1INSERM, U1160, Hôpital Saint Louis, Paris, France.
2Fondation FondaMental, Créteil, France.
Mol Autism. 2019 May 15;10:22. doi: 10.1186/s13229-019-0269-1. eCollection 2019.
Autism spectrum disorders (ASD) are characterized by abnormal neurodevelopment, genetic, and environmental risk factors, as well as immune dysfunctions. Several lines of evidence suggest alterations in innate immune responses in children with ASD. To address this question in adults with high-functioning ASD (hf-ASD), we sought to investigate the role of natural killer (NK) cells in the persistence of ASD.
NK cells from 35 adults with hf-ASD were compared to that of 35 healthy controls (HC), selected for the absence of any immune dysfunctions, at different time-points, and over a 2-year follow-up period for four patients. The phenotype and polyfunctional capacities of NK cells were explored according to infectious stigma and clinical parameters (IQ, social, and communication scores).
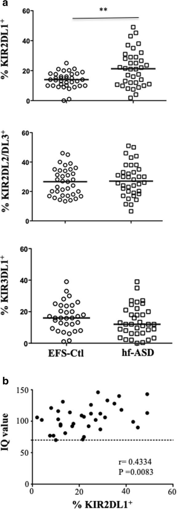
As compared to HC, NK cells from patients with hf-ASD showed a high level of cell activation ( < 0.0001), spontaneous degranulation ( < 0.0001), and interferon-gamma production ( = 0.0004), whereas they were exhausted after in vitro stimulations ( = 0.0006). These data yielded a specific HLA-DRKIR2DL1NKG2C NK-cell signature. Significant overexpression of NKG2C in hf-ASD patients ( = 0.0005), indicative of viral infections, was inversely correlated with the NKp46 receptor level ( = - 0.67; < 0.0001), regardless of the IgG status of tested pathogens. Multivariate linear regression analysis also revealed that expression of the late-activating HLA-DR marker was both associated with structural language ( = 0.48; = 0.007) and social awareness ( = 0.60; = 0.0007) scores in adult patients with hf-ASD, while KIR2DL1 expression correlated with IQ scores ( = 0.0083).
This study demonstrates that adults with hf-ASD have specific NK-cell profile. Presence of NKG2C overexpression together with high-level activation of NK cells suggest an association with underlying pathogens, a hypothesis warranting further exploration in future studies.
自闭症谱系障碍(ASD)的特征是神经发育异常、遗传和环境风险因素以及免疫功能障碍。有几条证据表明,自闭症儿童的先天免疫反应发生改变。为了在高功能自闭症(hf-ASD)的成年患者中解决这个问题,我们试图研究自然杀伤(NK)细胞在 ASD 持续存在中的作用。
在不同时间点,并在 4 名患者的 2 年随访期间,比较了 35 名 hf-ASD 成年患者和 35 名健康对照者(HC)的 NK 细胞,这些对照者未患有任何免疫功能障碍。根据感染痕迹和临床参数(智商、社交和沟通评分),探索 NK 细胞的表型和多功能能力。
与 HC 相比,hf-ASD 患者的 NK 细胞表现出高水平的细胞激活( < 0.0001)、自发脱颗粒( < 0.0001)和干扰素-γ产生( = 0.0004),而在体外刺激后则耗尽( = 0.0006)。这些数据产生了一种特定的 HLA-DR-KIR2DL1-NKG2C-NK 细胞特征。hf-ASD 患者中 NKG2C 的显著过表达( = 0.0005),表明存在病毒感染,与 NKp46 受体水平呈负相关( = - 0.67; < 0.0001),而与检测病原体的 IgG 状态无关。多元线性回归分析还表明,晚期激活 HLA-DR 标志物的表达与成年 hf-ASD 患者的结构语言( = 0.48; = 0.007)和社会意识( = 0.60; = 0.0007)评分相关,而 KIR2DL1 表达与智商评分相关( = 0.0083)。
这项研究表明,hf-ASD 成年患者具有特定的 NK 细胞特征。NKG2C 过表达和 NK 细胞高水平激活的存在表明与潜在病原体有关,这一假设值得在未来研究中进一步探讨。