Suppr超能文献

硫氰酸镍配合物的电化学行为及抗菌和细胞毒性活性研究

An Investigation on the Electrochemical Behavior and Antibacterial and Cytotoxic Activity of Nickel Trithiocyanurate Complexes.

作者信息

Ashrafi Amir M, Kopel Pavel, Richtera Lukas

机构信息

Faculty of Electrical Engineering and Communication, Department of Microelectronics, Brno University of Technology, Technicka 3058/10, CZ-616 00 Brno, Czech Republic.

出版信息

Materials (Basel). 2020 Apr 10;13(7):1782. doi: 10.3390/ma13071782.

Abstract

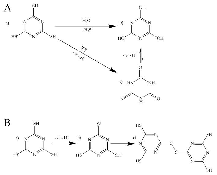
The electrochemical redox behavior of three trinuclear Ni(II) complexes Ni(abb)(HO)(µ-ttc) (), Ni(tebb)(HO)(µ-ttc)·HO (), and Ni(pmdien)(µ-ttc) (), where abb = 1-(1H-benzimidazol-2-yl)-N-(1H-benzimidazol-2-ylmethyl)methan-amine, ttcH = trithiocyanuric acid, tebb = 2-[2-[2-(1H-benzimidazol-2-yl)ethylsulfanyl]ethyl]-1H-benzimidazole, and pmdien = N,N,N',N″,N″-pentamethyldiethylenetriamine is reported. Cyclic voltammetry (CV) was applied for the study of the electrochemical behavior of these compounds. The results confirmed the presence of ttc and nickel in oxidation state +2 in the synthesized complexes. Moreover, the antibacterial properties and cytotoxic activity of complex was investigated. All the complexes show antibacterial activity against and to different extents. The cytotoxic activity of complex and ttcNa were studied on G-361, HOS, K-562, and MCF7 cancer cell lines. It was found out that complex possesses the cytotoxic activity against the tested cell lines, whereas ttcNa did not show any cytotoxic activity.

摘要

报道了三种三核镍(II)配合物Ni(abb)(HO)(µ-ttc) ()、Ni(tebb)(HO)(µ-ttc)·HO ()和Ni(pmdien)(µ-ttc) ()的电化学氧化还原行为,其中abb = 1-(1H-苯并咪唑-2-基)-N-(1H-苯并咪唑-2-基甲基)甲胺,ttcH = 三硫氰尿酸,tebb = 2-[2-[2-(1H-苯并咪唑-2-基)乙硫基]乙基]-1H-苯并咪唑,pmdien = N,N,N',N″,N″-五甲基二亚乙基三胺。采用循环伏安法(CV)研究了这些化合物的电化学行为。结果证实了合成配合物中存在氧化态为+2的ttc和镍。此外,还研究了配合物的抗菌性能和细胞毒性活性。所有配合物对不同程度地表现出抗菌活性。研究了配合物和ttcNa对G-361、HOS、K-562和MCF7癌细胞系的细胞毒性活性。结果发现,配合物对受试细胞系具有细胞毒性活性,而ttcNa未表现出任何细胞毒性活性。

https://cdn.ncbi.nlm.nih.gov/pmc/blobs/e4cb/7179009/c8f8f0f8bd6b/materials-13-01782-sch001.jpg

文献AI研究员

20分钟写一篇综述,助力文献阅读效率提升50倍。

立即体验

用中文搜PubMed

大模型驱动的PubMed中文搜索引擎

马上搜索

文档翻译

学术文献翻译模型,支持多种主流文档格式。

立即体验