Suppr超能文献

在下颌骨萎缩性无牙颌中加载下颌种植体-覆盖义齿前后,插入扭矩对临床和生物学结果的影响。

Influence of Insertion Torque on Clinical and Biological Outcomes before and after Loading of Mandibular Implant-Retained Overdentures in Atrophic Edentulous Mandibles.

机构信息

Department of Restorative Dentistry, School of Dentistry, Federal University of Pelotas, RS, Brazil.

Graduate Program in Dentistry, School of Dentistry, Federal University of Pelotas, RS, Brazil.

出版信息

Biomed Res Int. 2019 Jun 2;2019:8132520. doi: 10.1155/2019/8132520. eCollection 2019.

Abstract

AIM

To evaluate the influence of primary insertion torque (IT) values of narrow dental implants on the peri-implant health, implant stability, immunoinflammatory responses, bone loss, and success and survival rates.

METHODS

Thirty-one edentulous patients received two narrow implants (2.9x10mm, Facility NeoPoros) to retain mandibular overdentures. The implants were categorized in four groups according to their IT: (G1) IT > 10 Ncm; (G2) IT ≥ 10Ncm and ≤ 30 Ncm; (G3) IT >30Ncm and < 45Ncm; (G4) IT ≥ 45Ncm, and all implants were loaded after 3 months of healing. The following clinical outcomes were evaluated 1, 3, 6, and 12 months after implant insertion: (i) peri-implant tissue health (PH), gingival index (GI), plaque index (PI), calculus presence (CP), probing depth (PD), and bleeding on probing (BOP); (ii) implant stability quotient (ISQ) by resonance frequency analysis; and (iii) IL-1 and TNF- concentration in the peri-implant crevicular fluid. The marginal bone level (MBL) and changes (MBC) were evaluated. The Chi test, Kruskal-Wallis test, mixed-effects regression analysis, and the Kendall rank correlation coefficient were used for statistical analysis ( = 5%).

RESULTS

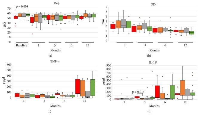
G1 presented the highest PD at all evaluated periods. G2 presented higher PI at month 6 and 12. G4 showed increased GI at month 3 and 12 and more CP at month 1 (p=.003). G2 and G4 had higher ISQ values over the study period, while those from G1 and G3 presented lower ISQ values. The IL-1 concentration increased until month 12 and was independent of IT and bone type; G4 had a higher IL-1 concentration in month 3 than the other groups (p=.015). The TNF- release was negatively correlated with IT, and TNF- release was highest in G1 at month 12. The MBL immediately after surgery and the MBC at month 12 were similar between the groups, and G4 presented a positive MBC at month 12. The survival and success rates were 75% for G1, 81.3% for G2, 64.3% for G3, and 95% for G4.

CONCLUSION

The IT did not influence the clinical outcomes and the peri-implant immunoinflammatory responses and was weakly correlated with the narrow dental implants primary stability. The observed success rates suggest that the ideal IT for atrophic fully edentulous patients may deviate from the standardized IT of 32 Ncm.

摘要

目的

评估窄径种植体初始植入扭矩(IT)值对种植体周围健康、种植体稳定性、免疫炎症反应、骨丢失以及成功率和存活率的影响。

方法

31 名无牙颌患者接受了 2 颗窄径种植体(2.9x10mm,Facility NeoPoros)以保留下颌覆盖义齿。根据初始 IT 值将种植体分为四组:(G1)IT>10 Ncm;(G2)IT≥10Ncm 且≤30 Ncm;(G3)IT>30Ncm 且<45Ncm;(G4)IT≥45Ncm,所有种植体均在愈合 3 个月后加载。植入后 1、3、6 和 12 个月评估以下临床结果:(i)种植体周围组织健康(PH)、牙龈指数(GI)、菌斑指数(PI)、牙石存在(CP)、探诊深度(PD)和探诊出血(BOP);(ii)通过共振频率分析评估种植体稳定性系数(ISQ);(iii)检测种植体周围龈沟液中的 IL-1 和 TNF-α浓度。评估边缘骨水平(MBL)和变化(MBC)。采用卡方检验、Kruskal-Wallis 检验、混合效应回归分析和 Kendall 秩相关系数进行统计学分析( = 5%)。

结果

G1 在所有评估期均表现出最高的 PD。G2 在第 6 和 12 个月时表现出更高的 PI。G4 在第 3 和 12 个月时 GI 增加,第 1 个月时 CP 增加(p=.003)。G2 和 G4 在整个研究期间具有更高的 ISQ 值,而 G1 和 G3 的 ISQ 值较低。IL-1 浓度一直增加到第 12 个月,与 IT 和骨类型无关;G4 在第 3 个月的 IL-1 浓度高于其他组(p=.015)。TNF-α的释放与 IT 呈负相关,在第 12 个月时 G1 组 TNF-α的释放最高。各组术后即刻 MBL 和第 12 个月 MBC 相似,而 G4 组在第 12 个月时 MBC 为正值。G1 的存活率和成功率为 75%,G2 为 81.3%,G3 为 64.3%,G4 为 95%。

结论

IT 不影响临床结果和种植体周围的免疫炎症反应,与窄径种植体的初始稳定性呈弱相关。观察到的成功率表明,对于严重萎缩的完全无牙颌患者,理想的 IT 可能偏离 32 Ncm 的标准化 IT。

https://cdn.ncbi.nlm.nih.gov/pmc/blobs/2003/6582836/3b67812b5fc9/BMRI2019-8132520.001.jpg

文献AI研究员

20分钟写一篇综述,助力文献阅读效率提升50倍。

立即体验

用中文搜PubMed

大模型驱动的PubMed中文搜索引擎

马上搜索

文档翻译

学术文献翻译模型,支持多种主流文档格式。

立即体验