Suppr超能文献

性激素对正常乳腺组织代谢的影响:通过氟代脱氧葡萄糖正电子发射断层显像/计算机断层扫描(FDG PET/CT)进行评估。

The effect of sex hormones on normal breast tissue metabolism: Evaluation by FDG PET/CT.

作者信息

Jung Yongsik, Kim Tae Hee, Kim Ji Young, Han Sehwan, An Young-Sil

机构信息

Department of Surgery.

Department of Radiology.

出版信息

Medicine (Baltimore). 2019 Jul;98(27):e16306. doi: 10.1097/MD.0000000000016306.

Abstract

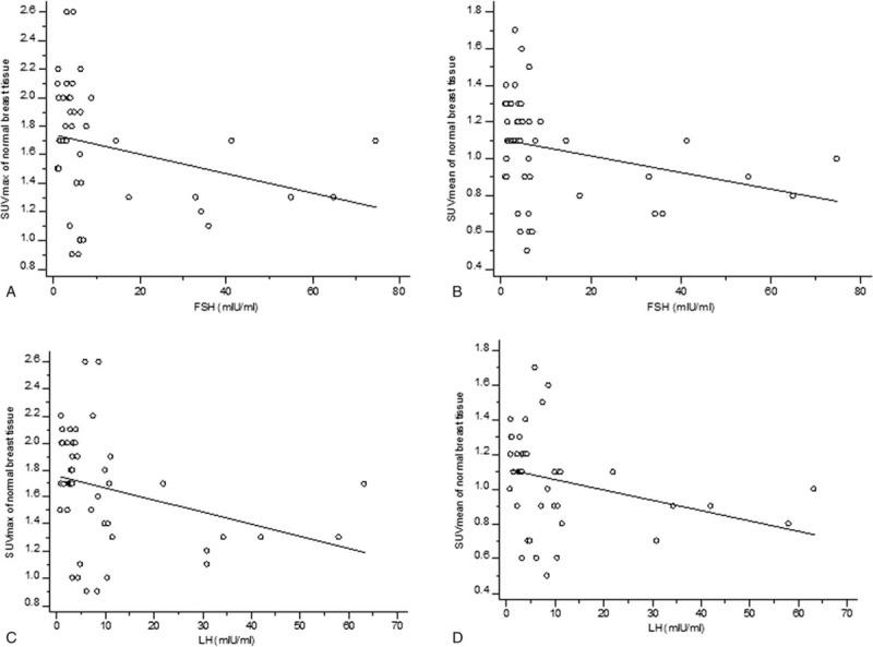
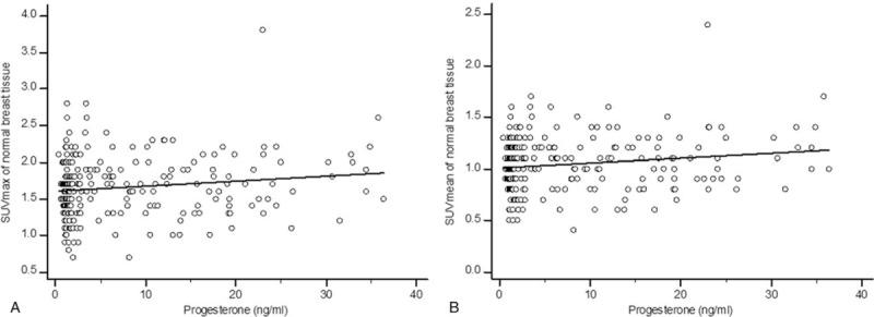
This study investigated the effect of sex hormones on F-fluorodeoxyglucose (FDG) uptake in normal breast tissue.The retrospective study included 249 premenopausal women (median age, 45 years) who were diagnosed with unilateral breast cancer and underwent FDG positron emission tomography/computed tomography and hormone tests. The volume of interest was within the contralateral normal breast and the standardized uptake values (SUVs) were measured. The correlations of sex hormones (including estrogen, progesterone, testosterone, follicle-stimulating hormone [FSH] and luteinizing hormone [LH]) with the SUVs of the normal breast were analyzed.There was a weak negative correlation between age and breast FDG uptake (P = .012, Spearman coefficient = -.16 for the maximum standardized uptake values [SUVmax]), especially in the luteal phase group (P = .005, Spearman coefficient = -.27 for SUVmax). The SUVs of normal breast tissue were increased when progesterone levels were higher (P = .043, Spearman coefficient = .13 for SUVmax). In the irregular menstrual cycle group, FDG uptake in the breast decreased as FSH (P = .027, Spearman coefficient = -.42 for SUVmax) and LH (P = .048, Spearman coefficient = -.44 for SUVmax) increased.Glucose metabolism of normal breast tissue decreases with age, and progesterone weakly affects breast FDG uptake. Gonadotropins may affect breast FDG uptake in premenopausal women with irregular menstrual cycles.

摘要

本研究调查了性激素对正常乳腺组织中氟脱氧葡萄糖(FDG)摄取的影响。这项回顾性研究纳入了249名绝经前女性(中位年龄45岁),她们被诊断为单侧乳腺癌,并接受了FDG正电子发射断层扫描/计算机断层扫描及激素检测。感兴趣的区域位于对侧正常乳腺内,并测量标准化摄取值(SUV)。分析了性激素(包括雌激素、孕激素、睾酮、促卵泡激素[FSH]和促黄体生成素[LH])与正常乳腺SUV的相关性。年龄与乳腺FDG摄取之间存在弱负相关(P = 0.012,最大标准化摄取值[SUVmax]的Spearman系数 = -0.16),尤其是在黄体期组(P = 0.005,SUVmax的Spearman系数 = -0.27)。当孕激素水平较高时,正常乳腺组织的SUV增加(P = 0.043,SUVmax的Spearman系数 = 0.13)。在月经周期不规律组中,随着FSH(P = 0.027,SUVmax的Spearman系数 = -0.42)和LH(P = 0.048,SUVmax的Spearman系数 = -0.44)升高,乳腺中的FDG摄取减少。正常乳腺组织的葡萄糖代谢随年龄增长而降低,孕激素对乳腺FDG摄取有微弱影响。促性腺激素可能会影响月经周期不规律的绝经前女性的乳腺FDG摄取。

https://cdn.ncbi.nlm.nih.gov/pmc/blobs/a923/6635257/d3881a0cb251/medi-98-e16306-g003.jpg

文献AI研究员

20分钟写一篇综述,助力文献阅读效率提升50倍。

立即体验

用中文搜PubMed

大模型驱动的PubMed中文搜索引擎

马上搜索

文档翻译

学术文献翻译模型,支持多种主流文档格式。

立即体验