• 文献检索
  • 文档翻译
  • 深度研究
  • 学术资讯
  • Suppr Zotero 插件Zotero 插件
  • 邀请有礼
  • 套餐&价格
  • 历史记录
应用&插件
Suppr Zotero 插件Zotero 插件浏览器插件Mac 客户端Windows 客户端微信小程序
定价
高级版会员购买积分包购买API积分包
服务
文献检索文档翻译深度研究API 文档MCP 服务
关于我们
关于 Suppr公司介绍联系我们用户协议隐私条款
关注我们

Suppr 超能文献

核心技术专利:CN118964589B侵权必究
粤ICP备2023148730 号-1Suppr @ 2026

文献检索

告别复杂PubMed语法,用中文像聊天一样搜索,搜遍4000万医学文献。AI智能推荐,让科研检索更轻松。

立即免费搜索

文件翻译

保留排版,准确专业,支持PDF/Word/PPT等文件格式,支持 12+语言互译。

免费翻译文档

深度研究

AI帮你快速写综述,25分钟生成高质量综述,智能提取关键信息,辅助科研写作。

立即免费体验

磷酸活化废木屑制备活性炭对活性艳橙 16 的吸附去除:平衡模型与热力学分析。

Phosphoric Acid Activated Carbon from Waste Sawdust for Adsorptive Removal of Reactive Orange 16: Equilibrium Modelling and Thermodynamic Analysis.

机构信息

Department of Environmental Sciences, COMSATS University Islamabad, Abbottabad Campus, Abbottabad, KPK 22060, Pakistan.

Department of Civil Engineering, University of Hail, Hail, Hail Province 55476, Saudi Arabia.

出版信息

Molecules. 2020 May 1;25(9):2118. doi: 10.3390/molecules25092118.

DOI:10.3390/molecules25092118
PMID:32369968
原文链接:https://pmc.ncbi.nlm.nih.gov/articles/PMC7248722/
Abstract

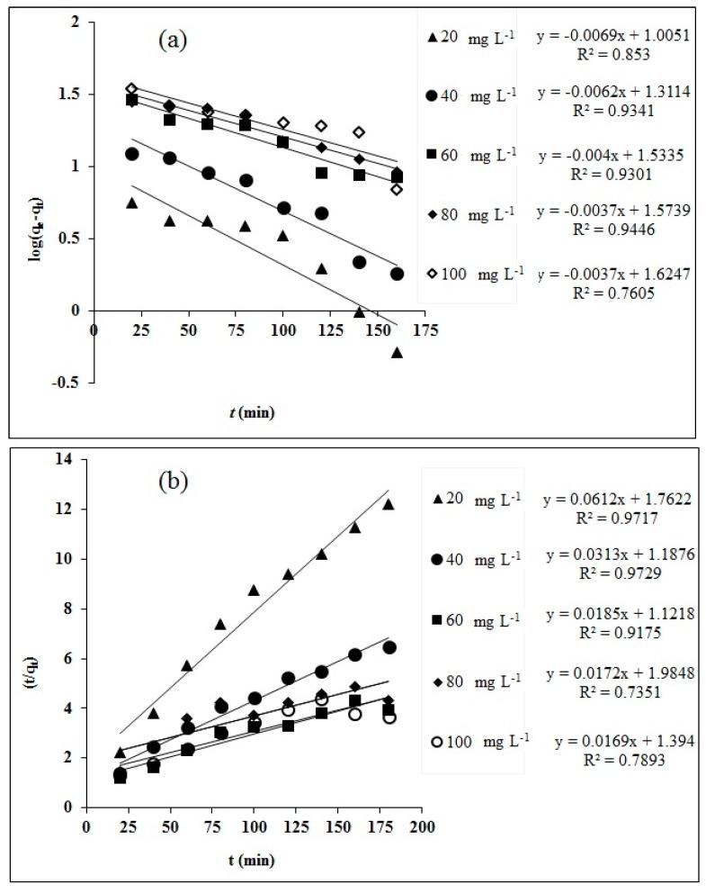
Waste wood biomass as precursor for manufacturing activated carbon (AC) can provide a solution to ever increasing global water quality concerns. In our current work, derived phosphoric acid-treated AC (MA-AC400) was manufactured at a laboratory scale. This novel MA-AC400 was tested for RO16 dye removal performance as a function of contact time, adsorbent dosage, pH, temperature and initial dye concentration in a batch scale arrangement. MA-AC400 was characterized via scanning electron microscopy, energy dispersive X-ray spectroscopy, Fourier transform infrared spectroscopy, dynamic light scattering (DLS) and fluorescence spectroscopy. MA-AC400 is characterized as mesoporous with BET surface area of 293.13 m g and average pore width of 20.33 Å. pH and Boehm titration confirm the acidic surface charges with dominance of phenolic functional groups. The average DLS particle size of MA-AC400 was found in the narrow range of 0.12 to 0.30 µm and this polydispersity was confirmed with multiple excitation fluorescence wavelengths. MA-AC400 showed equilibrium adsorption efficiency of 97.8% for RO16 dye at its initial concentration of 30 mg L and adsorbent dose of 1 g L. Thermodynamic study endorsed the spontaneous, favorable, irreversible and exothermic process for RO16 adsorption onto MA-AC400. Equilibrium adsorption data was better explained by Langmuir with high goodness of fit (R, 0.9964) and this fitness was endorsed with lower error functions. The kinetics data was found well fitted to pseudo-second order (PSO), and intra-particle diffusion kinetic models. Increasing diffusion constant values confirm the intraparticle diffusion at higher RO16 initial concentration and reverse was true for PSO chemisorption kinetics. MA-AC400 exhibited low desorption with studied eluents and its cost was calculated to be $8.36/kg.

摘要

废木材生物质作为制造活性炭 (AC) 的前体,可以为解决日益严重的全球水质问题提供解决方案。在我们目前的工作中,在实验室规模上制造了衍生的磷酸处理的 AC (MA-AC400)。在批处理装置中,作为接触时间、吸附剂剂量、pH、温度和初始染料浓度的函数,测试了这种新型 MA-AC400 对 RO16 染料去除性能。通过扫描电子显微镜、能量色散 X 射线光谱、傅里叶变换红外光谱、动态光散射 (DLS) 和荧光光谱对 MA-AC400 进行了表征。MA-AC400 被描述为具有 293.13 m g 的 BET 表面积和 20.33 Å 的平均孔径的中孔。pH 和 Boehm 滴定法证实了具有酚官能团优势的酸性表面电荷。MA-AC400 的平均 DLS 粒径发现处于 0.12 至 0.30 µm 的狭窄范围内,并且通过多个激发荧光波长证实了这种多分散性。在 RO16 初始浓度为 30 mg L 和吸附剂剂量为 1 g L 的情况下,MA-AC400 对 RO16 染料的平衡吸附效率为 97.8%。热力学研究证实了 RO16 吸附到 MA-AC400 上是自发的、有利的、不可逆的和放热的过程。平衡吸附数据通过朗缪尔方程得到了很好的解释,拟合度很高 (R,0.9964),并且这种拟合度得到了较低的误差函数的支持。动力学数据很好地符合伪二级 (PSO) 和内扩散动力学模型。增加扩散常数值证实了在较高的 RO16 初始浓度下的内扩散,而 PSO 化学吸附动力学则相反。MA-AC400 对所研究的洗脱剂表现出低解吸性,其成本计算为 8.36 美元/kg。

https://cdn.ncbi.nlm.nih.gov/pmc/blobs/d92b/7248722/b56fa0a5643c/molecules-25-02118-g012.jpg
https://cdn.ncbi.nlm.nih.gov/pmc/blobs/d92b/7248722/ccb92beda4ae/molecules-25-02118-g001.jpg
https://cdn.ncbi.nlm.nih.gov/pmc/blobs/d92b/7248722/1bf78c826db3/molecules-25-02118-g002.jpg
https://cdn.ncbi.nlm.nih.gov/pmc/blobs/d92b/7248722/5bdeded33c6b/molecules-25-02118-g003.jpg
https://cdn.ncbi.nlm.nih.gov/pmc/blobs/d92b/7248722/2960dabad721/molecules-25-02118-g004.jpg
https://cdn.ncbi.nlm.nih.gov/pmc/blobs/d92b/7248722/92424a2b0e8c/molecules-25-02118-g005.jpg
https://cdn.ncbi.nlm.nih.gov/pmc/blobs/d92b/7248722/4c372c95795c/molecules-25-02118-g006a.jpg
https://cdn.ncbi.nlm.nih.gov/pmc/blobs/d92b/7248722/2f8baba219a9/molecules-25-02118-g007.jpg
https://cdn.ncbi.nlm.nih.gov/pmc/blobs/d92b/7248722/f8c75c2969f8/molecules-25-02118-g008.jpg
https://cdn.ncbi.nlm.nih.gov/pmc/blobs/d92b/7248722/3a9660e7016b/molecules-25-02118-g009.jpg
https://cdn.ncbi.nlm.nih.gov/pmc/blobs/d92b/7248722/1f8e10370c47/molecules-25-02118-g010.jpg
https://cdn.ncbi.nlm.nih.gov/pmc/blobs/d92b/7248722/b044b5c9d390/molecules-25-02118-g011.jpg
https://cdn.ncbi.nlm.nih.gov/pmc/blobs/d92b/7248722/b56fa0a5643c/molecules-25-02118-g012.jpg
https://cdn.ncbi.nlm.nih.gov/pmc/blobs/d92b/7248722/ccb92beda4ae/molecules-25-02118-g001.jpg
https://cdn.ncbi.nlm.nih.gov/pmc/blobs/d92b/7248722/1bf78c826db3/molecules-25-02118-g002.jpg
https://cdn.ncbi.nlm.nih.gov/pmc/blobs/d92b/7248722/5bdeded33c6b/molecules-25-02118-g003.jpg
https://cdn.ncbi.nlm.nih.gov/pmc/blobs/d92b/7248722/2960dabad721/molecules-25-02118-g004.jpg
https://cdn.ncbi.nlm.nih.gov/pmc/blobs/d92b/7248722/92424a2b0e8c/molecules-25-02118-g005.jpg
https://cdn.ncbi.nlm.nih.gov/pmc/blobs/d92b/7248722/4c372c95795c/molecules-25-02118-g006a.jpg
https://cdn.ncbi.nlm.nih.gov/pmc/blobs/d92b/7248722/2f8baba219a9/molecules-25-02118-g007.jpg
https://cdn.ncbi.nlm.nih.gov/pmc/blobs/d92b/7248722/f8c75c2969f8/molecules-25-02118-g008.jpg
https://cdn.ncbi.nlm.nih.gov/pmc/blobs/d92b/7248722/3a9660e7016b/molecules-25-02118-g009.jpg
https://cdn.ncbi.nlm.nih.gov/pmc/blobs/d92b/7248722/1f8e10370c47/molecules-25-02118-g010.jpg
https://cdn.ncbi.nlm.nih.gov/pmc/blobs/d92b/7248722/b044b5c9d390/molecules-25-02118-g011.jpg
https://cdn.ncbi.nlm.nih.gov/pmc/blobs/d92b/7248722/b56fa0a5643c/molecules-25-02118-g012.jpg

相似文献

1
Phosphoric Acid Activated Carbon from Waste Sawdust for Adsorptive Removal of Reactive Orange 16: Equilibrium Modelling and Thermodynamic Analysis.磷酸活化废木屑制备活性炭对活性艳橙 16 的吸附去除:平衡模型与热力学分析。
Molecules. 2020 May 1;25(9):2118. doi: 10.3390/molecules25092118.
2
Application of zeolite-activated carbon macrocomposite for the adsorption of Acid Orange 7: isotherm, kinetic and thermodynamic studies.沸石-活性炭宏观复合材料对酸性橙 7 的吸附应用:等温线、动力学和热力学研究。
Environ Sci Pollut Res Int. 2013 Oct;20(10):7243-55. doi: 10.1007/s11356-013-1725-7. Epub 2013 May 8.
3
Rapid Removal of Toxic Remazol Brilliant Blue-R Dye from Aqueous Solutions Using Shell Biomass Activated Carbon as Potential Adsorbent: Optimization, Isotherm, Kinetic, and Thermodynamic Investigation.壳生物质活性炭作为潜在吸附剂快速去除水溶液中有毒的丽春红 Brilliant Blue-R 染料:优化、等温线、动力学和热力学研究。
Int J Mol Sci. 2022 Oct 18;23(20):12484. doi: 10.3390/ijms232012484.
4
Kinetic, equilibrium isotherm and thermodynamic studies of Cr(VI) adsorption onto low-cost adsorbent developed from peanut shell activated with phosphoric acid.用磷酸活化的花生壳制备低成本吸附剂对六价铬的吸附的动力学、平衡等温线和热力学研究。
Environ Sci Pollut Res Int. 2013 May;20(5):3351-65. doi: 10.1007/s11356-012-1259-4. Epub 2012 Oct 27.
5
Removal of arsenic from aqueous solution by novel iron and iron-zirconium modified activated carbon derived from chemical carbonization of Tectona grandis sawdust: Isotherm, kinetic, thermodynamic and breakthrough curve modelling.采用化学碳化柚木木屑制备的新型铁和铁-锆改性活性炭从水溶液中去除砷:等温线、动力学、热力学和穿透曲线建模。
Environ Res. 2021 Sep;200:111431. doi: 10.1016/j.envres.2021.111431. Epub 2021 May 31.
6
Effect of bifunctional acid on the porosity improvement of biomass-derived activated carbon for methylene blue adsorption.双功能酸对生物质基活性炭提高亚甲基蓝吸附性能的孔隙结构改善作用。
Environ Sci Pollut Res Int. 2019 Oct;26(29):30119-30129. doi: 10.1007/s11356-019-06177-9. Epub 2019 Aug 16.
7
Adsorptive removal of an acid dye by lignocellulosic waste biomass activated carbon: equilibrium and kinetic studies.木质纤维素废料生物炭对酸性染料的吸附去除:平衡和动力学研究。
Chemosphere. 2011 Mar;82(10):1367-72. doi: 10.1016/j.chemosphere.2010.11.080. Epub 2010 Dec 21.
8
Sorption of carbendazim and linuron from aqueous solutions with activated carbon produced from spent coffee grounds: Equilibrium, kinetic and thermodynamic approach.用废弃咖啡渣制备的活性炭从水溶液中吸附多菌灵和利谷隆:平衡、动力学及热力学方法
J Environ Sci Health B. 2019;54(4):226-236. doi: 10.1080/03601234.2018.1550307. Epub 2019 Jan 11.
9
Adsorption of methyl orange dye onto biochar adsorbent prepared from chicken manure.甲基橙染料在由鸡粪制备的生物炭吸附剂上的吸附
Water Sci Technol. 2018 Mar;77(5-6):1303-1312. doi: 10.2166/wst.2018.003.
10
Surface treated acid-activated carbon for adsorption of anionic azo dyes from single and binary adsorptive systems: A detail insight.表面处理酸活化炭对单一和二元吸附体系中阴离子偶氮染料的吸附:详细探讨。
Environ Pollut. 2020 Nov;266(Pt 2):115102. doi: 10.1016/j.envpol.2020.115102. Epub 2020 Jul 4.

引用本文的文献

1
Statistics design for the synthesis optimization of lignin-sulfonate sulfur-doped mesoporous carbon materials: promising candidates as adsorbents and supercapacitors materials.木质素磺酸盐硫掺杂介孔碳材料合成优化的统计设计:有望成为吸附剂和超级电容器材料的候选材料。
Sci Rep. 2024 Oct 7;14(1):23354. doi: 10.1038/s41598-024-75003-1.
2
Visible Light-Induced Reactive Yellow 145 Discoloration: Structural and Photocatalytic Studies of Graphene Quantum Dot-Incorporated TiO.可见光诱导活性黄145褪色:石墨烯量子点掺杂TiO₂的结构与光催化研究
ACS Omega. 2023 Jan 10;8(3):3007-3016. doi: 10.1021/acsomega.2c05805. eCollection 2023 Jan 24.
3

本文引用的文献

1
Modeling of azo dyes adsorption on magnetic NiFeO/RGO nanocomposite using response surface methodology.采用响应面法对磁性NiFeO/RGO纳米复合材料吸附偶氮染料进行建模。
J Environ Health Sci Eng. 2019 Dec 5;17(2):931-947. doi: 10.1007/s40201-019-00409-3. eCollection 2019 Dec.
2
Batch interaction of emerging tetracycline contaminant with novel phosphoric acid activated corn straw porous carbon: Adsorption rate and nature of mechanism.新兴四环素污染物与新型磷酸活化玉米秸秆多孔碳的批量相互作用:吸附速率和机理性质。
Environ Res. 2020 Feb;181:108899. doi: 10.1016/j.envres.2019.108899. Epub 2019 Nov 7.
3
Chitosan-glyoxal film as a superior adsorbent for two structurally different reactive and acid dyes: Adsorption and mechanism study.
Low-cost treated lignocellulosic biomass waste supported with FeCl/Zn(NO) for water decolorization.
用 FeCl/Zn(NO₃)₂负载的低成本处理木质纤维素生物质废料用于水脱色。
Sci Rep. 2022 Sep 30;12(1):16442. doi: 10.1038/s41598-022-20883-4.
4
MIL-101 (Fe) @Ag Rapid Synergistic Antimicrobial and Biosafety Evaluation of Nanomaterials.MIL-101(Fe)@Ag 纳米复合材料的快速协同抗菌作用及生物安全性评价。
Molecules. 2022 May 29;27(11):3497. doi: 10.3390/molecules27113497.
5
Leaf Extract-Assisted Green Synthesis of Silver Nanoparticles and Nano-Adsorbents Having Potential in Ultrasound-Assisted Adsorptive Removal of Methylene Blue Dye from Wastewater and Antimicrobial Activity.叶提取物辅助绿色合成银纳米颗粒及纳米吸附剂,其在超声辅助吸附去除废水中亚甲基蓝染料及抗菌活性方面具有潜力。
Materials (Basel). 2022 Feb 22;15(5):1637. doi: 10.3390/ma15051637.
6
Synthesis and Characterization of Fe-TiO Nanomaterial: Performance Evaluation for RB5 Decolorization and In Vitro Antibacterial Studies.铁掺杂二氧化钛纳米材料的合成与表征:对活性艳红5脱色性能评估及体外抗菌研究
Nanomaterials (Basel). 2021 Feb 9;11(2):436. doi: 10.3390/nano11020436.
壳聚糖-乙二醛薄膜作为两种结构不同的活性和酸性染料的优良吸附剂:吸附和机理研究。
Int J Biol Macromol. 2019 Aug 15;135:569-581. doi: 10.1016/j.ijbiomac.2019.05.127. Epub 2019 May 28.
4
Characterization and adsorptive behaviour of snail shell-rice husk (SS-RH) calcined particles (CPs) towards cationic dye.蜗牛壳-稻壳(SS-RH)煅烧颗粒(CPs)对阳离子染料的表征及吸附行为
Heliyon. 2019 Jan 25;5(1):e01153. doi: 10.1016/j.heliyon.2019.e01153. eCollection 2019 Jan.
5
Application of polyaniline-based adsorbents for dye removal from water and wastewater-a review.基于聚苯胺的吸附剂在水和废水中去除染料的应用——综述。
Environ Sci Pollut Res Int. 2019 Feb;26(6):5333-5356. doi: 10.1007/s11356-018-3990-y. Epub 2019 Jan 5.
6
Role of sorption energy and chemisorption in batch methylene blue and Cu adsorption by novel thuja cone carbon in binary component system: linear and nonlinear modeling.新型雪松圆锥碳在二元组分体系中对亚甲基蓝和 Cu 的吸附作用:线性和非线性模拟。
Environ Sci Pollut Res Int. 2018 Nov;25(31):31579-31592. doi: 10.1007/s11356-018-2958-2. Epub 2018 Sep 11.
7
Palm Kernel Shell Activated Carbon as an Inorganic Framework for Shape-Stabilized Phase Change Material.棕榈壳活性炭作为形状稳定相变材料的无机框架
Nanomaterials (Basel). 2018 Sep 5;8(9):689. doi: 10.3390/nano8090689.
8
Factors Influencing NO₂ Adsorption/Reduction on Microporous Activated Carbon: Porosity vs. Surface Chemistry.影响二氧化氮在微孔活性炭上吸附/还原的因素:孔隙率与表面化学性质
Materials (Basel). 2018 Apr 18;11(4):622. doi: 10.3390/ma11040622.
9
Combined Homogeneous Surface Diffusion Model - Design of experiments approach to optimize dye adsorption considering both equilibrium and kinetic aspects.组合均相表面扩散模型——考虑平衡和动力学两方面的实验设计方法来优化染料吸附。
J Environ Manage. 2017 Dec 15;204(Pt 1):424-435. doi: 10.1016/j.jenvman.2017.09.010. Epub 2017 Sep 12.
10
Decoration of open pore network in Polyvinylidene fluoride/MWCNTs with chitosan for the removal of reactive orange 16 dye.用壳聚糖对聚偏氟乙烯/多壁碳纳米管进行多孔网络修饰,用于去除活性艳橙 16 染料。
Carbohydr Polym. 2017 Oct 15;174:474-483. doi: 10.1016/j.carbpol.2017.06.086. Epub 2017 Jun 24.