Obesity Research Group, Department of Cancer Research and Molecular Medicine, Faculty of Medicine, Norwegian University of Science and Technology (NTNU), Trondheim, Norway.
Clinic of Surgery, Nord-Trøndelag Hospital Trust, Namsos Hospital, Namsos, Norway.
Obesity (Silver Spring). 2019 Jun;27(6):925-931. doi: 10.1002/oby.22476. Epub 2019 Apr 20.
This study aimed to assess whether changes in resting metabolic rate (RMR), exercise-induced energy expenditure (EIEE), and appetite following weight loss (WL) are associated with weight regain at 1 year.
Thirty-six adults with obesity underwent 8 weeks of a very-low-energy diet, followed by 4 weeks of refeeding and a 1-year maintenance program. RMR, EIEE, appetite ratings, and active ghrelin, peptide YY, glucagon-like peptide-1, cholecystokinin, and insulin concentrations were measured at baseline, week 13, and 1 year.
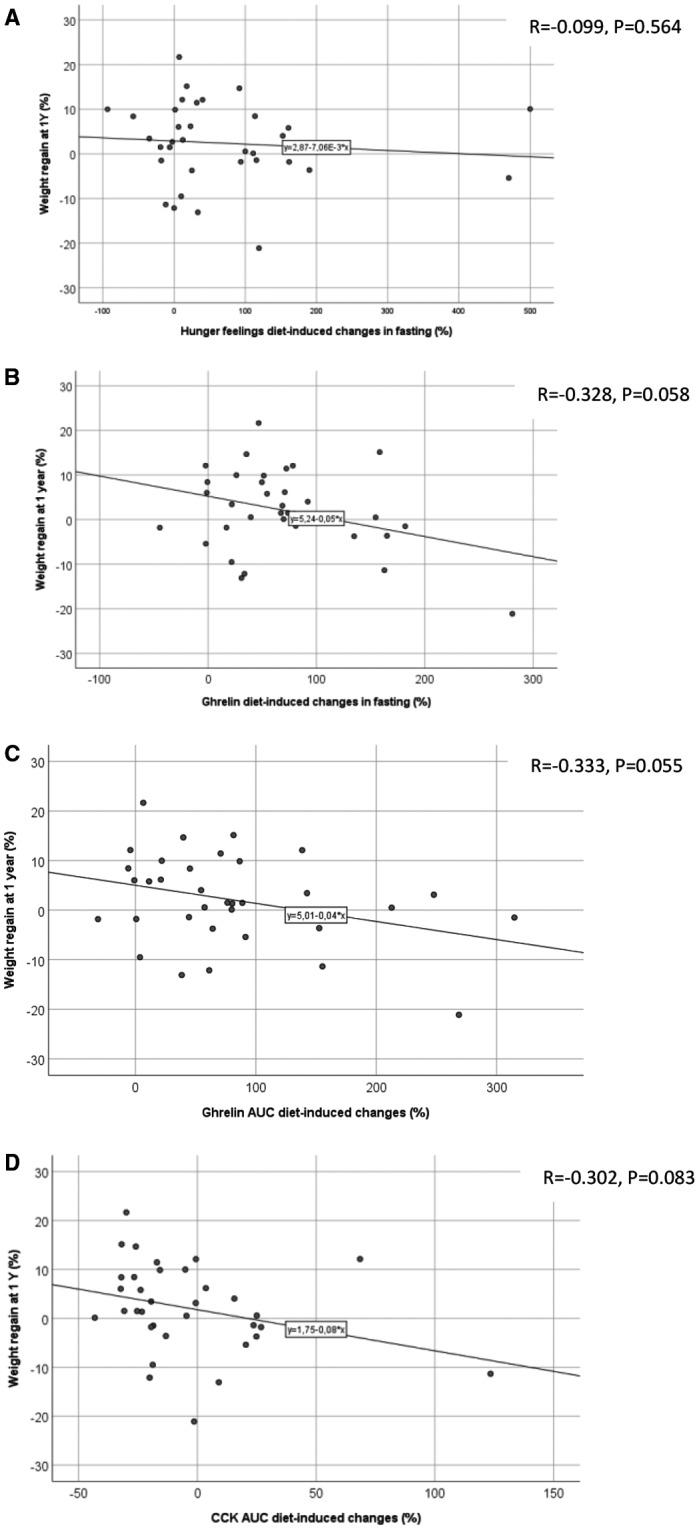
A 17% WL (-20 ± 5 kg [mean ± SD]; range: -11.7 to -32.2 kg; P < 0.001) was achieved at week 13. After 1 year, weight regain was 2.5 ± 9.0 kg (not significant), ranging from -18.2 to 22.5 kg. Both fat mass and fat-free mass were reduced at week 13 (-17.9 ± 4.8 and -2.9 ± 2.7 kg, respectively; P < 0.001), while only loss of fat mass was sustained at 1 year. WL was associated with reduced RMR, EIEE, and fasting/postprandial insulin (all P < 0.001), as well as increased fasting hunger (P < 0.01) and fasting/postprandial active ghrelin (P < 0.001). There were no significant correlations between changes in RMR, EIEE, or appetite with WL and weight regain at 1 year.
No clear evidence emerged that changes in RMR, EIEE, or appetite following WL can predict weight regain at 1 year, but larger studies are needed to confirm these results.
本研究旨在评估减肥(WL)后静息代谢率(RMR)、运动诱导的能量消耗(EIEE)和食欲的变化是否与 1 年内体重反弹有关。
36 名肥胖成年人接受了 8 周的极低能量饮食,然后进行 4 周的重新喂养和 1 年的维持计划。在基线、第 13 周和 1 年时测量 RMR、EIEE、食欲评分以及活性胃饥饿素、肽 YY、胰高血糖素样肽-1、胆囊收缩素和胰岛素浓度。
第 13 周体重减轻 17%(-20 ± 5 kg[均值 ± 标准差];范围:-11.7 至-32.2 kg;P < 0.001)。1 年后体重反弹 2.5 ± 9.0 kg(无统计学意义),范围从-18.2 至 22.5 kg。第 13 周时,脂肪量和去脂体重均减少(分别为-17.9 ± 4.8 和-2.9 ± 2.7 kg;P < 0.001),而只有脂肪量的减少在 1 年内持续存在。WL 与 RMR、EIEE 和空腹/餐后胰岛素降低有关(均 P < 0.001),以及空腹饥饿感增加(P < 0.01)和空腹/餐后活性胃饥饿素增加(P < 0.001)。RMR、EIEE 和食欲的变化与 WL 和 1 年内体重反弹之间没有明显的相关性。
没有明确的证据表明 WL 后 RMR、EIEE 或食欲的变化可以预测 1 年内的体重反弹,但需要更大的研究来证实这些结果。