Xu Xianlin, Zhang Yan, Wang Wei, Zhang Yin, Yang Ningxi
Department of Gastroenterology, Huiyang Sanhe Hospital, Huizhou, Guangdong, People's Republic of China.
College of Humanities and Social Sciences, Harbin Engineering University, Harbin, Heilongjiang, People's Republic of China.
Psychol Res Behav Manag. 2020 Apr 29;13:363-371. doi: 10.2147/PRBM.S221435. eCollection 2020.
Physician-patient empathy is inextricably linked with outcomes of patients. The purpose of this study was to test whether anxiety, self-efficacy, and sleep quality played intermediary roles in relationships between patients' perceptions of physician-patient relational empathy and an inflammation marker in Crohn's disease patients.
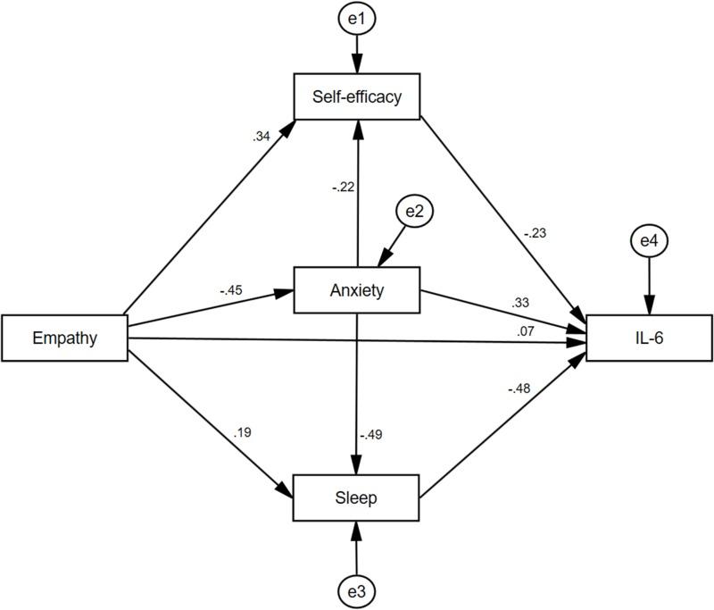
The study included 187 patients. At admission (T1) and 3 months after admission (T2), anxiety, self-efficacy, sleep, and the inflammatory marker IL6 of patients were tested and compared. Patients' perceptions of physician-patient relational empathy (CARE scale) was measured at T2. Correlations among patients' anxiety, self-efficacy, sleep quality, IL6, and CARE scores were explored by Pearson's correlation analysis and a structural equation model.
Compared with T1, patients showed higher self-efficacy and sleep quality and lower anxiety and IL6 at T2. Patients' perceptions of physician-patient relational empathy were negatively related to anxiety and IL6 and connected to self-efficacy and sleep quality positively. Patients' anxiety, self-efficacy, and sleep quality played intermediary roles incorrelations between empathy and IL6.
In correlations of patients' perceptions of physician-patient relational empathy and IL6 in patients with Crohn's disease, patients' anxiety, self-efficacy, and sleep quality acted as intermediary effects. Therefore, medical staff should empathize with patients.
医患同理心与患者的治疗结果有着千丝万缕的联系。本研究旨在检验焦虑、自我效能感和睡眠质量在克罗恩病患者对医患关系同理心的认知与炎症标志物之间的关系中是否起中介作用。
该研究纳入了187例患者。在入院时(T1)和入院后3个月(T2),对患者的焦虑、自我效能感、睡眠及炎症标志物白细胞介素6(IL6)进行检测并比较。在T2时测量患者对医患关系同理心的认知(CARE量表)。通过Pearson相关分析和结构方程模型探讨患者的焦虑、自我效能感、睡眠质量、IL6及CARE得分之间的相关性。
与T1相比,患者在T2时自我效能感和睡眠质量更高,焦虑和IL6更低。患者对医患关系同理心的认知与焦虑和IL6呈负相关,与自我效能感和睡眠质量呈正相关。患者的焦虑、自我效能感和睡眠质量在同理心与IL6的相关性中起中介作用。
在克罗恩病患者对医患关系同理心的认知与IL6的相关性中,患者的焦虑、自我效能感和睡眠质量起到了中介作用。因此,医务人员应该对患者表示同理心。