Zhang Zhong-Yuan, Yang Jin, Fan Zhen-Hai, Wang Da-Li, Wang Yu-Ying, Zhang Tao, Yu Li-Mei, Yu Chang-Yin
Key Laboratory of Cell Engineering in Guizhou Province, The Affiliated Hospital of Zunyi Medical University, Zunyi, Guizhou Province, China.
Key Laboratory of Cell Engineering in Guizhou Province, The Affiliated Hospital of Zunyi Medical University, Zunyi, Guizhou Province; Department of Thyroid and Breast Surgery, Fifth People's Hospital of Chengdu, Chengdu, Sichuan Province, China.
Neural Regen Res. 2019 Dec;14(12):2199-2208. doi: 10.4103/1673-5374.262596.
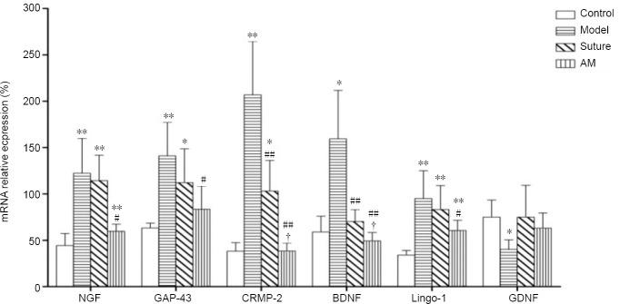
Suture and autologous nerve transplantation are the primary therapeutic measures for completely severed nerves. However, imbalances in the microenvironment and adhesion of surrounding tissues can affect the quality of nerve regeneration and repair. Previous studies have shown that human amniotic membrane can promote the healing of a variety of tissues. In this study, the right common peroneal nerve underwent a 5-mm transection in rats. Epineural nerve repair was performed using 10/0 non-absorbable surgical suture. The repair site was wrapped with a two-layer amniotic membrane with α-cyanoacrylate rapid medical adhesive after suture. Hindlimb motor function was assessed using footprint analysis. Conduction velocity of the common peroneal nerve was calculated by neural electrical stimulation. The retrograde axoplasmic transport of the common peroneal nerve was observed using fast blue BB salt retrograde fluorescent staining. Hematoxylin-eosin staining was used to detect the pathological changes of the common peroneal nerve sputum. The mRNA expression of axon regeneration-related neurotrophic factors and inhibitors was measured using real-time polymerase chain reaction. The results showed that the amniotic membrane significantly improved the function of the injured nerve; the toe spread function rapidly recovered, the nerve conduction velocity was restored, and the number of fast blue BB salt particles were increased in the spinal cord. The amniotic membrane also increased the recovery rate of the tibialis anterior muscle and improved the tissue structure of the muscle. Meanwhile, mRNA expression of nerve growth factor, growth associated protein-43, collapsin response mediator protein-2, and brain-derived neurotrophic factor recovered to near-normal levels, while Lingo-1 mRNA expression decreased significantly in spinal cord tissues. mRNA expression of glial-derived neurotrophic factor did not change significantly. Changes in mRNA levels were more significant in amniotic-membrane-wrapping-treated rats compared with model and nerve sutured rats. These results demonstrate that fresh amniotic membrane wrapping can promote the functional recovery of sutured common peroneal nerve via regulation of expression levels of neurotrophic factors and inhibitors associated with axonal regeneration. The study was approved by the Committee on Animal Research and Ethics at the Affiliate Hospital of Zunyi Medical University, China (approval No. 112) on December 1, 2017.
缝合和自体神经移植是完全离断神经的主要治疗措施。然而,微环境失衡和周围组织粘连会影响神经再生和修复的质量。既往研究表明,人羊膜可促进多种组织的愈合。在本研究中,将大鼠右侧腓总神经横断5 mm。采用10/0不可吸收外科缝线进行神经外膜修复。缝合后,用α-氰基丙烯酸酯快速医用粘合剂包裹两层羊膜于修复部位。采用足迹分析评估后肢运动功能。通过神经电刺激计算腓总神经的传导速度。采用快蓝BB盐逆行荧光染色观察腓总神经的逆行轴浆运输。苏木精-伊红染色检测腓总神经残端的病理变化。采用实时聚合酶链反应检测轴突再生相关神经营养因子和抑制剂的mRNA表达。结果显示,羊膜显著改善了损伤神经的功能;趾展功能迅速恢复,神经传导速度得以恢复,脊髓中快蓝BB盐颗粒数量增加。羊膜还提高了胫前肌的恢复率,改善了肌肉的组织结构。同时,神经生长因子、生长相关蛋白-43、塌陷反应介导蛋白-2和脑源性神经营养因子的mRNA表达恢复至接近正常水平,而脊髓组织中Lingo-1 mRNA表达显著降低。胶质细胞源性神经营养因子的mRNA表达无明显变化。与模型组和神经缝合组大鼠相比,羊膜包裹处理的大鼠mRNA水平变化更显著。这些结果表明,新鲜羊膜包裹可通过调节与轴突再生相关的神经营养因子和抑制剂的表达水平,促进缝合的腓总神经功能恢复。本研究于2017年12月1日获得中国遵义医科大学附属医院动物研究与伦理委员会批准(批准号112)。