• 文献检索
  • 文档翻译
  • 深度研究
  • 学术资讯
  • Suppr Zotero 插件Zotero 插件
  • 邀请有礼
  • 套餐&价格
  • 历史记录
应用&插件
Suppr Zotero 插件Zotero 插件浏览器插件Mac 客户端Windows 客户端微信小程序
定价
高级版会员购买积分包购买API积分包
服务
文献检索文档翻译深度研究API 文档MCP 服务
关于我们
关于 Suppr公司介绍联系我们用户协议隐私条款
关注我们

Suppr 超能文献

核心技术专利:CN118964589B侵权必究
粤ICP备2023148730 号-1Suppr @ 2026

文献检索

告别复杂PubMed语法,用中文像聊天一样搜索,搜遍4000万医学文献。AI智能推荐,让科研检索更轻松。

立即免费搜索

文件翻译

保留排版,准确专业,支持PDF/Word/PPT等文件格式,支持 12+语言互译。

免费翻译文档

深度研究

AI帮你快速写综述,25分钟生成高质量综述,智能提取关键信息,辅助科研写作。

立即免费体验

运动员和非运动员在侧跳中膝关节的动态控制和运动策略:对膝关节损伤的影响。

Dynamic knee control and movement strategies in athletes and non-athletes in side hops: Implications for knee injury.

机构信息

Department of Community Medicine and Rehabilitation, Physiotherapy, Umeå University, Umeå, Sweden.

Department of Radiation Sciences, Biomedical Engineering and Physics, Umeå University, Umeå, Sweden.

出版信息

Scand J Med Sci Sports. 2019 Aug;29(8):1181-1189. doi: 10.1111/sms.13432. Epub 2019 Apr 25.

DOI:10.1111/sms.13432
PMID:30972848
原文链接:https://pmc.ncbi.nlm.nih.gov/articles/PMC6850355/
Abstract

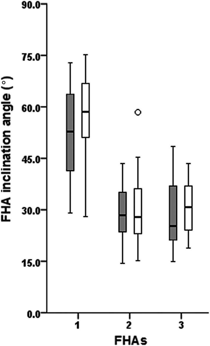
Athletes exposed to rapid maneuvers need a high level of dynamic knee stability and robustness, while also controlling whole body movement, to decrease the risk of non-contact knee injury. The effects of high-level athletic training on such measures of movement control have not, however, been thoroughly evaluated. This study investigated whether elite athletes (who regularly perform knee-specific neuromuscular training) show greater dynamic knee robustness and/or different movement strategies than non-athletic controls, in relation to overall knee function. Thirty-nine women (19 athletes, 20 controls) performed standardized rebound side hops (SRSH) while a motion capture system synchronized with two force plates registered three-dimensional trunk, hip, and knee joint angles and moments. Dynamic knee robustness was evaluated using finite helical axis (FHA) inclination angles extracted from knee rotation intervals of 10°, analyzed with independent t tests. Angle and moment curves were analyzed with inferential methods for functional data. Athletes had superior knee function (less laxity, greater hop performances, and strength) but presented similar FHA inclination angles to controls. Movement strategies during the landing phase differed; athletes presented larger (a) hip flexion angles (during 9%-29% of the phase), (b) hip adduction moments (59%-99%), (c) hip internal rotation moments (83%-89%), and (d) knee flexion moments (79%-93%). Thus, elite athletes may have a greater ability than non-athletes to keep the knee robust while performing SRSH more efficiently through increased engagement of the hip. However, dynamic knee robustness associated with lower FHA inclination angles still show room for improvement, thus possibly decreasing knee injury risk.

摘要

运动员在进行快速动作时需要高水平的动态膝关节稳定性和鲁棒性,同时还需要控制全身运动,以降低非接触性膝关节损伤的风险。然而,高强度运动训练对这些运动控制措施的影响尚未得到彻底评估。本研究旨在调查与整体膝关节功能相关的情况下,精英运动员(经常进行膝关节特定神经肌肉训练)是否表现出更大的动态膝关节鲁棒性和/或不同的运动策略,而非竞技对照组。39 名女性(19 名运动员,20 名对照组)在同步进行三维运动捕捉系统和两个测力板的反弹侧跳(SRSH)中,进行标准化反弹侧跳(SRSH)。使用从膝关节旋转间隔 10°提取的有限螺旋轴(FHA)倾斜角评估动态膝关节鲁棒性,并通过独立 t 检验进行分析。角度和力矩曲线使用功能数据的推断方法进行分析。运动员的膝关节功能更好(更松弛、更好的跳跃表现和力量),但 FHA 倾斜角与对照组相似。在着陆阶段的运动策略不同;运动员的髋关节屈曲角度更大(在阶段的 9%-29%期间)、髋关节内收力矩更大(59%-99%)、髋关节内旋力矩更大(83%-89%)和膝关节屈曲力矩更大(79%-93%)。因此,与非运动员相比,精英运动员在进行 SRSH 时可能具有更大的保持膝关节鲁棒性的能力,同时通过增加髋关节的参与度更有效地完成运动。然而,与较低 FHA 倾斜角相关的动态膝关节鲁棒性仍有改进的空间,从而可能降低膝关节损伤的风险。

https://cdn.ncbi.nlm.nih.gov/pmc/blobs/0217/6850355/3b4264aa43e2/SMS-29-1181-g003.jpg
https://cdn.ncbi.nlm.nih.gov/pmc/blobs/0217/6850355/e74e40c0b954/SMS-29-1181-g001.jpg
https://cdn.ncbi.nlm.nih.gov/pmc/blobs/0217/6850355/cf75c6e49ab1/SMS-29-1181-g002.jpg
https://cdn.ncbi.nlm.nih.gov/pmc/blobs/0217/6850355/3b4264aa43e2/SMS-29-1181-g003.jpg
https://cdn.ncbi.nlm.nih.gov/pmc/blobs/0217/6850355/e74e40c0b954/SMS-29-1181-g001.jpg
https://cdn.ncbi.nlm.nih.gov/pmc/blobs/0217/6850355/cf75c6e49ab1/SMS-29-1181-g002.jpg
https://cdn.ncbi.nlm.nih.gov/pmc/blobs/0217/6850355/3b4264aa43e2/SMS-29-1181-g003.jpg

相似文献

1
Dynamic knee control and movement strategies in athletes and non-athletes in side hops: Implications for knee injury.运动员和非运动员在侧跳中膝关节的动态控制和运动策略:对膝关节损伤的影响。
Scand J Med Sci Sports. 2019 Aug;29(8):1181-1189. doi: 10.1111/sms.13432. Epub 2019 Apr 25.
2
Individuals With an Anterior Cruciate Ligament-Reconstructed Knee Display Atypical Whole Body Movement Strategies but Normal Knee Robustness During Side-Hop Landings: A Finite Helical Axis Analysis.前交叉韧带重建膝关节患者在侧跳落地时表现出非典型的全身运动策略,但膝关节稳定性正常:有限螺旋轴线分析。
Am J Sports Med. 2020 Apr;48(5):1117-1126. doi: 10.1177/0363546520910428. Epub 2020 Mar 13.
3
Comparison of lateral shuffle and side-step cutting in young recreational athletes.年轻休闲运动员侧向拖步与侧步切入的比较。
Gait Posture. 2016 Feb;44:189-93. doi: 10.1016/j.gaitpost.2015.12.019. Epub 2015 Dec 21.
4
Side-hops challenge knee control in the frontal and transversal plane more than hops for distance or height among ACL-reconstructed individuals.在ACL重建个体中,侧向跳跃比跳远或跳高对膝关节在额状面和横断面的控制挑战更大。
Sports Biomech. 2023 Jan;22(1):142-159. doi: 10.1080/14763141.2020.1869296. Epub 2021 Feb 15.
5
Different exercise training interventions and drop-landing biomechanics in high school female athletes.不同的运动训练干预措施和高中女运动员的落地生物力学。
J Athl Train. 2013 Jul-Aug;48(4):450-62. doi: 10.4085/1062-6050-48.4.06. Epub 2013 Jun 14.
6
Effects of Prophylactic Knee Bracing on Lower Limb Kinematics, Kinetics, and Energetics During Double-Leg Drop Landing at 2 Heights.预防性膝关节支具对在两个高度进行双腿下落着地时下肢运动学、动力学和能量学的影响。
Am J Sports Med. 2016 Jul;44(7):1753-61. doi: 10.1177/0363546516637178. Epub 2016 Apr 13.
7
ACL-reconstructed and ACL-deficient individuals show differentiated trunk, hip, and knee kinematics during vertical hops more than 20 years post-injury.ACL 重建和 ACL 缺失的个体在受伤后 20 多年的垂直跳跃中表现出不同的躯干、臀部和膝关节运动学。
Knee Surg Sports Traumatol Arthrosc. 2018 Feb;26(2):358-367. doi: 10.1007/s00167-017-4528-4. Epub 2017 Mar 23.
8
Effects of 16 weeks of plyometric training on knee biomechanics during the landing phase in athletes.16 周增强式训练对运动员落地阶段膝关节生物力学的影响。
Eur J Sport Sci. 2024 Aug;24(8):1095-1109. doi: 10.1002/ejsc.12174. Epub 2024 Jul 18.
9
Age-Dependent Patellofemoral Pain: Hip and Knee Risk Landing Profiles in Prepubescent and Postpubescent Female Athletes.年龄相关性髌股疼痛:青春期前和青春期后女性运动员的髋膝风险着陆特征。
Am J Sports Med. 2018 Sep;46(11):2761-2771. doi: 10.1177/0363546518788343. Epub 2018 Aug 9.
10
Female recreational athletes demonstrate different knee biomechanics from male counterparts during jumping rope and turning activities.女性休闲运动员在跳绳和转向活动中表现出与男性不同的膝盖生物力学特征。
J Orthop Sci. 2014 Jan;19(1):104-11. doi: 10.1007/s00776-013-0483-1. Epub 2013 Oct 17.

引用本文的文献

1
Study on stability differences in heel kick movements of Tai Chi athletes based on statistical parametric mapping.基于统计参数映射的太极拳运动员蹬脚跟动作稳定性差异研究
Front Physiol. 2025 Aug 29;16:1629653. doi: 10.3389/fphys.2025.1629653. eCollection 2025.
2
Effects of sliding techniques on lower limb biomechanics and muscle synergy during curling delivery: a focus on joint kinetics and muscle coordination.滑行技术对冰壶投壶过程中下肢生物力学和肌肉协同作用的影响:聚焦于关节动力学和肌肉协调性。
Front Hum Neurosci. 2025 Jun 27;19:1587118. doi: 10.3389/fnhum.2025.1587118. eCollection 2025.
3
Modelling of ankle joint range of motion and landing quality scores in female soccer players with quantile regression approach.

本文引用的文献

1
A novel standardised side hop test reliably evaluates landing mechanics for anterior cruciate ligament reconstructed persons and controls.一种新型标准化侧跳测试能够可靠地评估前交叉韧带重建患者和对照组的落地力学情况。
Sports Biomech. 2021 Mar;20(2):213-229. doi: 10.1080/14763141.2018.1538385. Epub 2018 Dec 10.
2
Change-of-Direction Biomechanics: Is What's Best for Anterior Cruciate Ligament Injury Prevention Also Best for Performance?变向生物力学:预防前交叉韧带损伤的最佳方法是否也最有利于表现?
Sports Med. 2018 Aug;48(8):1799-1807. doi: 10.1007/s40279-018-0931-3.
3
Curve analyses reveal altered knee, hip, and trunk kinematics during drop-jumps long after anterior cruciate ligament rupture.
采用分位数回归方法对女足运动员踝关节活动范围和落地质量得分进行建模。
PLoS One. 2025 Jun 5;20(6):e0325180. doi: 10.1371/journal.pone.0325180. eCollection 2025.
4
Biomechanical Analysis After Anterior Cruciate Ligament Reconstruction at the Return-to-Sport Time Point.前交叉韧带重建术后恢复运动时间点的生物力学分析
Orthop J Sports Med. 2025 May 27;13(5):23259671251340302. doi: 10.1177/23259671251340302. eCollection 2025 May.
5
Identifying special operative trainees at-risk for musculoskeletal injury using full body kinematics.利用全身运动学识别有肌肉骨骼损伤风险的特种作战学员。
Front Bioeng Biotechnol. 2023 Dec 6;11:1293923. doi: 10.3389/fbioe.2023.1293923. eCollection 2023.
6
Wearable Sensors and Smart Devices to Monitor Rehabilitation Parameters and Sports Performance: An Overview.可穿戴传感器和智能设备监测康复参数和运动表现:概述。
Sensors (Basel). 2023 Feb 7;23(4):1856. doi: 10.3390/s23041856.
7
Is the Rotatory Knee Stability Immediately Decreased Following a Competitive Soccer Match?在一场足球比赛后,旋转膝关节稳定性会立即下降吗?
Front Bioeng Biotechnol. 2022 Jul 22;10:903131. doi: 10.3389/fbioe.2022.903131. eCollection 2022.
8
A Minority of Athletes Pass Symmetry Criteria in a Series of Hop and Strength Tests Irrespective of Having an ACL Reconstructed Knee or Being Noninjured.少数运动员在一系列跳跃和力量测试中通过了对称性标准,无论他们的 ACL 是否重建或是否受伤。
Sports Health. 2023 Jan-Feb;15(1):45-51. doi: 10.1177/19417381221097949. Epub 2022 Jun 27.
9
Unsupervised Clustering Techniques Identify Movement Strategies in the Countermovement Jump Associated With Musculoskeletal Injury Risk During US Marine Corps Officer Candidates School.无监督聚类技术识别美国海军陆战队军官候选学校中与肌肉骨骼损伤风险相关的反向跳跃运动策略。
Front Physiol. 2022 May 11;13:868002. doi: 10.3389/fphys.2022.868002. eCollection 2022.
10
Recovery, Rehabilitation, and Return to Full Duty in a Military Population After a Recent Injury: Differences Between Lower-Extremity and Spine Injuries.近期受伤后军人的恢复、康复及重返全勤:下肢损伤与脊柱损伤的差异
Arthrosc Sports Med Rehabil. 2022 Jan 28;4(1):e17-e27. doi: 10.1016/j.asmr.2021.09.028. eCollection 2022 Jan.
曲线分析显示,在前交叉韧带断裂很久之后的单腿下蹲跳过程中,膝关节、髋关节和躯干的运动学发生了改变。
Knee. 2018 Mar;25(2):226-239. doi: 10.1016/j.knee.2017.12.005. Epub 2018 Mar 7.
4
Knee Abduction Affects Greater Magnitude of Change in ACL and MCL Strains Than Matched Internal Tibial Rotation In Vitro.在体外实验中,膝关节外展对前交叉韧带(ACL)和内侧副韧带(MCL)应变变化幅度的影响大于匹配的胫骨内旋。
Clin Orthop Relat Res. 2017 Oct;475(10):2385-2396. doi: 10.1007/s11999-017-5367-9.
5
Effectiveness of Neuromuscular Training Based on the Neuromuscular Risk Profile.基于神经肌肉风险评估的神经肌肉训练的有效性
Am J Sports Med. 2017 Jul;45(9):2142-2147. doi: 10.1177/0363546517700128. Epub 2017 Apr 25.
6
Preventive Biomechanics: A Paradigm Shift With a Translational Approach to Injury Prevention.预防性生物力学:一种采用转化方法预防损伤的范式转变。
Am J Sports Med. 2017 Sep;45(11):2654-2664. doi: 10.1177/0363546516686080. Epub 2017 Feb 15.
7
Do Patients Failing Return-to-Activity Criteria at 6 Months After Anterior Cruciate Ligament Reconstruction Continue Demonstrating Deficits at 2 Years?前交叉韧带重建术后6个月未达恢复活动标准的患者在2年时是否仍存在功能缺陷?
Am J Sports Med. 2017 Apr;45(5):1037-1048. doi: 10.1177/0363546516680619. Epub 2016 Dec 21.
8
Restricted Hip Rotation Is Correlated With an Increased Risk for Anterior Cruciate Ligament Injury.髋关节旋转受限与前交叉韧带损伤风险增加相关。
Arthroscopy. 2017 Feb;33(2):317-325. doi: 10.1016/j.arthro.2016.08.014. Epub 2016 Nov 10.
9
Critical components of neuromuscular training to reduce ACL injury risk in female athletes: meta-regression analysis.减少女性运动员前交叉韧带损伤风险的神经肌肉训练的关键组成部分:元回归分析
Br J Sports Med. 2016 Oct;50(20):1259-1266. doi: 10.1136/bjsports-2015-095596. Epub 2016 Jun 1.
10
Strain Response of the Anterior Cruciate Ligament to Uniplanar and Multiplanar Loads During Simulated Landings: Implications for Injury Mechanism.模拟着陆过程中前交叉韧带对单平面和多平面负荷的应变响应:对损伤机制的启示
Am J Sports Med. 2016 Aug;44(8):2087-96. doi: 10.1177/0363546516640499. Epub 2016 Apr 13.