Suppr超能文献

单克隆抗体的微波辅助冷冻干燥:产品质量方面及储存稳定性

Microwave-Assisted Freeze-Drying of Monoclonal Antibodies: Product Quality Aspects and Storage Stability.

作者信息

Gitter Julian Hendryk, Geidobler Raimund, Presser Ingo, Winter Gerhard

机构信息

Department of Pharmacy, Pharmaceutical Technology and Biopharmaceutics, Ludwig-Maximilians-Universität München, 81377 Munich, Germany.

Boehringer Ingelheim Pharma GmbH & Co. KG, Pharmaceutical Development Biologicals, 88397 Biberach an der Riß, Germany.

出版信息

Pharmaceutics. 2019 Dec 12;11(12):674. doi: 10.3390/pharmaceutics11120674.

Abstract

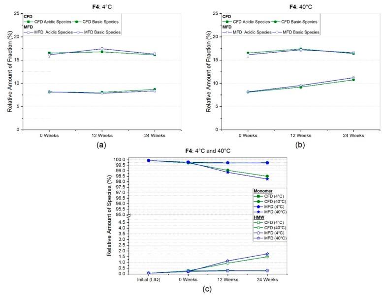
In order to overcome the downside of long conventional freeze-drying (CFD) process times for monoclonal antibody formulations, microwave-assisted freeze-drying (MFD) was introduced. Recently, the general applicability and potential shortening of drying times were shown. However, little is known about the storage stability of MFD products compared to CFD references. Additionally, batch homogeneity issues were seen within MFD in the past. In this study, we examined four different formulations of two different monoclonal antibodies using three different glass-forming excipients: sucrose, trehalose, and arginine phosphate. These formulations were freeze-dried with two different drying protocols (CFD and MFD), stored for 24 weeks, and analyzed for solid-state and protein-related quality attributes. Moreover, a new microwave generator setup was investigated for its potential to improve batch homogeneity. In all investigated formulations, comparable stability profiles were found, although the classical magnetron generator led to inferior batch homogeneity with respect to residual moisture distribution. In contrast, the new MFD setup indicated the potential to approximate batch homogeneity to the level of CFD. However, for future applications, there is an unabated need for new machine designs to comply with pharmaceutical manufacturing requirements.

摘要

为了克服单克隆抗体制剂传统冷冻干燥(CFD)过程时间长的缺点,引入了微波辅助冷冻干燥(MFD)。最近,已证明其具有普遍适用性和潜在的干燥时间缩短效果。然而,与CFD对照品相比,关于MFD产品的储存稳定性知之甚少。此外,过去在MFD过程中出现了批次均匀性问题。在本研究中,我们使用三种不同的玻璃形成赋形剂:蔗糖、海藻糖和磷酸精氨酸,研究了两种不同单克隆抗体的四种不同制剂。这些制剂采用两种不同的干燥方案(CFD和MFD)进行冷冻干燥,储存24周,并分析其固态和蛋白质相关的质量属性。此外,还研究了一种新的微波发生器设置改善批次均匀性的潜力。在所有研究的制剂中,发现了相当的稳定性概况,尽管经典磁控管发生器在残留水分分布方面导致批次均匀性较差。相比之下,新的MFD设置显示出将批次均匀性接近CFD水平的潜力。然而,对于未来的应用,仍迫切需要新的机器设计以符合药品生产要求。

https://cdn.ncbi.nlm.nih.gov/pmc/blobs/b749/6956074/c650a4b7bbdb/pharmaceutics-11-00674-g001.jpg

文献AI研究员

20分钟写一篇综述,助力文献阅读效率提升50倍。

立即体验

用中文搜PubMed

大模型驱动的PubMed中文搜索引擎

马上搜索

文档翻译

学术文献翻译模型,支持多种主流文档格式。

立即体验