Suppr超能文献

测定有和无尿石症的雄性迷你雪纳瑞犬餐前和餐后尿钙/肌酐比值。

Measurement of preprandial and postprandial urine calcium to creatinine ratios in male Miniature Schnauzers with and without urolithiasis.

机构信息

Department of Small Animal Clinical Sciences, Virginia-Maryland College of Veterinary Medicine, Virginia Tech, Blacksburg, Virginia.

Department of Large Animal Clinical Sciences, Virginia-Maryland College of Veterinary Medicine, Virginia Tech, Blacksburg, Virginia.

出版信息

J Vet Intern Med. 2020 Mar;34(2):754-760. doi: 10.1111/jvim.15690. Epub 2020 Jan 11.

Abstract

BACKGROUND

We aimed to identify a simple test for excessive calciuresis and predict calcium oxalate (CaOx) disease in Miniature Schnauzers. We investigated the impact of postprandial time on the urine calcium to creatinine ratio (UCa/Cr) in male dogs of this breed, with the goal of improving the utility of the UCa/Cr.

HYPOTHESES

(1) Significant differences will exist in preprandial and postprandial UCa/Cr between CaOx urolith-forming and control Schnauzers. (2) The UCa/Cr will increase significantly from the first morning baseline at ≥1 postprandial time point(s) in both control and CaOx urolith-forming dogs. (3) Biochemical abnormalities and other variables may be associated with urolith status.

ANIMALS

Twenty-four male Miniature Schnauzer dogs, consisting of 9 with (urolith formers) and 15 without (controls) CaOx uroliths.

METHODS

Urine was collected before and 1, 2, 4, and 8 hours after feeding a standardized diet. Receiver operator characteristic curve analysis was performed to identify the UCa/Cr cutoff that most accurately differentiates dogs based on urolith status.

RESULTS

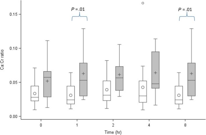
Urolith formers had significantly higher mean UCa/Cr over the course of 8 hours. The postprandial change in UCa/Cr was not significant at any time point between or within groups. The cutoff UCa/Cr value of 0.06 had a specificity of 93% (95% confidence interval [CI], 80%-100%) and a sensitivity of 56% (95% CI, 21%-86%) for identifying CaOx urolithiasis.

CONCLUSIONS AND CLINICAL IMPORTANCE

Urolith-forming male Miniature Schnauzers have excessive calciuresis, and the postprandial sampling time up to 8 hours is not critical. This simple urine measurement has potential as a marker of CaOx disease.

摘要

背景

我们旨在确定一种简单的方法来检测过度钙排泄,并预测迷你雪纳瑞犬的草酸钙(CaOx)疾病。我们研究了餐后时间对该品种雄性犬尿钙与肌酐比值(UCa/Cr)的影响,以期提高 UCa/Cr 的实用性。

假设

(1)在形成草酸钙结石和对照组的雪纳瑞犬中,餐前和餐后 UCa/Cr 存在显著差异。(2)在对照组和形成草酸钙结石的犬中,从第一个早晨基线开始,至少有 1 个餐后时间点,UCa/Cr 将显著增加。(3)生化异常和其他变量可能与结石状态相关。

动物

24 只雄性迷你雪纳瑞犬,包括 9 只有(结石形成者)和 15 只无(对照组)草酸钙结石的犬。

方法

在喂食标准化饮食前后 1、2、4 和 8 小时采集尿液。进行接受者操作特征曲线分析,以确定最准确区分结石状态的 UCa/Cr 截止值。

结果

结石形成者在 8 小时的过程中 UCa/Cr 的平均值明显更高。在组间或组内的任何时间点,餐后 UCa/Cr 的变化均不显著。0.06 的 UCa/Cr 截止值对识别草酸钙结石的特异性为 93%(95%可信区间[CI],80%-100%),敏感性为 56%(95%CI,21%-86%)。

结论和临床意义

形成结石的雄性迷你雪纳瑞犬存在过度钙排泄,8 小时内的餐后采样时间并不关键。这种简单的尿液测量方法具有作为草酸钙疾病标志物的潜力。

https://cdn.ncbi.nlm.nih.gov/pmc/blobs/8baf/7096641/97592f15a721/JVIM-34-754-g001.jpg

相似文献

3
Characterization of the urogenital microbiome in Miniature Schnauzers with and without calcium oxalate urolithiasis.
J Vet Intern Med. 2022 Jul;36(4):1341-1352. doi: 10.1111/jvim.16482. Epub 2022 Jul 7.
4
Comparison of body condition score and urinalysis variables between dogs with and without calcium oxalate uroliths.
J Am Vet Med Assoc. 2016 Dec 1;249(11):1274-1280. doi: 10.2460/javma.249.11.1274.
6
Bone resorption in dogs with calcium oxalate urolithiasis and idiopathic hypercalciuria.
Res Vet Sci. 2019 Apr;123:129-134. doi: 10.1016/j.rvsc.2019.01.001. Epub 2019 Jan 4.
8
Epidemiologic evaluation of calcium oxalate urolithiasis in dogs in the United States: 2010-2015.
J Vet Intern Med. 2019 Sep;33(5):2090-2095. doi: 10.1111/jvim.15613. Epub 2019 Aug 30.
9
Risk factors associated with calcium oxalate urolithiasis in dogs evaluated at general care veterinary hospitals in the United States.
Prev Vet Med. 2014 Aug 1;115(3-4):217-28. doi: 10.1016/j.prevetmed.2014.04.006. Epub 2014 Apr 29.
10
Effects of diet on urine composition of cats with calcium oxalate urolithiasis.
J Am Anim Hosp Assoc. 2004 May-Jun;40(3):185-91. doi: 10.5326/0400185.

引用本文的文献

1
Estimates of Urinary Calcium Excretion in Dogs With and Without Calcium Oxalate Urolithiasis.
J Vet Intern Med. 2025 Sep-Oct;39(5):e70224. doi: 10.1111/jvim.70224.
2
A urinary proteomic study in hypercalciuric dogs with and without calcium oxalate urolithiasis.
Vet World. 2022 Dec;15(12):2937-2944. doi: 10.14202/vetworld.2022.2937-2944. Epub 2022 Dec 27.
4
The association between single nucleotide polymorphism in vitamin D receptor and calcium oxalate urolithiasis in dogs.
J Vet Intern Med. 2021 Sep;35(5):2263-2270. doi: 10.1111/jvim.16225. Epub 2021 Jul 28.
5
Urolithiasis in dogs: Evaluation of trends in urolith composition and risk factors (2006-2018).
J Vet Intern Med. 2021 May;35(3):1406-1415. doi: 10.1111/jvim.16114. Epub 2021 May 7.
6
Animal models of naturally occurring stone disease.
Nat Rev Urol. 2020 Dec;17(12):691-705. doi: 10.1038/s41585-020-00387-4. Epub 2020 Nov 6.

本文引用的文献

1
Comparison of body condition score and urinalysis variables between dogs with and without calcium oxalate uroliths.
J Am Vet Med Assoc. 2016 Dec 1;249(11):1274-1280. doi: 10.2460/javma.249.11.1274.
2
Associations of diet and breed with recurrence of calcium oxalate cystic calculi in dogs.
J Am Vet Med Assoc. 2015 May 15;246(10):1098-103. doi: 10.2460/javma.246.10.1098.
4
Random urinary calcium/creatinine ratio for screening hypercalciuria in children with hematuria.
Ann Lab Med. 2013 Nov;33(6):401-5. doi: 10.3343/alm.2013.33.6.401. Epub 2013 Oct 17.
6
Fasting and postprandial spot urine calcium-to-creatinine ratios do not detect hypercalciuria.
Osteoporos Int. 2012 Feb;23(2):553-62. doi: 10.1007/s00198-011-1580-7. Epub 2011 Feb 24.
7
Quantification of hypercalciuria with the urine calcium osmolality ratio in children.
Pediatr Nephrol. 2005 Nov;20(11):1562-5. doi: 10.1007/s00467-005-1992-8. Epub 2005 Aug 23.
8
Risk factor analysis and relative supersaturation as tools for identifying calcium oxalate stone-forming dogs.
J Small Anim Pract. 2003 Nov;44(11):491-6. doi: 10.1111/j.1748-5827.2003.tb00109.x.
9
Effects of hydrochlorothiazide and diet in dogs with calcium oxalate urolithiasis.
J Am Vet Med Assoc. 2001 May 15;218(10):1583-6. doi: 10.2460/javma.2001.218.1583.
10
Patient and environmental factors associated with calcium oxalate urolithiasis in dogs.
J Am Vet Med Assoc. 2000 Aug 15;217(4):515-9. doi: 10.2460/javma.2000.217.515.

文献AI研究员

20分钟写一篇综述,助力文献阅读效率提升50倍。

立即体验

用中文搜PubMed

大模型驱动的PubMed中文搜索引擎

马上搜索

文档翻译

学术文献翻译模型,支持多种主流文档格式。

立即体验