Suppr超能文献

宿主体内竞争的结果表明,在粘孢子虫模型系统中,寄生虫的毒力并不等同于其生存能力。

Outcome of within-host competition demonstrates that parasite virulence doesn't equal success in a myxozoan model system.

作者信息

Hurst C N, Alexander J D, Dolan B P, Jia L, Bartholomew J L

机构信息

Department of Microbiology, Oregon State University, Corvallis, USA.

出版信息

Int J Parasitol Parasites Wildl. 2019 Mar 18;9:25-35. doi: 10.1016/j.ijppaw.2019.03.008. eCollection 2019 Aug.

Abstract

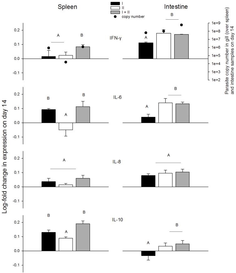
Within-host competition can affect outcomes of infections when parasites occupy the same niche. We investigated within-host competition and infection outcomes in Chinook salmon exposed to two genotypes of (myxozoan parasite). We assessed i) virulence (host mortality, median days to death), ii) within-host competition (abundance in host), and iii) success (spore production, proportion of myxospore-producing hosts) following concurrent and sequential exposures to single or mixed-genotype treatments. In single treatments, genotype-I replicated faster, and caused higher and earlier host mortality (higher virulence) but genotype-II produced more myxospores (higher success). In mixed treatments, costs of competition were observed for both genotypes evidenced by reduced replication or myxospore production following concurrent exposures, but only the less-virulent genotype suffered costs of competition when hosts were exposed to genotypes sequentially. To understand potential host effects on competition outcomes, we characterized systemic (spleen) and local (intestine) cytokine and immunoglobulin expression in single and mixed infections. We observed delayed systemic and immunosuppressive responses to the virulent genotype (I), rapid, localized and non-suppressive responses to the less-virulent genotype (II), and a combination of responses to mixed-genotypes. Thus, competition outcomes favoring the virulent genotype may be partially explained by the localized response to genotype-II that facilitates myxospore production (success) offsetting the systemic response to genotype-I that results in early inflammation and immunosuppression (that increases onset of mortality). This evidence for different but simultaneous responses to each genotype suggests selection should favor the exclusion of the weaker competitor and the evolution of increased virulence in the stronger competitor because the outcome was generally more costly for the less-virulent genotype. With caveats, our results are relevant for understanding infection outcomes in commercially and ecologically important salmonids in endemic regions where mixed infections are commonplace.

摘要

当寄生虫占据相同生态位时,宿主体内的竞争会影响感染结果。我们研究了暴露于两种基因型(粘孢子虫寄生虫)的奇努克鲑体内的竞争和感染结果。我们评估了:i)毒力(宿主死亡率、死亡中位数天数),ii)宿主体内竞争(宿主体内的丰度),以及iii)在同时和先后暴露于单一基因型或混合基因型处理后的成功率(孢子产生、产生粘孢子的宿主比例)。在单一处理中,基因型I复制更快,导致更高且更早的宿主死亡率(更高的毒力),但基因型II产生更多的粘孢子(更高的成功率)。在混合处理中,两种基因型都观察到了竞争成本,这表现为同时暴露后复制或粘孢子产生减少,但只有毒性较小的基因型在宿主先后暴露于不同基因型时会承受竞争成本。为了了解宿主对竞争结果的潜在影响,我们对单一感染和混合感染中的全身(脾脏)和局部(肠道)细胞因子及免疫球蛋白表达进行了表征。我们观察到对毒性较强的基因型(I)有延迟的全身和免疫抑制反应,对毒性较弱的基因型(II)有快速、局部且非抑制性的反应,以及对混合基因型的综合反应。因此,有利于毒性较强基因型的竞争结果可能部分是由于对基因型II的局部反应促进了粘孢子产生(成功率),抵消了对基因型I的全身反应,后者导致早期炎症和免疫抑制(增加死亡率的发生)。对每种基因型不同但同时发生的反应的这一证据表明,选择应有利于排除较弱的竞争者,并使较强的竞争者的毒力增加,因为对于毒性较弱的基因型来说,结果通常代价更高。需要说明但有所保留的是,我们的结果对于理解在混合感染很常见的流行地区,具有商业和生态重要性的鲑科鱼类的感染结果具有参考价值。

https://cdn.ncbi.nlm.nih.gov/pmc/blobs/eeba/6441732/11163dbc4ee0/fx1.jpg

文献检索

告别复杂PubMed语法,用中文像聊天一样搜索,搜遍4000万医学文献。AI智能推荐,让科研检索更轻松。

立即免费搜索

文件翻译

保留排版,准确专业,支持PDF/Word/PPT等文件格式,支持 12+语言互译。

免费翻译文档

深度研究

AI帮你快速写综述,25分钟生成高质量综述,智能提取关键信息,辅助科研写作。

立即免费体验