Suppr超能文献

进食后 10 小时和 34 小时踢足球后的脂血症:踢球频率会影响反应吗?

Postprandial lipaemia 10 and 34 hours after playing football: Does playing frequency affect the response?

机构信息

Aspetar - Qatar Orthopaedic and Sports Medicine Hospital, Exercise Sport Science Department, Doha, Qatar.

Department of Sports Science, City Unity College, Athens, Greece.

出版信息

PLoS One. 2019 Jul 2;14(7):e0218043. doi: 10.1371/journal.pone.0218043. eCollection 2019.

Abstract

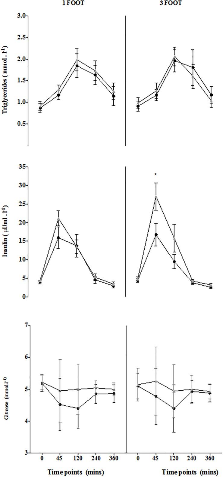
Elevated postprandial triglyceride (TG) is associated with increased risk of cardiovascular disease. The time window for the last bout beneficial effect on postprandial lipaemia after football play is unknown. The aim of the present study was to examine whether playing affects postprandial TG during 1.5 day of reduced activity. Eighteen males were randomly allocated to perform either 1 (1FOOT; n = 9; age = 33.0 ± 5.0 yrs; body mass index = 24.2 ± 3.6 kg/m2) or 3 (3FOOT) consecutive days of 60-min 5 vs 5 football (n = 9; age = 32.8 ± 5.2 yrs; body mass index = 26.2 ± 4.1 kg/m2) matches across a 5-day study period. They arrived to the laboratory 10 hrs and 34 hrs after the final football session and blood samples were collected at fasted (0 min) and 45, 90, 240 and 360 min post a high fat load meal. There were non significant increase for postprandial TG AUC (9.1%; p = 0.17; 95%CI = -0.43 to 2.0; ES = -0.23) and iAUC (14.2%; p = 0.43; 95%CI = -0.92 to 1.9; ES = -0.24) between 10 and 34 hrs after the 1FOOT. For the 3FOOT, there was a non significant decrease in postprandial TG AUC (-2.7%; p = 0.73; 95%CI = -2.0 to 1.5; ES = 0.05) and iAUC (-17.5%; p = 0.41; 95%ci = -2.5 to 1.1; ES = 0.31) from 10 to 34 hrs, respectively. Performing three consecutive days of football exercise may offer no greater protective effect for postprandial TG before a period of reduced activity, compared to a single session.

摘要

餐后甘油三酯(TG)升高与心血管疾病风险增加有关。目前尚不清楚足球运动后最后一次有益的餐后脂血症时间窗口。本研究的目的是检查在减少活动的 1.5 天内,运动是否会影响餐后 TG。18 名男性被随机分配到以下两种情况:连续 3 天(3FOOT)或 1 天(1FOOT)进行 60 分钟的 5 对 5 足球比赛(n = 9;年龄 = 33.0 ± 5.0 岁;体重指数 = 24.2 ± 3.6 kg/m2),在 5 天的研究期间进行 3 次足球比赛。他们在最后一次足球比赛结束后 10 小时和 34 小时到达实验室,并在空腹(0 分钟)和高脂肪负荷餐后 45、90、240 和 360 分钟采集血样。1FOOT 后 10 至 34 小时,餐后 TG AUC(9.1%;p = 0.17;95%CI = -0.43 至 2.0;ES = -0.23)和 iAUC(14.2%;p = 0.43;95%CI = -0.92 至 1.9;ES = -0.24)无显著增加。对于 3FOOT,餐后 TG AUC(-2.7%;p = 0.73;95%CI = -2.0 至 1.5;ES = 0.05)和 iAUC(-17.5%;p = 0.41;95%CI = -2.5 至 1.1;ES = 0.31)在 10 至 34 小时之间分别呈非显著下降。与单次运动相比,连续 3 天进行足球运动在减少活动期间对餐后 TG 可能没有更大的保护作用。

https://cdn.ncbi.nlm.nih.gov/pmc/blobs/b788/6605649/43df7d1824f8/pone.0218043.g001.jpg

文献AI研究员

20分钟写一篇综述,助力文献阅读效率提升50倍。

立即体验

用中文搜PubMed

大模型驱动的PubMed中文搜索引擎

马上搜索

文档翻译

学术文献翻译模型,支持多种主流文档格式。

立即体验