Suppr超能文献

底物减少疗法与酶替代疗法在戈谢病免疫方面和骨骼受累的比较。

Effect of Substrate Reduction Therapy in Comparison to Enzyme Replacement Therapy on Immune Aspects and Bone Involvement in Gaucher Disease.

机构信息

Lysosomal and Rare Disorders Research and Treatment Center (LDRTC), Fairfax, VA 22030, USA.

出版信息

Biomolecules. 2020 Mar 31;10(4):526. doi: 10.3390/biom10040526.

Abstract

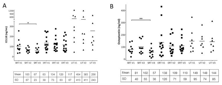
Gaucher disease (GD) is caused by mutations in the gene, leading to deficient activity of the lysosomal enzyme glucocerebrosidase. Among all the symptoms across various organ systems, bone disease is a major concern as it causes high morbidity and reduces quality of life. Enzyme replacement therapy (ERT) is the most accepted treatment; however, there are still unmet needs. As an alternative, substrate reduction therapy (SRT) was developed using glucosylceramide synthase inhibitors. In the current study, the effects of ERT vs. SRT were compared, particularly the immunological and bone remodeling aspects. GD subjects were divided into three cohorts based on their treatment at initial visit: ERT, SRT, and untreated (UT). Immunophenotyping showed no significant immune cell alterations between the cohorts. Expression of RANK/RANKL/Osteoprotegerin pathway components on immune cells and the secreted markers of bone turnover were analyzed. In the ERT cohort, no significant changes were observed in RANK, RANKL or serum biomarkers. RANKL on T lymphocytes, Osteopontin and MIP-1β decreased with SRT treatment indicating probable reduction in osteoclast activity. Other secreted factors, Osteocalcin and RANKL/Osteoprotegerin did not change with the treatment status. Insights from the study highlight personalized differences between subjects and possible use of RANK pathway components as markers for bone disease progression.

摘要

戈谢病(GD)是由 基因突变引起的,导致溶酶体酶葡萄糖脑苷脂酶活性缺乏。在所有涉及各种器官系统的症状中,骨骼疾病是一个主要关注点,因为它会导致高发病率并降低生活质量。酶替代疗法(ERT)是最被接受的治疗方法;然而,仍有未满足的需求。作为替代方法,开发了使用葡萄糖神经酰胺合酶抑制剂的底物减少疗法(SRT)。在当前的研究中,比较了 ERT 与 SRT 的效果,特别是免疫和骨骼重塑方面。根据初始就诊时的治疗方法,将 GD 受试者分为三组:ERT、SRT 和未治疗(UT)。免疫表型分析显示各组之间免疫细胞无明显变化。分析了免疫细胞上 RANK/RANKL/骨保护素途径成分的表达以及骨转换的分泌标志物。在 ERT 组中,RANK、RANKL 或血清生物标志物均未观察到明显变化。SRT 治疗可降低 T 淋巴细胞上的 RANKL、骨桥蛋白和 MIP-1β,表明破骨细胞活性可能降低。其他分泌因子,骨钙素和 RANKL/骨保护素没有随治疗状态而变化。该研究的结果突出了个体之间的个性化差异,并且 RANK 途径成分可能可用作骨骼疾病进展的标志物。

https://cdn.ncbi.nlm.nih.gov/pmc/blobs/2a81/7226435/51d9390e982e/biomolecules-10-00526-g001.jpg

文献检索

告别复杂PubMed语法,用中文像聊天一样搜索,搜遍4000万医学文献。AI智能推荐,让科研检索更轻松。

立即免费搜索

文件翻译

保留排版,准确专业,支持PDF/Word/PPT等文件格式,支持 12+语言互译。

免费翻译文档

深度研究

AI帮你快速写综述,25分钟生成高质量综述,智能提取关键信息,辅助科研写作。

立即免费体验