• 文献检索
  • 文档翻译
  • 深度研究
  • 学术资讯
  • Suppr Zotero 插件Zotero 插件
  • 邀请有礼
  • 套餐&价格
  • 历史记录
应用&插件
Suppr Zotero 插件Zotero 插件浏览器插件Mac 客户端Windows 客户端微信小程序
定价
高级版会员购买积分包购买API积分包
服务
文献检索文档翻译深度研究API 文档MCP 服务
关于我们
关于 Suppr公司介绍联系我们用户协议隐私条款
关注我们

Suppr 超能文献

核心技术专利:CN118964589B侵权必究
粤ICP备2023148730 号-1Suppr @ 2026

文献检索

告别复杂PubMed语法,用中文像聊天一样搜索,搜遍4000万医学文献。AI智能推荐,让科研检索更轻松。

立即免费搜索

文件翻译

保留排版,准确专业,支持PDF/Word/PPT等文件格式,支持 12+语言互译。

免费翻译文档

深度研究

AI帮你快速写综述,25分钟生成高质量综述,智能提取关键信息,辅助科研写作。

立即免费体验

一些新型吡啶衍生物的设计、合成、表征及杀虫生物活性筛选

Design, Synthesis, Characterization, and Insecticidal Bioefficacy Screening of Some New Pyridine Derivatives.

作者信息

El-Dean Adel M Kamal, Abd-Ella Aly A, Hassanien Reda, El-Sayed Mohamed E A, A Abdel-Raheem Shaban A

机构信息

Chemistry Department, Faculty of Science, Assiut University, 71516 Assiut, Egypt.

Plant Protection Department, Faculty of Agriculture, Assiut University, 71526 Assiut, Egypt.

出版信息

ACS Omega. 2019 May 13;4(5):8406-8412. doi: 10.1021/acsomega.9b00932. eCollection 2019 May 31.

DOI:10.1021/acsomega.9b00932
PMID:31459929
原文链接:https://pmc.ncbi.nlm.nih.gov/articles/PMC6649056/
Abstract

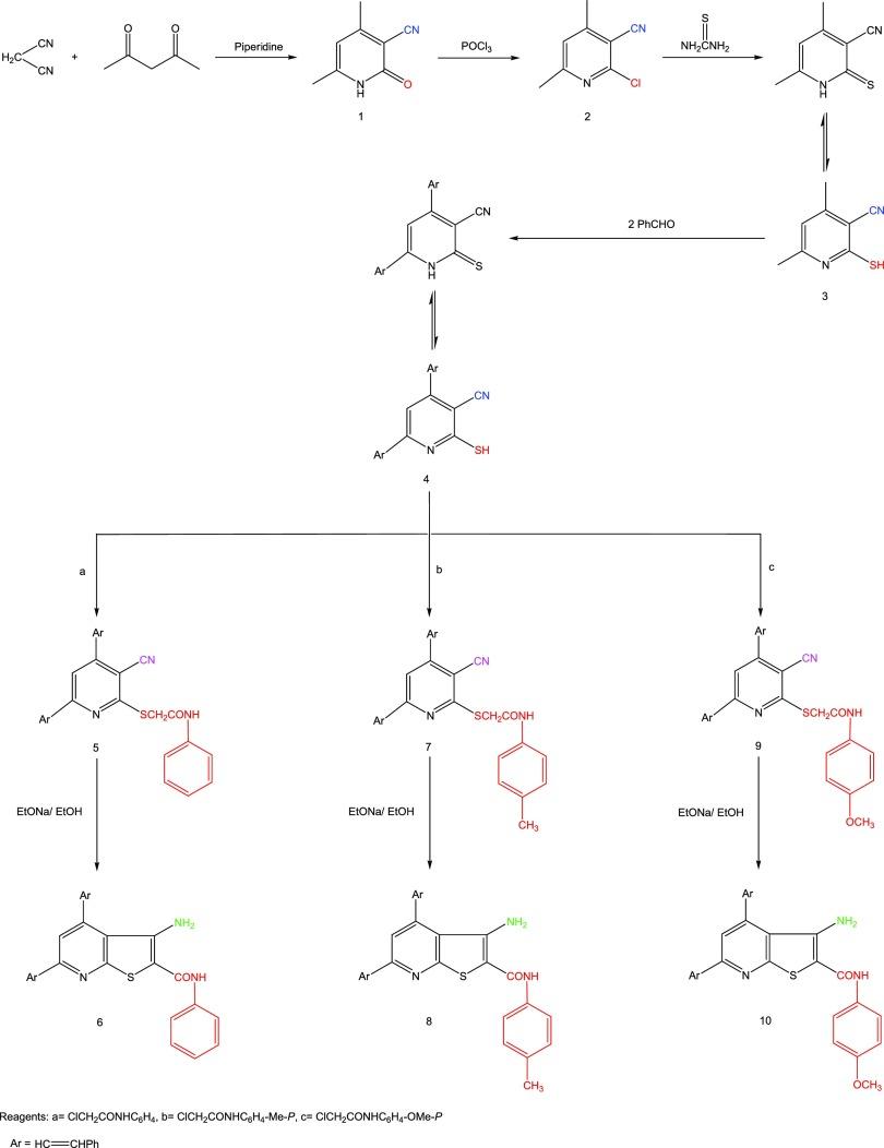
A lot of insecticides are found nowadays, but neonicotinoids are considered the most famous. So, a series of pyridine derivatives neonicotinoids analogues, namely, 3-cyano-4,6-dimethylpyridine-2(1)-one (), 2-chloro-3-cyano-4,6-dimethylpyridine (), 3-cyano-4,6-dimethylpyridine-2(1)-thione (), 3-cyano-4,6-distyrylpyridine-2(1)-thione (), 2-((3-cyano-4,6-distyrylpyridin-2-yl)thio)--phenylacetamide (), 3-amino--phenyl-4,6-distyrylthieno[2,3-]pyridine-2-carboxamide (), 2-((3-cyano-4,6-distyrylpyridin-2-yl)thio)--(-tolyl)acetamide (), 3-amino-4,6-distyryl--(-tolyl)thieno[2,3-]pyridine-2-carboxamide (), 2-((3-cyano-4,6-distyrylpyridin-2-yl)thio)--(4-methoxyphenyl)acetamide (), and 3-amino--(4-methoxyphenyl)-4,6-distyrylthieno[2,3-]pyridine-2-carboxamide (), have been designed and synthesized in pure state, and their agricultural bioefficacy as insecticides against cowpea aphid Koch was screened. The structures of the synthesized compounds were verified by means of spectroscopic and elemental analyses. Insecticidal bioefficacy data illustrated that some compounds are excellent against cowpea aphid, and the bioefficacy of the rest of the tested compounds ranged from good to moderate against the same insects.

摘要

如今发现了许多杀虫剂,但新烟碱类被认为是最著名的。因此,设计并合成了一系列吡啶衍生物新烟碱类似物,即3-氰基-4,6-二甲基吡啶-2(1)-酮()、2-氯-3-氰基-4,6-二甲基吡啶()、3-氰基-4,6-二甲基吡啶-2(1)-硫酮()、3-氰基-4,6-二苯乙烯基吡啶-2(1)-硫酮()、2-((3-氰基-4,6-二苯乙烯基吡啶-2-基)硫代)-α-苯基乙酰胺()、3-氨基-α-苯基-4,6-二苯乙烯基噻吩并[2,3-b]吡啶-2-甲酰胺()、2-((3-氰基-4,6-二苯乙烯基吡啶-2-基)硫代)-α-(对甲苯基)乙酰胺()、3-氨基-4,6-二苯乙烯基-α-(对甲苯基)噻吩并[2,3-b]吡啶-2-甲酰胺()、2-((3-氰基-4,6-二苯乙烯基吡啶-2-基)硫代)-α-(4-甲氧基苯基)乙酰胺()以及3-氨基-α-(4-甲氧基苯基)-4,6-二苯乙烯基噻吩并[2,3-b]吡啶-2-甲酰胺(),并以纯态合成,同时筛选了它们作为杀虫剂对豇豆蚜(豆蚜)的农业生物活性。通过光谱和元素分析对合成化合物的结构进行了验证。杀虫生物活性数据表明,一些化合物对豇豆蚜具有优异的活性,其余测试化合物对相同昆虫的生物活性范围从良好到中等。

https://cdn.ncbi.nlm.nih.gov/pmc/blobs/cbc0/6649056/87e6be222de6/ao-2019-00932w_0002.jpg
https://cdn.ncbi.nlm.nih.gov/pmc/blobs/cbc0/6649056/22481e67ef0e/ao-2019-00932w_0001.jpg
https://cdn.ncbi.nlm.nih.gov/pmc/blobs/cbc0/6649056/87e6be222de6/ao-2019-00932w_0002.jpg
https://cdn.ncbi.nlm.nih.gov/pmc/blobs/cbc0/6649056/22481e67ef0e/ao-2019-00932w_0001.jpg
https://cdn.ncbi.nlm.nih.gov/pmc/blobs/cbc0/6649056/87e6be222de6/ao-2019-00932w_0002.jpg

相似文献

1
Design, Synthesis, Characterization, and Insecticidal Bioefficacy Screening of Some New Pyridine Derivatives.一些新型吡啶衍生物的设计、合成、表征及杀虫生物活性筛选
ACS Omega. 2019 May 13;4(5):8406-8412. doi: 10.1021/acsomega.9b00932. eCollection 2019 May 31.
2
Pyridine derivatives as insecticides. Part 1: synthesis and toxicity of some pyridine derivatives against cowpea aphid, Aphis craccivora Koch (Homoptera: Aphididae).吡啶衍生物作为杀虫剂。第1部分:某些吡啶衍生物对豇豆蚜(豆蚜,同翅目:蚜科)的合成及毒性
J Agric Food Chem. 2014 Oct 15;62(41):9982-6. doi: 10.1021/jf503992y. Epub 2014 Oct 2.
3
One-Pot, Four-Component Reaction for the Design, Synthesis, and SAR Studies of Novel Pyridines for Insecticidal Bioefficacy Screening against Cowpea Aphid ().一锅法四组分反应用于新型吡啶的设计、合成及构效关系研究,以筛选对豇豆蚜的杀虫生物活性()。
ACS Omega. 2024 May 2;9(19):21538-21544. doi: 10.1021/acsomega.4c02055. eCollection 2024 May 14.
4
Pyridine Derivatives as Insecticides. Part 5. New Thieno[2,3-]pyridines and Pyrazolo[3,4-]pyridines Containing Mainly Ethyl Nicotinate Scaffold and Their Insecticidal Activity toward (Glover,1887).吡啶衍生物作为杀虫剂。第 5 部分。主要含有乙基烟碱骨架的新型噻吩并[2,3-]吡啶和吡唑并[3,4-]吡啶及其对(Glover,1887)的杀虫活性。
J Agric Food Chem. 2024 Aug 7;72(31):17271-17282. doi: 10.1021/acs.jafc.4c03112. Epub 2024 Jul 25.
5
Synthesis and Toxicological Effect of Some New Pyrrole Derivatives as Prospective Insecticidal Agents against the Cotton Leafworm, (Boisduval).某些新型吡咯衍生物作为防治棉铃虫(Boisduval)的潜在杀虫剂的合成及毒理学效应
ACS Omega. 2022 Jan 25;7(5):3990-4000. doi: 10.1021/acsomega.1c05049. eCollection 2022 Feb 8.
6
Exploration of Some Heterocyclic Compounds Containing Trifluoromethylpyridine Scaffold as Insecticides Toward Aphis gossypii Insects.含三氟甲基吡啶骨架的杂环化合物作为杀虫剂对棉蚜的研究。
Chem Biodivers. 2024 Jun;21(6):e202400451. doi: 10.1002/cbdv.202400451. Epub 2024 May 3.
7
Functionalized Pyridines: Synthesis and Toxicity Evaluation of Potential Insecticidal Agents against .功能化吡啶:潜在杀虫剂的合成及毒性评估 针对……
ACS Omega. 2023 Aug 2;8(32):29685-29692. doi: 10.1021/acsomega.3c03831. eCollection 2023 Aug 15.
8
Pyridine Derivatives as Insecticides: Part 6. Design, Synthesis, Molecular Docking, and Insecticidal Activity of 3-(Substituted)methylthio-5,6,7,8-tetrahydroisoquinoline-4-carbonitriles Toward (, 1887).吡啶衍生物作为杀虫剂:第 6 部分。3-(取代)甲基硫代-5,6,7,8-四氢异喹啉-4-甲腈的设计、合成、分子对接和对 (, 1887) 的杀虫活性。
J Agric Food Chem. 2024 Sep 25;72(38):20842-20849. doi: 10.1021/acs.jafc.4c03947. Epub 2024 Sep 16.
9
Synthesis, crystal structure, and insecticidal activities of highly congested hexahydroimidazo[1,2-a]pyridine derivatives: effect of conformation on activities.高度拥挤的六氢咪唑并[1,2-a]吡啶衍生物的合成、晶体结构和杀虫活性:构象对活性的影响。
J Agric Food Chem. 2010 Mar 10;58(5):2690-5. doi: 10.1021/jf902513t.
10
Design, synthesis, and insecticidal activity of novel pyrazole derivatives containing α-hydroxymethyl-N-benzyl carboxamide, α-chloromethyl-N-benzyl carboxamide, and 4,5-dihydrooxazole moieties.新型吡唑衍生物的设计、合成与杀虫活性研究,该衍生物含有α-羟甲基-N-苄基羧酰胺、α-氯甲基-N-苄基羧酰胺和 4,5-二氢恶唑部分。
J Agric Food Chem. 2012 Feb 15;60(6):1470-9. doi: 10.1021/jf204778v. Epub 2012 Feb 3.

引用本文的文献

1
Synthesis of inventive biphenyl and azabiphenyl derivatives as potential insecticidal agents against the cotton leafworm, Spodoptera littoralis.作为潜在抗棉铃虫杀虫剂的新型联苯和氮杂联苯衍生物的合成
BMC Chem. 2023 Oct 27;17(1):144. doi: 10.1186/s13065-023-01050-w.
2
Antiproliferative Activity of Some Newly Synthesized Substituted Nicotinamides Candidates Using Pyridine-2(1) thione Derivatives as Synthon.以2(1) -硫代吡啶衍生物为合成子的一些新合成的取代烟酰胺候选物的抗增殖活性
ACS Omega. 2022 Mar 16;7(12):10304-10316. doi: 10.1021/acsomega.1c06951. eCollection 2022 Mar 29.
3
Crystal structure and Hirshfeld surface analysis of 5-acetyl-3-amino-6-methyl--phenyl-4-[()-2-phenyl-ethen-yl]thieno[2,3-]pyridine-2-carbox-amide.

本文引用的文献

1
Chemical design and toxicity evaluation of new pyrimidothienotetrahydroisoquinolines as potential insecticidal agents.新型嘧啶并噻吩并四氢异喹啉作为潜在杀虫剂的化学设计与毒性评估
Toxicol Rep. 2018 Dec 18;6:100-104. doi: 10.1016/j.toxrep.2018.12.004. eCollection 2019.
2
The metabolism of imidacloprid by aldehyde oxidase contributes to its clastogenic effect in New Zealand rabbits.吡虫啉经醛氧化酶的代谢作用导致其对新西兰兔产生致染色体断裂效应。
Mutat Res Genet Toxicol Environ Mutagen. 2018 May-Jun;829-830:26-32. doi: 10.1016/j.mrgentox.2018.03.002. Epub 2018 Mar 19.
3
Long-term exposure of rabbits to imidaclorpid as quantified in blood induces genotoxic effect.
5-乙酰基-3-氨基-6-甲基- -苯基-4-[(Z)-2-苯基乙烯基]噻吩并[2,3-b]吡啶-2-甲酰胺的晶体结构与 Hirshfeld 表面分析
Acta Crystallogr E Crystallogr Commun. 2022 Jan 28;78(Pt 2):225-230. doi: 10.1107/S2056989022000743. eCollection 2022 Jan 1.
4
Unusual Oxidative Dimerization in the 3-Aminothieno[2,3-]pyridine-2-carboxamide Series.3-氨基噻吩并[2,3-]吡啶-2-甲酰胺系列中的异常氧化二聚反应
ACS Omega. 2021 May 28;6(22):14030-14048. doi: 10.1021/acsomega.1c00341. eCollection 2021 Jun 8.
兔子长期接触血液中定量的吡虫啉会产生遗传毒性作用。
Chemosphere. 2016 Apr;149:108-13. doi: 10.1016/j.chemosphere.2016.01.040. Epub 2016 Feb 5.
4
Novel hydrazone derivatives containing pyridine amide moiety: Design, synthesis, and insecticidal activity.含吡啶酰胺基团的新型腙衍生物:设计、合成及杀虫活性
Bioorg Med Chem Lett. 2016 Feb 15;26(4):1161-4. doi: 10.1016/j.bmcl.2016.01.047. Epub 2016 Jan 18.
5
Systemic insecticides (neonicotinoids and fipronil): trends, uses, mode of action and metabolites.系统性杀虫剂(新烟碱类和氟虫腈):趋势、用途、作用方式及代谢物
Environ Sci Pollut Res Int. 2015 Jan;22(1):5-34. doi: 10.1007/s11356-014-3470-y. Epub 2014 Sep 19.
6
Pyridine derivatives as insecticides. Part 1: synthesis and toxicity of some pyridine derivatives against cowpea aphid, Aphis craccivora Koch (Homoptera: Aphididae).吡啶衍生物作为杀虫剂。第1部分:某些吡啶衍生物对豇豆蚜(豆蚜,同翅目:蚜科)的合成及毒性
J Agric Food Chem. 2014 Oct 15;62(41):9982-6. doi: 10.1021/jf503992y. Epub 2014 Oct 2.
7
Synthesis and luminescent properties and theoretical investigation on electronic structure of nitrile-based 2-pyridone molecules.基于腈的 2-吡啶酮分子的合成、发光性质及电子结构的理论研究。
Spectrochim Acta A Mol Biomol Spectrosc. 2011 Sep;79(5):1926-30. doi: 10.1016/j.saa.2011.05.092. Epub 2011 Jun 1.
8
Mapping the elusive neonicotinoid binding site.绘制难以捉摸的新烟碱类结合位点图谱。
Proc Natl Acad Sci U S A. 2007 May 22;104(21):9075-80. doi: 10.1073/pnas.0703309104. Epub 2007 May 7.
9
Synthesis, insecticidal activity, and QSAR of novel nitromethylene neonicotinoids with tetrahydropyridine fixed cis configuration and exo-ring ether modification.具有四氢吡啶固定顺式构型和外环醚修饰的新型硝基亚甲基新烟碱类化合物的合成、杀虫活性及定量构效关系
J Agric Food Chem. 2007 Mar 21;55(6):2288-92. doi: 10.1021/jf063418a. Epub 2007 Feb 21.
10
Bis-styrylpyridine and bis-styrylbenzene derivatives as inhibitors for Abeta fibril formation.双苯乙烯基吡啶和双苯乙烯基苯衍生物作为β-淀粉样蛋白原纤维形成的抑制剂
Bioorg Med Chem Lett. 2007 Mar 1;17(5):1466-70. doi: 10.1016/j.bmcl.2006.10.090. Epub 2006 Nov 2.