• 文献检索
  • 文档翻译
  • 深度研究
  • 学术资讯
  • Suppr Zotero 插件Zotero 插件
  • 邀请有礼
  • 套餐&价格
  • 历史记录
应用&插件
Suppr Zotero 插件Zotero 插件浏览器插件Mac 客户端Windows 客户端微信小程序
定价
高级版会员购买积分包购买API积分包
服务
文献检索文档翻译深度研究API 文档MCP 服务
关于我们
关于 Suppr公司介绍联系我们用户协议隐私条款
关注我们

Suppr 超能文献

核心技术专利:CN118964589B侵权必究
粤ICP备2023148730 号-1Suppr @ 2026

文献检索

告别复杂PubMed语法,用中文像聊天一样搜索,搜遍4000万医学文献。AI智能推荐,让科研检索更轻松。

立即免费搜索

文件翻译

保留排版,准确专业,支持PDF/Word/PPT等文件格式,支持 12+语言互译。

免费翻译文档

深度研究

AI帮你快速写综述,25分钟生成高质量综述,智能提取关键信息,辅助科研写作。

立即免费体验

一种评估情景记忆的虚拟现实范式:六个并行版本的验证数据集及结构化行为评估

A virtual reality paradigm to assess episodic memory: Validation-dataset for six parallel versions and a structured behavioral assessment.

作者信息

Höller Yvonne, Höhn Christopher, Schwimmbeck Fabian, Plancher Gaën, Trinka Eugen

机构信息

Faculty of Psychology, University of Akureyri, Nordurslóð 2, 600, Akureyri, Iceland.

Department of Neurology, Christian Doppler Medical Centre and Centre for Cognitive Neuroscience, Paracelsus Medical University, Salzburg, Austria.

出版信息

Data Brief. 2020 Feb 13;29:105279. doi: 10.1016/j.dib.2020.105279. eCollection 2020 Apr.

DOI:10.1016/j.dib.2020.105279
PMID:32123710
原文链接:https://pmc.ncbi.nlm.nih.gov/articles/PMC7038457/
Abstract

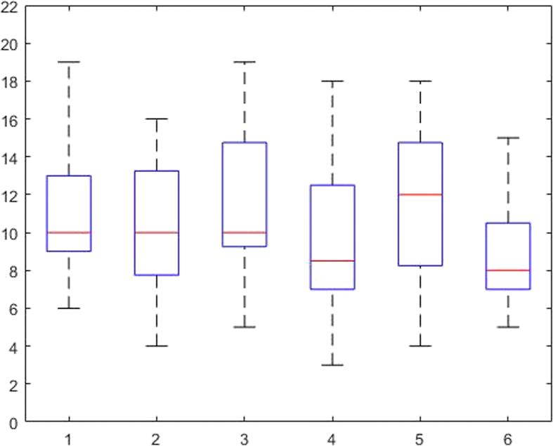
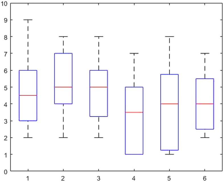
In the epilepsy monitoring unit of the Department of Neurology at the University Clinic of Salzburg 20 adult patients were recruited to participate in a validation of 6 parallel versions of the virtual reality test for episodic memory. Patients were tested up to 7 times, i.e. twice a day, in the morning and evening, beginning on Monday evening. Each session consisted of learning a new town and immediate recall for this town. All sessions but the first one included also delayed recall of the previously learned town and a recognition test. Recall included the sub-scales what, details, when, egocentric where and allocentric where. Recognition memory was tested by presenting the patients 30 sentences of which 15 were true and 15 were false. While not all patients completed the full testing schedule, at immediate recall for 9 patients a full data set (7 sessions) is available. All patients were free of antiepileptic medication (N = 19) or medication was kept constant across the week (N = 1). This data can be used to demonstrate the feasibility to use the virtual reality test in the epilepsy monitoring unit e.g. to monitor effects of seizures or medication on episodic memory.

摘要

在萨尔茨堡大学诊所神经科的癫痫监测病房,招募了20名成年患者参与对6个平行版本的情景记忆虚拟现实测试的验证。从周一开始,患者接受了多达7次测试,即每天早晚各测试一次。每次测试包括学习一个新城镇并立即回忆该城镇。除第一次测试外,所有测试还包括对先前学习城镇的延迟回忆和一次识别测试。回忆包括“是什么”“细节”“何时”“自我中心位置”和“非自我中心位置”等子量表。通过向患者呈现30个句子来测试识别记忆,其中15个是真实的,15个是虚假的。虽然并非所有患者都完成了完整的测试计划,但对于9名患者,在立即回忆时可获得完整的数据集(7次测试)。所有患者均未服用抗癫痫药物(N = 19)或在一周内药物保持不变(N = 1)。这些数据可用于证明在癫痫监测病房使用虚拟现实测试的可行性,例如监测癫痫发作或药物对情景记忆的影响。

https://cdn.ncbi.nlm.nih.gov/pmc/blobs/b7a6/7038457/52661b6cc467/gr13.jpg
https://cdn.ncbi.nlm.nih.gov/pmc/blobs/b7a6/7038457/8cb659a767ed/gr1.jpg
https://cdn.ncbi.nlm.nih.gov/pmc/blobs/b7a6/7038457/7a0d782b2cd3/gr2.jpg
https://cdn.ncbi.nlm.nih.gov/pmc/blobs/b7a6/7038457/ebde843db97c/gr3.jpg
https://cdn.ncbi.nlm.nih.gov/pmc/blobs/b7a6/7038457/5abe43ce7895/gr4.jpg
https://cdn.ncbi.nlm.nih.gov/pmc/blobs/b7a6/7038457/f37eebfa5bf8/gr5.jpg
https://cdn.ncbi.nlm.nih.gov/pmc/blobs/b7a6/7038457/b921c2c3cd44/gr6.jpg
https://cdn.ncbi.nlm.nih.gov/pmc/blobs/b7a6/7038457/c1138ef6348e/gr7.jpg
https://cdn.ncbi.nlm.nih.gov/pmc/blobs/b7a6/7038457/13e746b9e283/gr8.jpg
https://cdn.ncbi.nlm.nih.gov/pmc/blobs/b7a6/7038457/e09729347296/gr9.jpg
https://cdn.ncbi.nlm.nih.gov/pmc/blobs/b7a6/7038457/90e7a57d4505/gr10.jpg
https://cdn.ncbi.nlm.nih.gov/pmc/blobs/b7a6/7038457/1ea65b9aa59b/gr11.jpg
https://cdn.ncbi.nlm.nih.gov/pmc/blobs/b7a6/7038457/9949a4eef8fa/gr12.jpg
https://cdn.ncbi.nlm.nih.gov/pmc/blobs/b7a6/7038457/52661b6cc467/gr13.jpg
https://cdn.ncbi.nlm.nih.gov/pmc/blobs/b7a6/7038457/8cb659a767ed/gr1.jpg
https://cdn.ncbi.nlm.nih.gov/pmc/blobs/b7a6/7038457/7a0d782b2cd3/gr2.jpg
https://cdn.ncbi.nlm.nih.gov/pmc/blobs/b7a6/7038457/ebde843db97c/gr3.jpg
https://cdn.ncbi.nlm.nih.gov/pmc/blobs/b7a6/7038457/5abe43ce7895/gr4.jpg
https://cdn.ncbi.nlm.nih.gov/pmc/blobs/b7a6/7038457/f37eebfa5bf8/gr5.jpg
https://cdn.ncbi.nlm.nih.gov/pmc/blobs/b7a6/7038457/b921c2c3cd44/gr6.jpg
https://cdn.ncbi.nlm.nih.gov/pmc/blobs/b7a6/7038457/c1138ef6348e/gr7.jpg
https://cdn.ncbi.nlm.nih.gov/pmc/blobs/b7a6/7038457/13e746b9e283/gr8.jpg
https://cdn.ncbi.nlm.nih.gov/pmc/blobs/b7a6/7038457/e09729347296/gr9.jpg
https://cdn.ncbi.nlm.nih.gov/pmc/blobs/b7a6/7038457/90e7a57d4505/gr10.jpg
https://cdn.ncbi.nlm.nih.gov/pmc/blobs/b7a6/7038457/1ea65b9aa59b/gr11.jpg
https://cdn.ncbi.nlm.nih.gov/pmc/blobs/b7a6/7038457/9949a4eef8fa/gr12.jpg
https://cdn.ncbi.nlm.nih.gov/pmc/blobs/b7a6/7038457/52661b6cc467/gr13.jpg

相似文献

1
A virtual reality paradigm to assess episodic memory: Validation-dataset for six parallel versions and a structured behavioral assessment.一种评估情景记忆的虚拟现实范式:六个并行版本的验证数据集及结构化行为评估
Data Brief. 2020 Feb 13;29:105279. doi: 10.1016/j.dib.2020.105279. eCollection 2020 Apr.
2
Effects of Antiepileptic Drug Tapering on Episodic Memory as Measured by Virtual Reality Tests.通过虚拟现实测试衡量抗癫痫药物逐渐减量对情景记忆的影响。
Front Neurol. 2020 Feb 20;11:93. doi: 10.3389/fneur.2020.00093. eCollection 2020.
3
Using virtual reality to characterize episodic memory profiles in amnestic mild cognitive impairment and Alzheimer's disease: influence of active and passive encoding.使用虚拟现实技术刻画遗忘型轻度认知障碍和阿尔茨海默病的情景记忆特征:主动和被动编码的影响。
Neuropsychologia. 2012 Apr;50(5):592-602. doi: 10.1016/j.neuropsychologia.2011.12.013. Epub 2012 Jan 13.
4
Bilateral hippocampal pathology impairs topographical and episodic memory but not visual pattern matching.双侧海马体病变会损害空间定位记忆和情景记忆,但不会影响视觉模式匹配。
Hippocampus. 2001;11(6):715-25. doi: 10.1002/hipo.1087.
5
A Sequential Sentence Paradigm Using Revised PRESTO Sentence Lists.一种使用修订后的PRESTO句子列表的顺序句子范式。
J Am Acad Audiol. 2016 Sep;27(8):647-60. doi: 10.3766/jaaa.15074.
6
The effects of acute exercise intensity on episodic and false memory among young adult college students.急性运动强度对青年大学生情景记忆和错误记忆的影响。
Health Promot Perspect. 2019 May 25;9(2):143-149. doi: 10.15171/hpp.2019.20. eCollection 2019.
7
Unilateral temporal lobectomy patients show lateralized topographical and episodic memory deficits in a virtual town.单侧颞叶切除术患者在虚拟城镇中表现出局部定位和情景记忆的单侧化缺陷。
Brain. 2001 Dec;124(Pt 12):2476-89. doi: 10.1093/brain/124.12.2476.
8
Egocentric-updating during navigation facilitates episodic memory retrieval.导航过程中的自我中心更新有助于情景记忆检索。
Acta Psychol (Amst). 2009 Nov;132(3):221-7. doi: 10.1016/j.actpsy.2009.07.003. Epub 2009 Aug 6.
9
Memory consolidation in children with epilepsy: does sleep matter?儿童癫痫症的记忆巩固:睡眠重要吗?
Epilepsy Behav. 2014 Feb;31:176-80. doi: 10.1016/j.yebeh.2013.12.012. Epub 2014 Jan 14.
10
[Contribution of virtual reality to neuropsychology of memory: study in aging].[虚拟现实对记忆神经心理学的贡献:针对老年人的研究]
Psychol Neuropsychiatr Vieil. 2008 Mar;6(1):7-22. doi: 10.1684/pnv.2008.0119.

引用本文的文献

1
Movement Termination of Slow-Wave Sleep-A Potential Biomarker?慢波睡眠中的运动终止——一种潜在的生物标志物?
Brain Sci. 2024 May 13;14(5):493. doi: 10.3390/brainsci14050493.
2
The effects of slow wave sleep characteristics on semantic, episodic, and procedural memory in people with epilepsy.慢波睡眠特征对癫痫患者语义记忆、情景记忆和程序性记忆的影响。
Front Pharmacol. 2024 Apr 25;15:1374760. doi: 10.3389/fphar.2024.1374760. eCollection 2024.
3
Cognitive Effects of Montelukast: A Pharmaco-EEG Study.孟鲁司特的认知效应:一项药物脑电图研究。

本文引用的文献

1
Using virtual reality to characterize episodic memory profiles in amnestic mild cognitive impairment and Alzheimer's disease: influence of active and passive encoding.使用虚拟现实技术刻画遗忘型轻度认知障碍和阿尔茨海默病的情景记忆特征:主动和被动编码的影响。
Neuropsychologia. 2012 Apr;50(5):592-602. doi: 10.1016/j.neuropsychologia.2011.12.013. Epub 2012 Jan 13.
Brain Sci. 2021 Apr 27;11(5):547. doi: 10.3390/brainsci11050547.
4
Investigating the Effects of Seizures on Procedural Memory Performance in Patients with Epilepsy.探究癫痫发作对癫痫患者程序性记忆表现的影响。
Brain Sci. 2021 Feb 19;11(2):261. doi: 10.3390/brainsci11020261.
5
Effects of Antiepileptic Drug Tapering on Episodic Memory as Measured by Virtual Reality Tests.通过虚拟现实测试衡量抗癫痫药物逐渐减量对情景记忆的影响。
Front Neurol. 2020 Feb 20;11:93. doi: 10.3389/fneur.2020.00093. eCollection 2020.