• 文献检索
  • 文档翻译
  • 深度研究
  • 学术资讯
  • Suppr Zotero 插件Zotero 插件
  • 邀请有礼
  • 套餐&价格
  • 历史记录
应用&插件
Suppr Zotero 插件Zotero 插件浏览器插件Mac 客户端Windows 客户端微信小程序
定价
高级版会员购买积分包购买API积分包
服务
文献检索文档翻译深度研究API 文档MCP 服务
关于我们
关于 Suppr公司介绍联系我们用户协议隐私条款
关注我们

Suppr 超能文献

核心技术专利:CN118964589B侵权必究
粤ICP备2023148730 号-1Suppr @ 2026

文献检索

告别复杂PubMed语法,用中文像聊天一样搜索,搜遍4000万医学文献。AI智能推荐,让科研检索更轻松。

立即免费搜索

文件翻译

保留排版,准确专业,支持PDF/Word/PPT等文件格式,支持 12+语言互译。

免费翻译文档

深度研究

AI帮你快速写综述,25分钟生成高质量综述,智能提取关键信息,辅助科研写作。

立即免费体验

白细胞端粒长度与 3 项纵向研究中成年参与者死亡率的关联。

Association of Leukocyte Telomere Length With Mortality Among Adult Participants in 3 Longitudinal Studies.

机构信息

Biodemography of Aging Research Unit, Social Science Research Institute, Duke University, Durham, North Carolina.

Groningen Institute for Evolutionary Life Sciences, University of Groningen, the Netherlands.

出版信息

JAMA Netw Open. 2020 Feb 5;3(2):e200023. doi: 10.1001/jamanetworkopen.2020.0023.

DOI:10.1001/jamanetworkopen.2020.0023
PMID:32101305
原文链接:https://pmc.ncbi.nlm.nih.gov/articles/PMC7137690/
Abstract

IMPORTANCE

Leukocyte telomere length (LTL) is a trait associated with risk of cardiovascular disease and cancer, the 2 major disease categories that largely define longevity in the United States. However, it remains unclear whether LTL is associated with the human life span.

OBJECTIVE

To examine whether LTL is associated with the life span of contemporary humans.

DESIGN, SETTING, AND PARTICIPANTS: This cohort study included 3259 adults of European ancestry from the Cardiovascular Health Study (CHS), Framingham Heart Study (FHS), and Women's Health Initiative (WHI). Leukocyte telomere length was measured in 1992 and 1997 in the CHS, from 1995 to 1998 in the FHS, and from 1993 to 1998 in the WHI. Data analysis was conducted from February 2017 to December 2019.

MAIN OUTCOMES AND MEASURES

Death and LTL, measured by Southern blots of the terminal restriction fragments, were the main outcomes. Cause of death was adjudicated by end point committees.

RESULTS

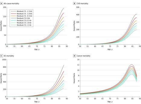
The analyzed sample included 3259 participants (2342 [71.9%] women), with a median (range) age of 69.0 (50.0-98.0) years at blood collection. The median (range) follow-up until death was 10.9 (0.2-23.0) years in CHS, 19.7 (3.4-23.0) years in FHS, and 16.6 (0.5-20.0) years in WHI. During follow-up, there were 1525 deaths (482 [31.6%] of cardiovascular disease; 373 [24.5%] of cancer, and 670 [43.9%] of other or unknown causes). Short LTL, expressed in residual LTL, was associated with increased mortality risk. Overall, the hazard ratio for all-cause mortality for a 1-kilobase decrease in LTL was 1.34 (95% CI, 1.21-1.47). This association was stronger for noncancer causes of death (cardiovascular death: hazard ratio, 1.28; 95% CI, 1.08-1.52; cancer: hazard ratio, 1.13; 95% CI, 0.93-1.36; and other causes: hazard ratio, 1.53; 95% CI, 1.32-1.77).

CONCLUSIONS AND RELEVANCE

The results of this study indicate that LTL is associated with a natural life span limit in contemporary humans.

摘要

重要性

白细胞端粒长度 (LTL) 是与心血管疾病和癌症风险相关的特征,这是在美国定义长寿的两个主要疾病类别。然而,LTL 是否与人类寿命有关仍不清楚。

目的

研究 LTL 是否与当代人类的寿命有关。

设计、地点和参与者:本队列研究纳入了来自心血管健康研究 (CHS)、弗雷明汉心脏研究 (FHS) 和妇女健康倡议 (WHI) 的 3259 名欧洲血统的成年人。LTL 于 1992 年和 1997 年在 CHS 中、1995 年至 1998 年在 FHS 中以及 1993 年至 1998 年在 WHI 中进行了测量。数据分析于 2017 年 2 月至 2019 年 12 月进行。

主要结果和措施

死亡和 LTL 通过端粒限制片段的 Southern 印迹进行测量,是主要结果。终点委员会对死因进行了裁决。

结果

分析样本包括 3259 名参与者(2342 [71.9%] 名女性),采血时的中位(范围)年龄为 69.0(50.0-98.0)岁。CHS 中位(范围)随访至死亡时间为 10.9(0.2-23.0)年,FHS 为 19.7(3.4-23.0)年,WHI 为 16.6(0.5-20.0)年。随访期间,有 1525 人死亡(482 [31.6%] 死于心血管疾病;373 [24.5%] 死于癌症,670 [43.9%] 死于其他或未知原因)。LTL 短,用剩余 LTL 表示,与死亡率增加相关。总体而言,LTL 每减少 1 千碱基,全因死亡率的风险比为 1.34(95%CI,1.21-1.47)。这种关联在非癌症死亡原因中更强(心血管死亡:风险比,1.28;95%CI,1.08-1.52;癌症:风险比,1.13;95%CI,0.93-1.36;其他原因:风险比,1.53;95%CI,1.32-1.77)。

结论和相关性

这项研究的结果表明,LTL 与当代人类的自然寿命限制有关。

https://cdn.ncbi.nlm.nih.gov/pmc/blobs/e943/7137690/cb9bfde9872c/jamanetwopen-3-e200023-g004.jpg
https://cdn.ncbi.nlm.nih.gov/pmc/blobs/e943/7137690/25b72534fd27/jamanetwopen-3-e200023-g001.jpg
https://cdn.ncbi.nlm.nih.gov/pmc/blobs/e943/7137690/129e28497068/jamanetwopen-3-e200023-g002.jpg
https://cdn.ncbi.nlm.nih.gov/pmc/blobs/e943/7137690/9ff07e9aa006/jamanetwopen-3-e200023-g003.jpg
https://cdn.ncbi.nlm.nih.gov/pmc/blobs/e943/7137690/cb9bfde9872c/jamanetwopen-3-e200023-g004.jpg
https://cdn.ncbi.nlm.nih.gov/pmc/blobs/e943/7137690/25b72534fd27/jamanetwopen-3-e200023-g001.jpg
https://cdn.ncbi.nlm.nih.gov/pmc/blobs/e943/7137690/129e28497068/jamanetwopen-3-e200023-g002.jpg
https://cdn.ncbi.nlm.nih.gov/pmc/blobs/e943/7137690/9ff07e9aa006/jamanetwopen-3-e200023-g003.jpg
https://cdn.ncbi.nlm.nih.gov/pmc/blobs/e943/7137690/cb9bfde9872c/jamanetwopen-3-e200023-g004.jpg

相似文献

1
Association of Leukocyte Telomere Length With Mortality Among Adult Participants in 3 Longitudinal Studies.白细胞端粒长度与 3 项纵向研究中成年参与者死亡率的关联。
JAMA Netw Open. 2020 Feb 5;3(2):e200023. doi: 10.1001/jamanetworkopen.2020.0023.
2
Leukocyte Telomere Length and All-Cause, Cardiovascular Disease, and Cancer Mortality: Results From Individual-Participant-Data Meta-Analysis of 2 Large Prospective Cohort Studies.白细胞端粒长度与全因、心血管疾病及癌症死亡率:两项大型前瞻性队列研究的个体参与者数据荟萃分析结果
Am J Epidemiol. 2017 Jun 15;185(12):1317-1326. doi: 10.1093/aje/kww210.
3
Leukocyte telomere length and mortality in the Cardiovascular Health Study.白细胞端粒长度与心血管健康研究中的死亡率。
J Gerontol A Biol Sci Med Sci. 2011 Apr;66(4):421-9. doi: 10.1093/gerona/glq224. Epub 2011 Feb 2.
4
U-Shaped Relationship of Leukocyte Telomere Length With All-Cause and Cancer-Related Mortality in Older Men.老年男性白细胞端粒长度与全因死亡率和癌症相关死亡率的U型关系
J Gerontol A Biol Sci Med Sci. 2021 Jan 1;76(1):164-171. doi: 10.1093/gerona/glaa190.
5
Paternal age at birth is associated with offspring leukocyte telomere length in the nurses' health study.父亲的出生年龄与护士健康研究中后代白细胞端粒长度有关。
Hum Reprod. 2012 Dec;27(12):3622-31. doi: 10.1093/humrep/des314. Epub 2012 Aug 30.
6
Association of Telomere Length With Risk of Disease and Mortality.端粒长度与疾病风险和死亡率的关联。
JAMA Intern Med. 2022 Mar 1;182(3):291-300. doi: 10.1001/jamainternmed.2021.7804.
7
Leukocyte Telomere Length and Risks of Incident Coronary Heart Disease and Mortality in a Racially Diverse Population of Postmenopausal Women.绝经后女性种族多样化人群中白细胞端粒长度与冠心病发病风险及死亡率
Arterioscler Thromb Vasc Biol. 2015 Oct;35(10):2225-31. doi: 10.1161/ATVBAHA.115.305838. Epub 2015 Aug 6.
8
Association Between Leukocyte Telomere Length and the Risk of Incident Atrial Fibrillation: The Framingham Heart Study.白细胞端粒长度与房颤发病风险的关联:弗雷明汉心脏研究。
J Am Heart Assoc. 2017 Nov 14;6(11):e006541. doi: 10.1161/JAHA.117.006541.
9
The associations of leukocyte telomere length and intermediary cardiovascular phenotype with adverse cardiovascular outcomes in the white population.白细胞端粒长度和中间心血管表型与白种人群不良心血管结局的关联。
Sci Rep. 2024 Jun 17;14(1):13975. doi: 10.1038/s41598-024-64997-3.
10
Association of Short-term Change in Leukocyte Telomere Length With Cortical Thickness and Outcomes of Mental Training Among Healthy Adults: A Randomized Clinical Trial.白细胞端粒长度短期变化与健康成年人皮质厚度及心理训练结果的关系:一项随机临床试验。
JAMA Netw Open. 2019 Sep 4;2(9):e199687. doi: 10.1001/jamanetworkopen.2019.9687.

引用本文的文献

1
Telomere Length, Epigenetic Age Acceleration, and Mortality Risk in US Adult Populations: An Additive Bayesian Network Analysis.美国成年人群中的端粒长度、表观遗传年龄加速与死亡风险:一项加性贝叶斯网络分析
Aging Cell. 2025 Sep;24(9):e70159. doi: 10.1111/acel.70159. Epub 2025 Jul 6.
2
Association between leukocyte telomere length and incident glaucoma: A prospective UK biobank study.白细胞端粒长度与青光眼发病之间的关联:一项英国生物银行前瞻性研究。
Eye (Lond). 2025 May 7. doi: 10.1038/s41433-025-03838-7.
3
Predicting cardiovascular morbidity and mortality with SCORE2 (OP) and Framingham risk estimates in combination with indicators of biological ageing.

本文引用的文献

1
Telomere length and aging-related outcomes in humans: A Mendelian randomization study in 261,000 older participants.人类端粒长度与衰老相关结局:一项对261,000名老年参与者的孟德尔随机化研究。
Aging Cell. 2019 Dec;18(6):e13017. doi: 10.1111/acel.13017. Epub 2019 Aug 24.
2
The plateau of human mortality: Demography of longevity pioneers.人类死亡率高原:长寿先驱的人口统计学。
Science. 2018 Jun 29;360(6396):1459-1461. doi: 10.1126/science.aat3119.
3
Death Certification Errors and the Effect on Mortality Statistics.死亡证明错误及其对死亡率统计的影响。
结合生物学衰老指标,用SCORE2(OP)和弗雷明汉姆风险评估预测心血管疾病的发病率和死亡率。
Age Ageing. 2025 Mar 28;54(4). doi: 10.1093/ageing/afaf075.
4
Quantification of Telomere Length in Peripheral Blood Mononuclear Cells Using Quantitative Polymerase Chain Reaction.使用定量聚合酶链反应对外周血单个核细胞中端粒长度进行定量分析。
Methods Mol Biol. 2025;2909:257-267. doi: 10.1007/978-1-0716-4442-3_17.
5
Telomere Length, Oxidative Stress, and Kidney Damage Biomarkers in Fabry Nephropathy.法布里肾病中的端粒长度、氧化应激与肾损伤生物标志物
Cells. 2025 Feb 4;14(3):218. doi: 10.3390/cells14030218.
6
Causal associations between telomere length and pulmonary arterial hypertension: A two-sample Mendelian randomization study.端粒长度与肺动脉高压之间的因果关联:一项双样本孟德尔随机化研究。
Medicine (Baltimore). 2024 Nov 22;103(47):e40407. doi: 10.1097/MD.0000000000040407.
7
Shorter Leukocyte Telomere Length Is Associated with Increased Major Adverse Cardiovascular Events or Mortality in Patients with Essential Hypertension.较短的白细胞端粒长度与原发性高血压患者主要不良心血管事件或死亡率增加相关。
J Cardiovasc Transl Res. 2025 Feb;18(1):198-208. doi: 10.1007/s12265-024-10558-y. Epub 2024 Oct 18.
8
Partial Recovery of Telomere Length After Long-term Virologic Suppression in Persons With HIV-1.HIV-1感染者长期病毒学抑制后端粒长度的部分恢复
Open Forum Infect Dis. 2024 Sep 23;11(10):ofae550. doi: 10.1093/ofid/ofae550. eCollection 2024 Oct.
9
Longer Telomere Length in Patients with Balkan Endemic Nephropathy Undergoing Chronic Hemodialysis Is Associated with Lower Cardiovascular Mortality.接受慢性血液透析的巴尔干地方性肾病患者端粒长度较长与心血管死亡率较低相关。
Kidney360. 2024 Dec 1;5(12):1871-1880. doi: 10.34067/KID.0000000603. Epub 2024 Oct 2.
10
The Association between Leucocyte Telomere Length and Survival Outcomes in Patients with Cardiovascular Disease.白细胞端粒长度与心血管疾病患者生存结局之间的关联
Rev Cardiovasc Med. 2024 Sep 19;25(9):333. doi: 10.31083/j.rcm2509333. eCollection 2024 Sep.
Public Health Rep. 2017 Nov/Dec;132(6):669-675. doi: 10.1177/0033354917736514. Epub 2017 Nov 1.
4
Meta-analysis of associations between telomere length and colorectal cancer survival from observational studies.观察性研究中关于端粒长度与结直肠癌生存率之间关联的荟萃分析。
Oncotarget. 2017 Aug 7;8(37):62500-62507. doi: 10.18632/oncotarget.20055. eCollection 2017 Sep 22.
5
Leukocyte telomere length and renal cell carcinoma survival in two studies.两项研究中的白细胞端粒长度与肾细胞癌生存率
Br J Cancer. 2017 Aug 22;117(5):752-755. doi: 10.1038/bjc.2017.237. Epub 2017 Jul 25.
6
Questionable evidence for a limit to human lifespan.关于人类寿命存在极限的证据存疑。
Nature. 2017 Jun 28;546(7660):E13-E14. doi: 10.1038/nature22790.
7
Is there evidence for a limit to human lifespan?是否有证据表明人类寿命存在极限?
Nature. 2017 Jun 28;546(7660):E11-E12. doi: 10.1038/nature22788.
8
Exploring the Causal Pathway From Telomere Length to Coronary Heart Disease: A Network Mendelian Randomization Study.探索端粒长度与冠心病之间因果关系的途径:基于网络的孟德尔随机化研究。
Circ Res. 2017 Jul 21;121(3):214-219. doi: 10.1161/CIRCRESAHA.116.310517. Epub 2017 May 17.
9
Leukocyte Telomere Length and All-Cause, Cardiovascular Disease, and Cancer Mortality: Results From Individual-Participant-Data Meta-Analysis of 2 Large Prospective Cohort Studies.白细胞端粒长度与全因、心血管疾病及癌症死亡率:两项大型前瞻性队列研究的个体参与者数据荟萃分析结果
Am J Epidemiol. 2017 Jun 15;185(12):1317-1326. doi: 10.1093/aje/kww210.
10
Telomeres and the natural lifespan limit in humans.端粒与人类的自然寿命极限
Aging (Albany NY). 2017 Apr;9(4):1130-1142. doi: 10.18632/aging.101216.