Suppr超能文献

无刺蜂(克卢卢特蜂)多花蜂蜜中蛋白质的纯化与表征

Purification and characterization of proteins in multifloral honey from kelulut bee (stingless bee).

作者信息

Sahlan Muhamad, Mahira Kaysa Faradis, Wiratama Ihsan, Mahadewi Alfiani Guntari, Yohda Masafumi, Hermansyah Heri, Noguchi Keiichi

机构信息

Department of Chemical Engineering, Faculty of Engineering, Universitas Indonesia, Kampus UI, Depok 16424, Indonesia.

Research Center for Biomedical Engineering, Faculty of Engineering, Universitas Indonesia, Kampus UI, Depok 16424, Indonesia.

出版信息

Heliyon. 2019 Nov 16;5(11):e02835. doi: 10.1016/j.heliyon.2019.e02835. eCollection 2019 Nov.

Abstract

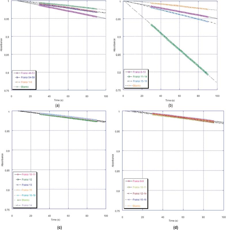
The kelulut bee () is a subfamily of stingless bees that produce honey. A total of 89 species out of a total of 500 species of kelulut bees are known to originate from the Indo-Australian region. Kelulut bees do not have quality standards so they still refer to the Codex and EU Directive which basically only applied for honey. The Codex and EU Directive are formed by several psychochemical parameters, one of it is diastase activity. Diastase activity in kelulut honey is known not to meet existing standards or even undetectable. Therefore, this study aimed to explore proteins inside kelulut honey and investigate the possibility of using a specific protein as a biomarker to differentiate honey produced by kelulut bee from other honey. This research can also be considered as an initial step to optimize the exploration of protein in kelulut honey. This research is divided into two sections which are the preliminary research and the research expansion. From preliminary section, glucose dehydrogenase enzyme (GDH) was found to be present inside spp honey. A further examination of GDH enzyme was made in four kelulut bee honeys namely , , , and . The preliminary research has five stages that are exactly the as expansion research section except it didn't include GDH activity measurement. The research includes seven main stages. First honeys were dialyzed to remove the sugar content followed by centrifugation. The samples were then purified using liquid chromatography with anion exchanger column. The molecular weight of proteins was analysed by SDS-PAGE method. The GDH activity was measured using spectrophotometer followed by qualitative analysis using LC-MS/MS. The peptide sequences resulted from LC-MS/MS were then matched with Uniprot to identify the unknow protein. The results showed that only and had GDH enzyme activity of 0,1891 U/mL and 0,1652-1,579 U/mL, respectively. Bands from both species were also qualitatively identified as GDH. With these results, it can be concluded that the GDH enzyme cannot be used as a biomarker to distinguish the kelulut honey.

摘要

吉露蜂()是无刺蜂的一个亚科,能产蜂蜜。已知在总共500种吉露蜂中,共有89种原产于印度 - 澳大利亚地区。吉露蜂没有质量标准,因此它们仍参照《食品法典》和欧盟指令,而这些基本上仅适用于蜂蜜。《食品法典》和欧盟指令由几个理化参数构成,其中之一是淀粉酶活性。已知吉露蜂蜜中的淀粉酶活性不符合现有标准,甚至无法检测到。因此,本研究旨在探索吉露蜂蜜中的蛋白质,并研究使用特定蛋白质作为生物标志物来区分吉露蜂产的蜂蜜与其他蜂蜜的可能性。本研究也可被视为优化吉露蜂蜜蛋白质探索的第一步。本研究分为两个部分,即初步研究和研究扩展。在初步研究部分,发现葡萄糖脱氢酶(GDH)存在于 spp蜂蜜中。对四种吉露蜂蜜,即 、 、 和 中的GDH酶进行了进一步检测。初步研究有五个阶段,除了不包括GDH活性测量外,与扩展研究部分完全相同。该研究包括七个主要阶段。首先将蜂蜜透析以去除糖分,然后进行离心。接着使用阴离子交换柱通过液相色谱法对样品进行纯化。通过SDS - PAGE法分析蛋白质的分子量。使用分光光度计测量GDH活性,随后使用LC - MS/MS进行定性分析。然后将LC - MS/MS产生的肽序列与Uniprot匹配以鉴定未知蛋白质。结果表明,只有 和 的GDH酶活性分别为0.1891 U/mL和0.1652 - 1.579 U/mL。这两个物种的条带也被定性鉴定为GDH。基于这些结果,可以得出结论,GDH酶不能用作区分吉露蜂蜜的生物标志物。

https://cdn.ncbi.nlm.nih.gov/pmc/blobs/1a4a/6861581/6971caedc69d/gr1.jpg

文献检索

告别复杂PubMed语法,用中文像聊天一样搜索,搜遍4000万医学文献。AI智能推荐,让科研检索更轻松。

立即免费搜索

文件翻译

保留排版,准确专业,支持PDF/Word/PPT等文件格式,支持 12+语言互译。

免费翻译文档

深度研究

AI帮你快速写综述,25分钟生成高质量综述,智能提取关键信息,辅助科研写作。

立即免费体验