Suppr超能文献

LINC0638长链非编码RNA参与黑色素瘤手术切除后的局部复发。

LINC0638 lncRNA is involved in the local recurrence of melanoma following surgical resection.

作者信息

Xiao Weirong, Yin Aiwan

机构信息

Department of Dermatology, Hunan Provincial People's Hospital, The First Affiliated Hospital of Hunan Normal University, Changsha, Hunan 410000, P.R. China.

Department of Traditional Chinese Medicine, Hunan Provincial People's Hospital, The First Affiliated Hospital of Hunan Normal University, Changsha, Hunan 410000, P.R. China.

出版信息

Oncol Lett. 2019 Jul;18(1):101-108. doi: 10.3892/ol.2019.10322. Epub 2019 May 6.

Abstract

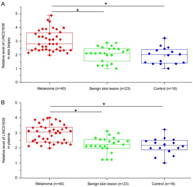
Melanoma is a rare malignancy in China and the treatment outcomes are generally satisfactory. However, postoperative recurrence can be life-threatening. The current study aimed to investigate the involvement of long intergenic non-protein coding RNA 1638 (LINC01638) long non-coding RNA (lncRNA) in the recurrence of melanoma. Expression of LINC01638 lncRNA in skin biopsies and plasma of patients with melanoma, patients with benign skin lesions and healthy controls was detected by reverse transcription-quantitative polymerase chain reaction. Diagnostic values of LINC01638 lncRNA for melanoma were analyzed by receiver operating characteristic curve analysis. The association between LINC01638 lncRNA and clinicopathological data of patients with melanoma was analyzed by χ test. All patients were followed up for five years to record recurrence. LINC01638 lncRNA expression vectors and shRNAs were transfected into human melanoma cell lines and the effects of LINC01638 lncRNA overexpression and knockdown on cell proliferation were analyzed by cell counting kit-8 assay. LINC01638 lncRNA was significantly upregulated in patients with melanoma compared with the other two groups of patients, and upregulation of LINC01638 lncRNA distinguished patients with melanoma from patients with benign skin lesions and healthy controls. LINC01638 lncRNA expression was significantly associated with tumor size but not with other patient clinical data. Plasma levels of LINC01638 lncRNA were further increased during follow-up in patients with local recurrence but not in patients without recurrence. LINC01638 lncRNA overexpression promoted, while knockdown inhibited proliferation of cells of melanoma cell lines, C32 and SK-MEL-28, . The upregulation of LINC01638 lncRNA was likely associated with the local recurrence of melanoma following surgical resection.

摘要

黑色素瘤在中国是一种罕见的恶性肿瘤,治疗效果总体令人满意。然而,术后复发可能危及生命。当前研究旨在调查长链基因间非编码RNA 1638(LINC01638)长链非编码RNA(lncRNA)在黑色素瘤复发中的作用。通过逆转录定量聚合酶链反应检测黑色素瘤患者、良性皮肤病变患者和健康对照者皮肤活检组织及血浆中LINC01638 lncRNA的表达。通过受试者工作特征曲线分析评估LINC01638 lncRNA对黑色素瘤的诊断价值。采用χ检验分析LINC01638 lncRNA与黑色素瘤患者临床病理数据之间的关联。对所有患者进行了五年随访以记录复发情况。将LINC01638 lncRNA表达载体和短发夹RNA转染到人黑色素瘤细胞系中,通过细胞计数试剂盒-8法分析LINC01638 lncRNA过表达和敲低对细胞增殖的影响。与其他两组患者相比,黑色素瘤患者中LINC01638 lncRNA显著上调,LINC01638 lncRNA的上调可将黑色素瘤患者与良性皮肤病变患者及健康对照者区分开来。LINC01638 lncRNA表达与肿瘤大小显著相关,但与其他患者临床数据无关。局部复发患者随访期间血浆中LINC01638 lncRNA水平进一步升高,而未复发患者则未升高。LINC01638 lncRNA过表达促进了黑色素瘤细胞系C32和SK-MEL-28细胞的增殖,而敲低则抑制了其增殖。LINC01638 lncRNA上调可能与手术切除后黑色素瘤的局部复发有关。

https://cdn.ncbi.nlm.nih.gov/pmc/blobs/dca6/6540316/4522ce01e9e4/ol-18-01-0101-g00.jpg

文献AI研究员

20分钟写一篇综述,助力文献阅读效率提升50倍。

立即体验

用中文搜PubMed

大模型驱动的PubMed中文搜索引擎

马上搜索

文档翻译

学术文献翻译模型,支持多种主流文档格式。

立即体验