• 文献检索
  • 文档翻译
  • 深度研究
  • 学术资讯
  • Suppr Zotero 插件Zotero 插件
  • 邀请有礼
  • 套餐&价格
  • 历史记录
应用&插件
Suppr Zotero 插件Zotero 插件浏览器插件Mac 客户端Windows 客户端微信小程序
定价
高级版会员购买积分包购买API积分包
服务
文献检索文档翻译深度研究API 文档MCP 服务
关于我们
关于 Suppr公司介绍联系我们用户协议隐私条款
关注我们

Suppr 超能文献

核心技术专利:CN118964589B侵权必究
粤ICP备2023148730 号-1Suppr @ 2026

文献检索

告别复杂PubMed语法,用中文像聊天一样搜索,搜遍4000万医学文献。AI智能推荐,让科研检索更轻松。

立即免费搜索

文件翻译

保留排版,准确专业,支持PDF/Word/PPT等文件格式,支持 12+语言互译。

免费翻译文档

深度研究

AI帮你快速写综述,25分钟生成高质量综述,智能提取关键信息,辅助科研写作。

立即免费体验

ADP 和吗啉核苷缀合物的设计、合成及分子模拟研究:作为 PARP-1、PARP-2 和 PARP-3 新型抑制剂。

Design, Synthesis and Molecular Modeling Study of Conjugates of ADP and Morpholino Nucleosides as A Novel Class of Inhibitors of PARP-1, PARP-2 and PARP-3.

机构信息

Institute of Chemical Biology and Fundamental Medicine SB RAS, Lavrent'ev Ave, 8, 630090 Novosibirsk, Russia.

Federal Research Centre, Institute of Cytology and Genetics SB RAS, Lavrent'ev Ave, 10, 630090 Novosibirsk, Russia.

出版信息

Int J Mol Sci. 2019 Dec 27;21(1):214. doi: 10.3390/ijms21010214.

DOI:10.3390/ijms21010214
PMID:31892271
原文链接:https://pmc.ncbi.nlm.nih.gov/articles/PMC6982223/
Abstract

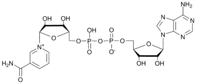
We report on the design, synthesis and molecular modeling study of conjugates of adenosine diphosphate (ADP) and morpholino nucleosides as potential selective inhibitors of poly(ADP-ribose)polymerases-1, 2 and 3. Sixteen dinucleoside pyrophosphates containing natural heterocyclic bases as well as 5-haloganeted pyrimidines, and mimicking a main substrate of these enzymes, nicotinamide adenine dinucleotide (NAD+)-molecule, have been synthesized in a high yield. Morpholino nucleosides have been tethered to the β-phosphate of ADP via a phosphoester or phosphoramide bond. Screening of the inhibiting properties of these derivatives on the autopoly(ADP-ribosyl)ation of PARP-1 and PARP-2 has shown that the effect depends upon the type of nucleobase as well as on the linkage between ADP and morpholino nucleoside. The 5-iodination of uracil and the introduction of the P-N bond in NAD+-mimetics have shown to increase inhibition properties. Structural modeling suggested that the P-N bond can stabilize the pyrophosphate group in active conformation due to the formation of an intramolecular hydrogen bond. The most active NAD+ analog against PARP-1 contained 5-iodouracil 2'-aminomethylmorpholino nucleoside with IC50 126 ± 6 μM, while in the case of PARP-2 it was adenine 2'-aminomethylmorpholino nucleoside (IC50 63 ± 10 μM). In silico analysis revealed that thymine and uracil-based NAD+ analogs were recognized as the NAD+-analog that targets the nicotinamide binding site. On the contrary, the adenine 2'-aminomethylmorpholino nucleoside-based NAD+ analogs were predicted to identify as PAR-analogs that target the acceptor binding site of PARP-2, representing a novel molecular mechanism for selective PARP inhibition. This discovery opens a new avenue for the rational design of PARP-1/2 specific inhibitors.

摘要

我们报告了腺嘌呤二核苷酸(ADP)和吗啉核苷缀合物的设计、合成和分子建模研究,这些缀合物作为聚(ADP-核糖)聚合酶-1、2 和 3 的潜在选择性抑制剂。十六个包含天然杂环碱基的二核苷焦磷酸盐以及模拟这些酶的主要底物烟酰胺腺嘌呤二核苷酸(NAD+)分子的 5-卤代嘧啶已通过高收率合成。通过磷酸酯或磷酰胺键将吗啉核苷连接到 ADP 的 β-磷酸上。对这些衍生物对 PARP-1 和 PARP-2 自身多聚(ADP-核糖基)化的抑制特性进行筛选表明,这种作用取决于碱基的类型以及 ADP 和吗啉核苷之间的连接。尿嘧啶的 5-碘化和 NAD+模拟物中 P-N 键的引入表明抑制特性增加。结构建模表明,P-N 键可以通过形成分子内氢键稳定活性构象中的焦磷酸盐基团。对 PARP-1 最有效的 NAD+类似物含有 5-碘尿嘧啶 2'-氨甲基吗啉核苷,IC50 为 126 ± 6 μM,而对 PARP-2 则为腺嘌呤 2'-氨甲基吗啉核苷(IC50 为 63 ± 10 μM)。计算机分析表明,胸腺嘧啶和尿嘧啶基 NAD+类似物被识别为靶向烟酰胺结合位点的 NAD+-类似物。相反,预测腺嘌呤 2'-氨甲基吗啉核苷基 NAD+类似物被鉴定为靶向 PARP-2 受体结合位点的 PAR 类似物,代表了 PARP 抑制的新分子机制。这一发现为 PARP-1/2 特异性抑制剂的合理设计开辟了新途径。

https://cdn.ncbi.nlm.nih.gov/pmc/blobs/f7e8/6982223/bfb33f3f1f17/ijms-21-00214-g008.jpg
https://cdn.ncbi.nlm.nih.gov/pmc/blobs/f7e8/6982223/9cac1353e609/ijms-21-00214-g001.jpg
https://cdn.ncbi.nlm.nih.gov/pmc/blobs/f7e8/6982223/f7a995f521df/ijms-21-00214-g002.jpg
https://cdn.ncbi.nlm.nih.gov/pmc/blobs/f7e8/6982223/990b599bd188/ijms-21-00214-sch001.jpg
https://cdn.ncbi.nlm.nih.gov/pmc/blobs/f7e8/6982223/7f76852fe089/ijms-21-00214-sch002.jpg
https://cdn.ncbi.nlm.nih.gov/pmc/blobs/f7e8/6982223/daede8475055/ijms-21-00214-g003.jpg
https://cdn.ncbi.nlm.nih.gov/pmc/blobs/f7e8/6982223/4e8512b9ba56/ijms-21-00214-g004.jpg
https://cdn.ncbi.nlm.nih.gov/pmc/blobs/f7e8/6982223/a8df68979e55/ijms-21-00214-g005.jpg
https://cdn.ncbi.nlm.nih.gov/pmc/blobs/f7e8/6982223/93f63d292cb6/ijms-21-00214-g006.jpg
https://cdn.ncbi.nlm.nih.gov/pmc/blobs/f7e8/6982223/58958e13acf1/ijms-21-00214-g007.jpg
https://cdn.ncbi.nlm.nih.gov/pmc/blobs/f7e8/6982223/bfb33f3f1f17/ijms-21-00214-g008.jpg
https://cdn.ncbi.nlm.nih.gov/pmc/blobs/f7e8/6982223/9cac1353e609/ijms-21-00214-g001.jpg
https://cdn.ncbi.nlm.nih.gov/pmc/blobs/f7e8/6982223/f7a995f521df/ijms-21-00214-g002.jpg
https://cdn.ncbi.nlm.nih.gov/pmc/blobs/f7e8/6982223/990b599bd188/ijms-21-00214-sch001.jpg
https://cdn.ncbi.nlm.nih.gov/pmc/blobs/f7e8/6982223/7f76852fe089/ijms-21-00214-sch002.jpg
https://cdn.ncbi.nlm.nih.gov/pmc/blobs/f7e8/6982223/daede8475055/ijms-21-00214-g003.jpg
https://cdn.ncbi.nlm.nih.gov/pmc/blobs/f7e8/6982223/4e8512b9ba56/ijms-21-00214-g004.jpg
https://cdn.ncbi.nlm.nih.gov/pmc/blobs/f7e8/6982223/a8df68979e55/ijms-21-00214-g005.jpg
https://cdn.ncbi.nlm.nih.gov/pmc/blobs/f7e8/6982223/93f63d292cb6/ijms-21-00214-g006.jpg
https://cdn.ncbi.nlm.nih.gov/pmc/blobs/f7e8/6982223/58958e13acf1/ijms-21-00214-g007.jpg
https://cdn.ncbi.nlm.nih.gov/pmc/blobs/f7e8/6982223/bfb33f3f1f17/ijms-21-00214-g008.jpg

相似文献

1
Design, Synthesis and Molecular Modeling Study of Conjugates of ADP and Morpholino Nucleosides as A Novel Class of Inhibitors of PARP-1, PARP-2 and PARP-3.ADP 和吗啉核苷缀合物的设计、合成及分子模拟研究:作为 PARP-1、PARP-2 和 PARP-3 新型抑制剂。
Int J Mol Sci. 2019 Dec 27;21(1):214. doi: 10.3390/ijms21010214.
2
Poly(ADP-ribose) Polymerase (PARP) and PARP Inhibitors: Mechanisms of Action and Role in Cardiovascular Disorders.聚(ADP-核糖)聚合酶(PARP)和 PARP 抑制剂:作用机制及在心血管疾病中的作用。
Cardiovasc Toxicol. 2018 Dec;18(6):493-506. doi: 10.1007/s12012-018-9462-2.
3
Chemical genetic discovery of PARP targets reveals a role for PARP-1 in transcription elongation.聚(ADP-核糖)聚合酶(PARP)靶点的化学遗传学发现揭示了PARP-1在转录延伸中的作用。
Science. 2016 Jul 1;353(6294):45-50. doi: 10.1126/science.aaf7865. Epub 2016 Jun 2.
4
Using Clickable NAD Analogs to Label Substrate Proteins of PARPs.使用可点击的NAD类似物标记PARP的底物蛋白。
Methods Mol Biol. 2017;1608:95-109. doi: 10.1007/978-1-4939-6993-7_8.
5
Poly(ADP-ribosyl)ation enhancement in brain cell nuclei is associated with diabetic neuropathy.脑细胞核中多聚(ADP - 核糖基)化增强与糖尿病性神经病变相关。
J Diabetes Complications. 2004 Jul-Aug;18(4):198-204. doi: 10.1016/S1056-8727(03)00039-4.
6
Identifying Direct Protein Targets of Poly-ADP-Ribose Polymerases (PARPs) Using Engineered PARP Variants-Orthogonal Nicotinamide Adenine Dinucleotide (NAD+) Analog Pairs.使用工程化聚(ADP-核糖)聚合酶(PARP)变体-正交烟酰胺腺嘌呤二核苷酸(NAD+)类似物对鉴定PARP的直接蛋白质靶点
Curr Protoc Chem Biol. 2015 Jun 1;7(2):121-39. doi: 10.1002/9780470559277.ch140259.
7
A versatile strategy for the design and synthesis of novel ADP conjugates and their evaluation as potential poly(ADP-ribose) polymerase 1 inhibitors.一种用于设计和合成新型ADP缀合物及其作为潜在聚(ADP-核糖)聚合酶1抑制剂评估的通用策略。
Mol Divers. 2017 Feb;21(1):101-113. doi: 10.1007/s11030-016-9703-x. Epub 2016 Sep 27.
8
NAD+ analogs substituted in the purine base as substrates for poly(ADP-ribosyl) transferase.在嘌呤碱基中被取代的NAD+类似物作为聚(ADP-核糖)转移酶的底物。
FEBS Lett. 1996 Nov 11;397(1):17-21. doi: 10.1016/s0014-5793(96)01137-4.
9
Sirtuins are Unaffected by PARP Inhibitors Containing Planar Nicotinamide Bioisosteres.沉默调节蛋白不受含平面烟酰胺生物电子等排体的聚(ADP-核糖)聚合酶抑制剂的影响。
Chem Biol Drug Des. 2016 Mar;87(3):478-82. doi: 10.1111/cbdd.12680. Epub 2015 Nov 26.
10
Chain length analysis of ADP-ribose polymers generated by poly(ADP-ribose) polymerase (PARP) as a function of beta-NAD+ and enzyme concentrations.聚(ADP-核糖)聚合酶(PARP)生成的ADP-核糖聚合物的链长分析,作为β-NAD⁺和酶浓度的函数。
IUBMB Life. 2000 Aug;50(2):145-9. doi: 10.1080/713803695.

引用本文的文献

1
Aminomethylmorpholino Nucleosides as Novel Inhibitors of PARP1 and PARP2: Experimental and Molecular Modeling Analyses of Their Selectivity and Mechanism of Action.氨甲基吗啉代核苷作为PARP1和PARP2的新型抑制剂:其选择性及作用机制的实验与分子模拟分析
Int J Mol Sci. 2024 Nov 22;25(23):12526. doi: 10.3390/ijms252312526.
2
Inhibition of DNA Repair Enzymes as a Valuable Pharmaceutical Approach.抑制 DNA 修复酶:一种有价值的药物研发途径
Int J Mol Sci. 2023 Apr 27;24(9):7954. doi: 10.3390/ijms24097954.
3
Design of the New -Dodecarborate-Containing Gemcitabine Analogue for the Albumin-Based Theranostics Composition.

本文引用的文献

1
Evidence to date: talazoparib in the treatment of breast cancer.迄今证据:他拉唑帕尼治疗乳腺癌
Onco Targets Ther. 2019 Jul 2;12:5177-5187. doi: 10.2147/OTT.S184971. eCollection 2019.
2
PARP3 inhibitors ME0328 and olaparib potentiate vinorelbine sensitization in breast cancer cell lines.PARP3 抑制剂 ME0328 和奥拉帕利增强长春瑞滨在乳腺癌细胞系中的增敏作用。
Breast Cancer Res Treat. 2018 Nov;172(1):23-32. doi: 10.1007/s10549-018-4888-6. Epub 2018 Jul 23.
3
Dna is a New Target of Parp3.DNA 是 PARP3 的新靶点。
含新型十二硼烷的吉西他滨类似物的设计用于基于白蛋白的治疗组合物。
Molecules. 2023 Mar 15;28(6):2672. doi: 10.3390/molecules28062672.
4
The Lipophilic Purine Nucleoside-Tdp1 Inhibitor-Enhances DNA Damage Induced by Topotecan In Vitro and Potentiates the Antitumor Effect of Topotecan In Vivo.疏水性嘌呤核苷-Tdp1 抑制剂增强拓扑替康在体外诱导的 DNA 损伤,并增强拓扑替康在体内的抗肿瘤作用。
Molecules. 2022 Dec 31;28(1):323. doi: 10.3390/molecules28010323.
5
Comparative differential cytotoxicity of clinically used SERMs in human cancer lines of different origin and its predictive molecular docking studies of key target genes involved in cancer progression and treatment responses.临床使用的选择性雌激素受体调节剂在不同来源的人类癌细胞系中的比较差异细胞毒性及其对癌症进展和治疗反应中关键靶基因的预测性分子对接研究。
Curr Res Pharmacol Drug Discov. 2021 Dec 31;3:100080. doi: 10.1016/j.crphar.2021.100080. eCollection 2022.
6
New Hybrid Compounds Combining Fragments of Usnic Acid and Thioether Are Inhibitors of Human Enzymes TDP1, TDP2 and PARP1.新型杂合化合物将地衣酸和硫醚片段结合,是人类酶 TDP1、TDP2 和 PARP1 的抑制剂。
Int J Mol Sci. 2021 Oct 20;22(21):11336. doi: 10.3390/ijms222111336.
7
ADP-Ribosylation as Post-Translational Modification of Proteins: Use of Inhibitors in Cancer Control.ADP-核糖基化作为蛋白质的翻译后修饰:抑制剂在癌症控制中的应用。
Int J Mol Sci. 2021 Oct 7;22(19):10829. doi: 10.3390/ijms221910829.
8
Poly(ADP-Ribosyl) Code Functions.聚(ADP-核糖基)编码功能
Acta Naturae. 2021 Apr-Jun;13(2):58-69. doi: 10.32607/actanaturae.11089.
9
Poly(ADP-ribose) polymerase inhibition: past, present and future.聚(ADP-核糖)聚合酶抑制:过去、现在和未来。
Nat Rev Drug Discov. 2020 Oct;19(10):711-736. doi: 10.1038/s41573-020-0076-6. Epub 2020 Sep 3.
Sci Rep. 2018 Mar 8;8(1):4176. doi: 10.1038/s41598-018-22673-3.
4
NAD analog reveals PARP-1 substrate-blocking mechanism and allosteric communication from catalytic center to DNA-binding domains.NAD 类似物揭示了 PARP-1 底物阻断机制和从催化中心到 DNA 结合结构域的变构通讯。
Nat Commun. 2018 Feb 27;9(1):844. doi: 10.1038/s41467-018-03234-8.
5
A rapid fluorescent method for the real-time measurement of poly(ADP-ribose) polymerase 1 activity.一种用于实时测量聚(ADP-核糖)聚合酶1活性的快速荧光方法。
Anal Biochem. 2018 Mar 15;545:91-97. doi: 10.1016/j.ab.2017.12.033. Epub 2018 Jan 8.
6
ADP-Ribosylation, a Multifaceted Posttranslational Modification Involved in the Control of Cell Physiology in Health and Disease.ADP-核糖基化,一种参与健康与疾病状态下细胞生理调控的多层面翻译后修饰。
Chem Rev. 2018 Feb 14;118(3):1092-1136. doi: 10.1021/acs.chemrev.7b00122. Epub 2017 Nov 27.
7
Current status of poly(ADP-ribose) polymerase inhibitors and future directions.聚(ADP - 核糖)聚合酶抑制剂的现状与未来发展方向
Onco Targets Ther. 2017 Oct 26;10:5195-5208. doi: 10.2147/OTT.S139336. eCollection 2017.
8
Targeted therapy for ovarian cancer: the rapidly evolving landscape of PARP inhibitor use.卵巢癌的靶向治疗:PARP抑制剂应用的快速演变格局
Minerva Ginecol. 2018 Apr;70(2):150-170. doi: 10.23736/S0026-4784.17.04152-1. Epub 2017 Oct 9.
9
Modulating NAD metabolism, from bench to bedside.从实验室到临床:调节NAD代谢
EMBO J. 2017 Sep 15;36(18):2670-2683. doi: 10.15252/embj.201797135. Epub 2017 Aug 7.
10
Concurrent Hydrogenation of Three Functional Groups Enables Synthesis of C3'-Homologated Nucleoside Amino Acids.同时氢化三个官能团可合成 C3'-同系化核苷氨基酸。
Org Lett. 2017 Aug 4;19(15):4122-4125. doi: 10.1021/acs.orglett.7b01934. Epub 2017 Jul 21.