoptosis without affecting the cycle and mitosis of HepG2 cells. This might make it a potential drug for anticancer treatment in the future.
微藻是真核单细胞植物,由于其作为营养保健品和食品补充剂的用途,其需求正在增加。它们含有不同种类的生物活性成分,如多糖。另一方面,癌症是全球主要的死亡原因。目前,没有有效的治疗方法。因此,在这项工作中,我们从(此处原文缺失具体藻类名称)中提取了多糖(PTP),对其化学成分和结构进行了表征,并研究了其对肝癌细胞HepG2的抗癌活性。结果表明,PTP是一种硫酸化多糖,分子量高达4810 kDa,木糖、岩藻糖、葡萄糖和半乳糖是主要的单糖。根据MTT分析,PTP具有显著的剂量依赖性抗癌活性(在250μg/mL时高达60.37%)。此外,进行了周期分析以解释其抗癌活性。结果表明,它主要通过诱导细胞凋亡发挥抗癌作用,而不影响HepG2细胞的周期和有丝分裂。这可能使其成为未来抗癌治疗的潜在药物。