• 文献检索
  • 文档翻译
  • 深度研究
  • 学术资讯
  • Suppr Zotero 插件Zotero 插件
  • 邀请有礼
  • 套餐&价格
  • 历史记录
应用&插件
Suppr Zotero 插件Zotero 插件浏览器插件Mac 客户端Windows 客户端微信小程序
定价
高级版会员购买积分包购买API积分包
服务
文献检索文档翻译深度研究API 文档MCP 服务
关于我们
关于 Suppr公司介绍联系我们用户协议隐私条款
关注我们

Suppr 超能文献

核心技术专利:CN118964589B侵权必究
粤ICP备2023148730 号-1Suppr @ 2026

文献检索

告别复杂PubMed语法,用中文像聊天一样搜索,搜遍4000万医学文献。AI智能推荐,让科研检索更轻松。

立即免费搜索

文件翻译

保留排版,准确专业,支持PDF/Word/PPT等文件格式,支持 12+语言互译。

免费翻译文档

深度研究

AI帮你快速写综述,25分钟生成高质量综述,智能提取关键信息,辅助科研写作。

立即免费体验

合并症对腰椎退行性疾病初次手术后再次手术的影响:一项基于2009 - 2016年全国人口的回顾性队列研究。

The Influence of Comorbidities on Reoperations Following Primary Surgery of Lumbar Degenerative Diseases : A Nationwide Population-Based Retrospective Cohort Study from 2009-2016.

作者信息

Park Hyung-Ki, Park Su-Yeon, Lee Poong-Hhoon, Park Hye-Ran, Park Sukh-Que, Cho Sung-Jin, Chang Jae-Chil

机构信息

Department of Neurosurgery, Soonchunhyang University Hospital, Seoul, Korea.

Department of Biostatistics, Soonchunhyang University Hospital, Seoul, Korea.

出版信息

J Korean Neurosurg Soc. 2020 Nov;63(6):730-737. doi: 10.3340/jkns.2020.0007. Epub 2020 May 20.

DOI:10.3340/jkns.2020.0007
PMID:32429013
原文链接:https://pmc.ncbi.nlm.nih.gov/articles/PMC7671777/
Abstract

OBJECTIVE

Spinal degeneration is a progressive disease, worsening over time. Lumbar degenerative disease (LDD) is a major spinal disease in elderly patients. Surgical treatment is considered for medically intractable patients with LDD and reoperation after primary surgery is not uncommon. The surgical outcome is occasionally unpredictable because of comorbidities. In the present study, the relationship between comorbidities and the incidence of reoperation for LDD over time was determined.

METHODS

The claims data of the health insurance national database were used to identify a cohort of patients who underwent spinal surgery for LDD in 2009. The patients were followed up until 2016. Medical comorbidity was assessed according to the Charlson comorbidity index (CCI). Cox proportional hazard regression modeling was used to identify significant differences in sex, surgery, age, causative disease, and comorbidity.

RESULTS

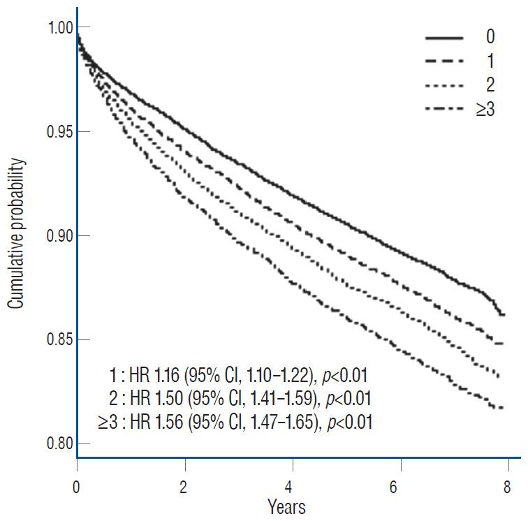
The study cohort included 78241 patients; 10328 patients (13.2%) underwent reoperation during the observation period. The reoperation rate was statistically higher (p<0.01) in males, patients 55-74 years and 65-74 years of age, and patients with decompression or discectomy. Significant association was found between increasing reoperation rate and CCI score (p<0.01). Based on multivariate analysis of comorbidities, the significantly higher reoperation rates were observed in patients with peripheral vascular disease, pulmonary lung disease, peptic ulcer, diabetes, and diabetes complications (p<0.01).

CONCLUSION

The study results indicate the reoperation rate for LDD is associated with patient comorbidities. The comorbidities identified in this study could be helpful in future LDD studies.

摘要

目的

脊柱退变是一种进行性疾病,会随时间推移而恶化。腰椎退变性疾病(LDD)是老年患者的主要脊柱疾病。对于药物治疗难以奏效的LDD患者会考虑手术治疗,初次手术后再次手术的情况并不少见。由于存在合并症,手术结果有时难以预测。在本研究中,确定了合并症与LDD再次手术发生率随时间的关系。

方法

使用健康保险国家数据库的理赔数据来确定2009年因LDD接受脊柱手术的一组患者。对这些患者进行随访直至2016年。根据Charlson合并症指数(CCI)评估医疗合并症。采用Cox比例风险回归模型来确定性别、手术、年龄、致病疾病和合并症方面的显著差异。

结果

研究队列包括78241名患者;10328名患者(13.2%)在观察期内接受了再次手术。男性、55 - 74岁和65 - 74岁的患者以及接受减压或椎间盘切除术的患者再次手术率在统计学上更高(p<0.01)。发现再次手术率增加与CCI评分之间存在显著关联(p<0.01)。基于合并症的多变量分析,在外周血管疾病、肺部疾病、消化性溃疡、糖尿病和糖尿病并发症患者中观察到显著更高的再次手术率(p<0.01)。

结论

研究结果表明LDD的再次手术率与患者合并症有关。本研究中确定的合并症可能有助于未来的LDD研究。

https://cdn.ncbi.nlm.nih.gov/pmc/blobs/267e/7671777/38e5f6096cc5/jkns-2020-0007f2.jpg
https://cdn.ncbi.nlm.nih.gov/pmc/blobs/267e/7671777/02f57f9e49e3/jkns-2020-0007f1.jpg
https://cdn.ncbi.nlm.nih.gov/pmc/blobs/267e/7671777/38e5f6096cc5/jkns-2020-0007f2.jpg
https://cdn.ncbi.nlm.nih.gov/pmc/blobs/267e/7671777/02f57f9e49e3/jkns-2020-0007f1.jpg
https://cdn.ncbi.nlm.nih.gov/pmc/blobs/267e/7671777/38e5f6096cc5/jkns-2020-0007f2.jpg

相似文献

1
The Influence of Comorbidities on Reoperations Following Primary Surgery of Lumbar Degenerative Diseases : A Nationwide Population-Based Retrospective Cohort Study from 2009-2016.合并症对腰椎退行性疾病初次手术后再次手术的影响:一项基于2009 - 2016年全国人口的回顾性队列研究。
J Korean Neurosurg Soc. 2020 Nov;63(6):730-737. doi: 10.3340/jkns.2020.0007. Epub 2020 May 20.
2
Obesity in Patients Undergoing Lumbar Degenerative Surgery-A Retrospective Cohort Study of Postoperative Outcomes.腰椎退行性手术患者的肥胖症:术后结局的回顾性队列研究。
Spine (Phila Pa 1976). 2021 Sep 1;46(17):1191-1196. doi: 10.1097/BRS.0000000000004001.
3
Reoperation rate after surgery for lumbar spinal stenosis without spondylolisthesis: a nationwide cohort study.腰椎管狭窄症手术无脊椎滑脱的再手术率:一项全国性队列研究。
Spine J. 2013 Oct;13(10):1230-7. doi: 10.1016/j.spinee.2013.06.069. Epub 2013 Sep 7.
4
Reoperation rate after surgery for lumbar herniated intervertebral disc disease: nationwide cohort study.腰椎间盘疾病手术后的再次手术率:全国队列研究。
Spine (Phila Pa 1976). 2013 Apr 1;38(7):581-90. doi: 10.1097/BRS.0b013e318274f9a7.
5
5-year reoperation rates after different types of lumbar spine surgery.不同类型腰椎手术后的5年再次手术率。
Spine (Phila Pa 1976). 1998 Apr 1;23(7):814-20. doi: 10.1097/00007632-199804010-00015.
6
The relationship between diabetes and the reoperation rate after lumbar spinal surgery: a nationwide cohort study.糖尿病与腰椎手术后再次手术率之间的关系:一项全国性队列研究。
Spine J. 2015 May 1;15(5):866-74. doi: 10.1016/j.spinee.2015.01.029. Epub 2015 Jan 29.
7
Revision Surgery after Percutaneous Endoscopic Transforaminal Discectomy Compared with Primary Open Surgery for Symptomatic Lumbar Degenerative Disease.经皮内镜椎间孔入路腰椎间盘切除术(PELD)后翻修手术与原发性开放手术治疗症状性腰椎退行性疾病的比较。
Orthop Surg. 2019 Aug;11(4):620-627. doi: 10.1111/os.12507. Epub 2019 Aug 11.
8
Are lumbar spine reoperation rates falling with greater use of fusion surgery and new surgical technology?随着融合手术和新手术技术的更多应用,腰椎再次手术率是否在下降?
Spine (Phila Pa 1976). 2007 Sep 1;32(19):2119-26. doi: 10.1097/BRS.0b013e318145a56a.
9
Reoperation rates after posterior lumbar spinal fusion surgery according to preoperative diagnoses: A national population-based cohort study.根据术前诊断的腰椎后路融合手术后再次手术率:一项基于全国人群的队列研究。
Clin Neurol Neurosurg. 2019 Sep;184:105408. doi: 10.1016/j.clineuro.2019.105408. Epub 2019 Jul 2.
10
Stability-preserving decompression in degenerative versus congenital spinal stenosis: demographic patterns and patient outcomes.退行性与先天性椎管狭窄症中稳定性保留减压术:人口统计学模式与患者预后
Spine J. 2017 Oct;17(10):1420-1425. doi: 10.1016/j.spinee.2017.04.031. Epub 2017 Apr 26.

引用本文的文献

1
Psoriatic arthritis increases the risk of venous thromboembolism following degenerative lumbar spine surgery: An analysis of U.S. Nationwide Inpatient Sample 2005-2018.银屑病关节炎增加了退行性腰椎手术后静脉血栓栓塞的风险:对2005 - 2018年美国全国住院患者样本的分析。
Heliyon. 2023 Dec 12;10(1):e23613. doi: 10.1016/j.heliyon.2023.e23613. eCollection 2024 Jan 15.
2
Impact of Indoor Air Quality and Breathing on Back and Neck Pain: A Systematic Review.室内空气质量与呼吸对背部和颈部疼痛的影响:一项系统综述
Cureus. 2023 Aug 22;15(8):e43945. doi: 10.7759/cureus.43945. eCollection 2023 Aug.
3
Effect of Dosing Interval on Compliance of Osteoporosis Patients on Bisphosphonate Therapy: Observational Study Using Nationwide Insurance Claims Data.

本文引用的文献

1
Diabetes mellitus as a risk factor for intervertebral disc degeneration: a critical review.糖尿病作为椎间盘退变的危险因素:一项关键性综述。
Eur Spine J. 2019 Sep;28(9):2129-2144. doi: 10.1007/s00586-019-06029-7. Epub 2019 Jun 14.
2
Vitamin D retards intervertebral disc degeneration through inactivation of the NF-κB pathway in mice.维生素D通过使小鼠体内的核因子κB信号通路失活来延缓椎间盘退变。
Am J Transl Res. 2019 Apr 15;11(4):2496-2506. eCollection 2019.
3
The influence of developmental spinal stenosis on the risk of re-operation on an adjacent segment after decompression-only surgery for lumbar spinal stenosis.
给药间隔对接受双膦酸盐治疗的骨质疏松症患者依从性的影响:使用全国保险理赔数据的观察性研究
J Clin Med. 2021 Sep 24;10(19):4350. doi: 10.3390/jcm10194350.
发育性椎管狭窄对腰椎管狭窄减压术后再手术相邻节段风险的影响。
Bone Joint J. 2019 Feb;101-B(2):154-161. doi: 10.1302/0301-620X.101B2.BJJ-2018-1136.R2.
4
The effect of vitamin D deficiency on eradication rates of infection.维生素D缺乏对感染根除率的影响。
JGH Open. 2018 Aug 2;2(6):270-275. doi: 10.1002/jgh3.12081. eCollection 2018 Dec.
5
Mechanisms of endogenous repair failure during intervertebral disc degeneration.椎间盘退变过程中内源性修复失败的机制。
Osteoarthritis Cartilage. 2019 Jan;27(1):41-48. doi: 10.1016/j.joca.2018.08.021. Epub 2018 Sep 19.
6
Fusion Techniques Are Related to a Lower Risk of Reoperation in Lumbar Disc Herniation: A 5-Year Observation Study of a Nationwide Cohort in Taiwan.融合技术与腰椎间盘突出症再次手术风险较低相关:台湾全国队列的5年观察研究
World Neurosurg. 2018 Sep;117:e660-e668. doi: 10.1016/j.wneu.2018.06.109. Epub 2018 Jun 23.
7
Reactive Oxygen Species in Chronic Obstructive Pulmonary Disease.慢性阻塞性肺疾病中的活性氧物种。
Oxid Med Cell Longev. 2018 Feb 11;2018:5730395. doi: 10.1155/2018/5730395. eCollection 2018.
8
Decompression Alone Versus Decompression and Fusion for Lumbar Degenerative Spondylolisthesis: A Meta-Analysis.单纯减压与减压融合治疗腰椎退行性滑脱症的Meta分析
World Neurosurg. 2018 Mar;111:e165-e177. doi: 10.1016/j.wneu.2017.12.009. Epub 2017 Dec 14.
9
Age-related reduction in the expression of FOXO transcription factors and correlations with intervertebral disc degeneration.FOXO转录因子表达随年龄增长的降低及其与椎间盘退变的相关性。
J Orthop Res. 2017 Dec;35(12):2682-2691. doi: 10.1002/jor.23583. Epub 2017 May 4.
10
Risk Factors for Reoperation in Patients Treated Surgically for Degenerative Spondylolisthesis: A Subanalysis of the 8-year Data From the SPORT Trial.手术治疗退行性腰椎滑脱症患者再次手术的风险因素:SPORT 试验 8 年数据的亚分析。
Spine (Phila Pa 1976). 2017 Oct 15;42(20):1559-1569. doi: 10.1097/BRS.0000000000002196.