Suppr超能文献

基于机器学习方法提高尿常规分析中阴道毛滴虫的检出率。

Increase Trichomonas vaginalis detection based on urine routine analysis through a machine learning approach.

机构信息

Department of Laboratory Medicine, Chang Gung Memorial Hospital at Linkou, Taoyuan, Taiwan.

Ph.D. Program in Biomedical Engineering, Chang Gung University, Taoyuan, Taiwan.

出版信息

Sci Rep. 2019 Aug 19;9(1):11074. doi: 10.1038/s41598-019-47361-8.

Abstract

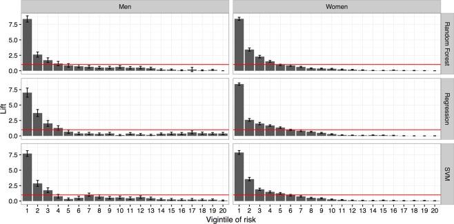
Trichomonas vaginalis (T. vaginalis) detection remains an unsolved problem in using of automated instruments for urinalysis. The study proposes a machine learning (ML)-based strategy to increase the detection rate of T. vaginalis in urine. On the basis of urinalysis data from a teaching hospital during 2009-2013, individuals underwent at least one urinalysis test were included. Logistic regression, support vector machine, and random forest, were used to select specimens with a high risk of T. vaginalis infection for confirmation through microscopic examinations. A total of 410,952 and 428,203 specimens from men and women were tested, of which 91 (0.02%) and 517 (0.12%) T. vaginalis-positive specimens were reported, respectively. The prediction models of T. vaginalis infection attained an area under the receiver operating characteristic curve of more than 0.87 for women and 0.83 for men. The Lift values of the top 5% risky specimens were above eight. While the most risky vigintile was picked out by the models and confirmed by microscopic examination, the incremental cost-effectiveness ratios for T. vaginalis detection in men and women were USD$170.1 and USD$29.7, respectively. On the basis of urinalysis, the proposed strategy can significantly increase the detection rate of T. vaginalis in a cost-effective manner.

摘要

阴道毛滴虫(T. vaginalis)检测在尿液自动化分析仪器的应用中仍然是一个未解决的问题。本研究提出了一种基于机器学习(ML)的策略,以提高尿液中阴道毛滴虫的检测率。该研究基于 2009 年至 2013 年期间一所教学医院的尿液分析数据,纳入了至少接受过一次尿液分析检测的个体。采用逻辑回归、支持向量机和随机森林来选择具有高阴道毛滴虫感染风险的标本,通过显微镜检查进行确认。共检测了 410952 份男性和 428203 份女性标本,报告了 91 份(0.02%)和 517 份(0.12%)阴道毛滴虫阳性标本。女性和男性感染阴道毛滴虫的预测模型的受试者工作特征曲线下面积均超过 0.87。前 5%高风险标本的增益值均超过 8。虽然模型确定了最危险的百分位数,并通过显微镜检查得到了证实,但男性和女性阴道毛滴虫检测的增量成本效益比分别为 170.1 美元和 29.7 美元。基于尿液分析,该策略可以以具有成本效益的方式显著提高阴道毛滴虫的检测率。

https://cdn.ncbi.nlm.nih.gov/pmc/blobs/d41f/6698480/c51f40b76e41/41598_2019_47361_Fig1_HTML.jpg

文献检索

告别复杂PubMed语法,用中文像聊天一样搜索,搜遍4000万医学文献。AI智能推荐,让科研检索更轻松。

立即免费搜索

文件翻译

保留排版,准确专业,支持PDF/Word/PPT等文件格式,支持 12+语言互译。

免费翻译文档

深度研究

AI帮你快速写综述,25分钟生成高质量综述,智能提取关键信息,辅助科研写作。

立即免费体验