Suppr超能文献

一项雷洛昔芬降低肝硬化患者门静脉压力的 2 期随机对照试验(STOPP)。

A phase 2 randomised controlled trial of serelaxin to lower portal pressure in cirrhosis (STOPP).

机构信息

Liver Unit, Royal Infirmary of Edinburgh, Edinburgh, UK.

Department of Radiology, Royal Infirmary of Edinburgh, Edinburgh, UK.

出版信息

Trials. 2020 Mar 12;21(1):260. doi: 10.1186/s13063-020-4203-9.

Abstract

BACKGROUND

In preclinical models, recombinant human relaxin-2 (serelaxin) had anti-fibrotic effects and ameliorated portal hypertension (PH). A small exploratory study in patients with cirrhosis also suggested that serelaxin could reduce portal pressure.

METHODS

In a phase 2, double-blind, randomised controlled study conducted in a single centre (Royal Infirmary of Edinburgh, UK), male and female adult participants with cirrhosis and clinically significant PH (CSPH; hepatic venous pressure gradient (HVPG) > 10 mmHg) were enrolled. Participants were allocated to serelaxin or placebo in a 3:1 ratio. The placebo was matched to serelaxin on appearance and administration protocol to create and maintain blinding. The primary endpoint was the change from baseline in fasting HVPG after 2 h of peripheral i.v. serelaxin infusion (80 μg/kg/day for 60 min followed by 30 μg/kg/day for at least 60 min). Secondary endpoints included the change from baseline in hepatic blood flow and systemic haemodynamics (cardiac index, systemic vascular resistance index and aortic pulse wave velocity). Short-term safety and tolerability of serelaxin were assessed.

RESULTS

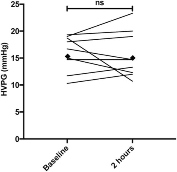
A total of 17 participants were screened, 15 were randomised and 11 completed the study (n = 9 serelaxin, n = 2 placebo). Reasons for withdrawal were baseline HVPG < 10 mmHg (n = 2) and technical failure (n = 2). The trial ended early due to manufacturer discontinuation of the study drug. The median age was 56 (range 43-69) years and 73% of participants were male. Alcohol was the commonest cirrhosis aetiology (n = 10). Participants had a median Model for End-Stage Liver Disease score of 10 (range 6-14). The mean baseline HVPG was 16.3 (range 10.3-21.7) mmHg. Individual responses were variable, but overall there was no statistically significant change in HVPG after 2 h of i.v. serelaxin (arithmetic mean of difference ± SD was 0.4 ± 3.5 mmHg (95% CI -2.3, 3.1; p = 0.76)). There were also no substantial changes from baseline in hepatic or systemic haemodynamics. We recorded 12 adverse events in 7 participants treated with serelaxin; none were significant, and most were unrelated to the investigational medicinal product. There were no serious adverse events.

CONCLUSION

In a small randomised, phase 2, proof-of-concept study in patients with cirrhosis and CSPH, serelaxin infusion was safe and well-tolerated but had a neutral effect on HVPG.

TRIAL REGISTRATION

ClinicalTrials.gov, NCT02669875. Registered on 1 February 2016.

摘要

背景

在临床前模型中,重组人松弛素-2(塞来昔兰)具有抗纤维化作用,并改善门静脉高压(PH)。一项针对肝硬化患者的小型探索性研究也表明,塞来昔兰可降低门静脉压力。

方法

在英国爱丁堡皇家医院进行的一项 2 期、双盲、随机对照研究中,招募了患有肝硬化和临床显著门静脉高压(CSPH;肝静脉压力梯度(HVPG)>10mmHg)的男性和女性成年参与者。参与者按照 3:1 的比例随机分配接受塞来昔兰或安慰剂治疗。安慰剂在外观和给药方案上与塞来昔兰相匹配,以建立和维持盲法。主要终点是外周静脉注射塞来昔兰(80μg/kg/天,60 分钟,随后 30μg/kg/天至少 60 分钟)后 2 小时禁食 HVPG 相对于基线的变化。次要终点包括肝血流量和全身血液动力学(心指数、全身血管阻力指数和主动脉脉搏波速度)相对于基线的变化。评估了塞来昔兰的短期安全性和耐受性。

结果

共筛选了 17 名参与者,其中 15 名被随机分配,11 名完成了研究(n=9 例塞来昔兰,n=2 例安慰剂)。退出的原因是基线 HVPG<10mmHg(n=2)和技术失败(n=2)。由于制造商停止研究药物,试验提前结束。中位年龄为 56 岁(范围 43-69 岁),73%的参与者为男性。酒精是最常见的肝硬化病因(n=10)。参与者的终末期肝病模型评分中位数为 10(范围 6-14)。平均基线 HVPG 为 16.3mmHg(范围 10.3-21.7mmHg)。个体反应各不相同,但静脉注射塞来昔兰后 2 小时 HVPG 无统计学显著变化(差异的算术平均值±SD 为 0.4±3.5mmHg(95%CI-2.3,3.1;p=0.76))。肝和全身血液动力学也没有明显的基线变化。在接受塞来昔兰治疗的 7 名参与者中,我们记录了 12 起不良事件;没有一个是严重的,大多数与研究药物无关。没有严重不良事件。

结论

在一项针对肝硬化合并 CSPH 患者的小型 2 期、概念验证研究中,塞来昔兰输注安全且耐受良好,但对 HVPG 无中性影响。

临床试验注册

ClinicalTrials.gov,NCT02669875。于 2016 年 2 月 1 日注册。

https://cdn.ncbi.nlm.nih.gov/pmc/blobs/427c/7066808/859160a50cf4/13063_2020_4203_Fig1_HTML.jpg

文献检索

告别复杂PubMed语法,用中文像聊天一样搜索,搜遍4000万医学文献。AI智能推荐,让科研检索更轻松。

立即免费搜索

文件翻译

保留排版,准确专业,支持PDF/Word/PPT等文件格式,支持 12+语言互译。

免费翻译文档

深度研究

AI帮你快速写综述,25分钟生成高质量综述,智能提取关键信息,辅助科研写作。

立即免费体验