• 文献检索
  • 文档翻译
  • 深度研究
  • 学术资讯
  • Suppr Zotero 插件Zotero 插件
  • 邀请有礼
  • 套餐&价格
  • 历史记录
应用&插件
Suppr Zotero 插件Zotero 插件浏览器插件Mac 客户端Windows 客户端微信小程序
定价
高级版会员购买积分包购买API积分包
服务
文献检索文档翻译深度研究API 文档MCP 服务
关于我们
关于 Suppr公司介绍联系我们用户协议隐私条款
关注我们

Suppr 超能文献

核心技术专利:CN118964589B侵权必究
粤ICP备2023148730 号-1Suppr @ 2026

文献检索

告别复杂PubMed语法,用中文像聊天一样搜索,搜遍4000万医学文献。AI智能推荐,让科研检索更轻松。

立即免费搜索

文件翻译

保留排版,准确专业,支持PDF/Word/PPT等文件格式,支持 12+语言互译。

免费翻译文档

深度研究

AI帮你快速写综述,25分钟生成高质量综述,智能提取关键信息,辅助科研写作。

立即免费体验

与子宫内膜异位症中的不孕症、子宫内膜瘤或子宫肌瘤相关的全身炎症反应标志物

Systemic Inflammatory Response Markers Associated with Infertility and Endometrioma or Uterine Leiomyoma in Endometriosis.

作者信息

Jing Xuanxuan, Li Chen, Sun Jintang, Peng Jin, Dou Yu, Xu Xiaofei, Ma Chao, Dong Zhaogang, Liu Yanguo, Zhang Hui, Shao Qianqian, Zhang Hui, Wang Lijie, Zhang Yun, Qu Xun

机构信息

Institute of Basic Medical Sciences, Key Laboratory of Cardiovascular Remodeling and Function Research, Qilu Hospital of Shandong University, Jinan, Shandong 250012, People's Republic China.

Department of Radiation Oncology, Qilu Hospital of Shandong University, Jinan 250012, Shandong, People's Republic of China.

出版信息

Ther Clin Risk Manag. 2020 May 11;16:403-412. doi: 10.2147/TCRM.S232849. eCollection 2020.

DOI:10.2147/TCRM.S232849
PMID:32494145
原文链接:https://pmc.ncbi.nlm.nih.gov/articles/PMC7229864/
Abstract

PURPOSE

The aim of this study was to find the most useful marker of endometriosis-related infertility and evaluate predictive and diagnostic values of systemic inflammatory response markers (preoperative white blood-cell subtypes, neutrophil:lymphocyte ratio [NLR], platelet:lymphocyte ratio [PLR], and monocyte:lymphocyte ratio [MLR]) and CA125 levels in endometriosis patients.

METHODS

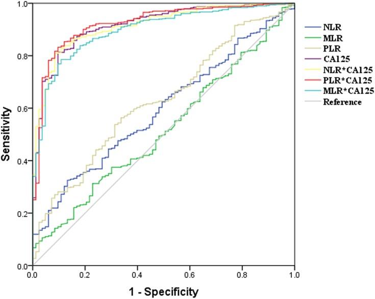
This study comprised 662 women who had undergone laparoscopic surgery and been pathologically confirmed as having endometriosis and 83 patients pathologically confirmed with benign ovarian tumors. Related inflammatory factors in endometriosis complicated by infertility were analyzed via logistic regression analysis. Diagnostic values of the inflammatory response markers were obtained by receiver operating-characteristic analysis.

RESULTS

We firstly identified that lower NLR level was an independent risk factor of infertility. Serum lymphocytes were significantly higher in endometriosis patients, while serum CA125, NLR, MLR, and PLR were elevated. For differentiating endometriosis from other benign ovarian tumors, the combination of NLR and CA125 achieved greater sensitivity than CA125 alone. In addition, both CA125 and NLR were positively correlated with stage, oviduct adhesion, and diameter of ovarian ectopic cysts.

CONCLUSION

NLR may be used as a simple and easily obtained predictive marker for endometriosis with infertility. Moreover, NLR can be a neoadjuvant biomarker for serum CA125 to diagnose endometriosis.

摘要

目的

本研究旨在寻找子宫内膜异位症相关性不孕最有用的标志物,并评估全身炎症反应标志物(术前白细胞亚型、中性粒细胞与淋巴细胞比值[NLR]、血小板与淋巴细胞比值[PLR]以及单核细胞与淋巴细胞比值[MLR])和CA125水平在子宫内膜异位症患者中的预测和诊断价值。

方法

本研究纳入662例行腹腔镜手术且经病理确诊为子宫内膜异位症的女性以及83例经病理确诊为良性卵巢肿瘤的患者。通过逻辑回归分析对子宫内膜异位症合并不孕患者的相关炎症因子进行分析。通过受试者工作特征分析获得炎症反应标志物的诊断价值。

结果

我们首先确定较低的NLR水平是不孕的独立危险因素。子宫内膜异位症患者血清淋巴细胞显著升高,而血清CA125、NLR、MLR和PLR升高。对于鉴别子宫内膜异位症与其他良性卵巢肿瘤,NLR和CA125联合使用比单独使用CA125具有更高的敏感性。此外,CA125和NLR均与分期、输卵管粘连及卵巢异位囊肿直径呈正相关。

结论

NLR可作为子宫内膜异位症伴不孕的一种简单易获取的预测标志物。此外,NLR可作为血清CA125诊断子宫内膜异位症的新辅助生物标志物。

https://cdn.ncbi.nlm.nih.gov/pmc/blobs/19c3/7229864/67df181750d4/TCRM-16-403-g0004.jpg
https://cdn.ncbi.nlm.nih.gov/pmc/blobs/19c3/7229864/e324ad0e8ced/TCRM-16-403-g0001.jpg
https://cdn.ncbi.nlm.nih.gov/pmc/blobs/19c3/7229864/7a910f7becd9/TCRM-16-403-g0002.jpg
https://cdn.ncbi.nlm.nih.gov/pmc/blobs/19c3/7229864/f72da749a280/TCRM-16-403-g0003.jpg
https://cdn.ncbi.nlm.nih.gov/pmc/blobs/19c3/7229864/67df181750d4/TCRM-16-403-g0004.jpg
https://cdn.ncbi.nlm.nih.gov/pmc/blobs/19c3/7229864/e324ad0e8ced/TCRM-16-403-g0001.jpg
https://cdn.ncbi.nlm.nih.gov/pmc/blobs/19c3/7229864/7a910f7becd9/TCRM-16-403-g0002.jpg
https://cdn.ncbi.nlm.nih.gov/pmc/blobs/19c3/7229864/f72da749a280/TCRM-16-403-g0003.jpg
https://cdn.ncbi.nlm.nih.gov/pmc/blobs/19c3/7229864/67df181750d4/TCRM-16-403-g0004.jpg

相似文献

1
Systemic Inflammatory Response Markers Associated with Infertility and Endometrioma or Uterine Leiomyoma in Endometriosis.与子宫内膜异位症中的不孕症、子宫内膜瘤或子宫肌瘤相关的全身炎症反应标志物
Ther Clin Risk Manag. 2020 May 11;16:403-412. doi: 10.2147/TCRM.S232849. eCollection 2020.
2
[Study on the predictive significance of PLR, SII and RPR in ovarian endometriotic cyst].[血小板与淋巴细胞比值、全身免疫炎症指数及红细胞分布宽度在卵巢子宫内膜异位囊肿中的预测意义研究]
Zhonghua Fu Chan Ke Za Zhi. 2023 Sep 25;58(9):672-679. doi: 10.3760/cma.j.cn112141-20230504-00200.
3
Diagnostic roles of neutrophil-to-lymphocyte ratio, monocyte-to-lymphocyte ratio, platelet-to-lymphocyte ratio, C-reactive protein, and cancer antigen 125 for ovarian cancer.中性粒细胞与淋巴细胞比值、单核细胞与淋巴细胞比值、血小板与淋巴细胞比值、C 反应蛋白和癌抗原 125 对卵巢癌的诊断作用。
J Int Med Res. 2023 Dec;51(12):3000605231218557. doi: 10.1177/03000605231218557.
4
Platelet-to-Lymphocyte Ratio and CA125 Level as a Combined Biomarker for Diagnosing Endometriosis and Predicting Pelvic Adhesion Severity.血小板与淋巴细胞比值及CA125水平作为诊断子宫内膜异位症和预测盆腔粘连严重程度的联合生物标志物
Front Oncol. 2022 Jun 21;12:896152. doi: 10.3389/fonc.2022.896152. eCollection 2022.
5
Predictive value of preoperative inflammatory markers and serum CA 125 level for surgical outcome in Indonesian women with epithelial ovarian cancer.术前炎症标志物和血清CA 125水平对印度尼西亚上皮性卵巢癌女性手术结局的预测价值。
Cancer Biomark. 2022;34(1):123-129. doi: 10.3233/CBM-201415.
6
Combined use of CA125, neutrophil/lymphocyte ratio and platelet/lymphocyte ratio for the diagnosis of borderline and malignant epithelial ovarian tumors.联合检测 CA125、中性粒细胞/淋巴细胞比值和血小板/淋巴细胞比值在交界性和恶性上皮性卵巢肿瘤诊断中的应用。
J Ovarian Res. 2023 Feb 9;16(1):37. doi: 10.1186/s13048-023-01106-4.
7
Comparison of the diagnostic efficacy of systemic inflammatory indicators in the early diagnosis of ovarian cancer.全身炎症指标在卵巢癌早期诊断中的诊断效能比较。
Front Oncol. 2024 Jul 2;14:1381268. doi: 10.3389/fonc.2024.1381268. eCollection 2024.
8
Diagnostic value of serum D-dimer, CA125, and neutrophil-to-lymphocyte ratio in differentiating ovarian cancer and endometriosis.血清 D-二聚体、CA125 和中性粒细胞与淋巴细胞比值在鉴别卵巢癌和子宫内膜异位症中的诊断价值。
Int J Gynaecol Obstet. 2019 Nov;147(2):212-218. doi: 10.1002/ijgo.12949.
9
Pretreatment serum neutrophil-to-lymphocyte and monocyte-to-lymphocyte ratios: Two tumor-related systemic inflammatory markers in patients with thymic epithelial tumors.治疗前血清中性粒细胞与淋巴细胞比值和单核细胞与淋巴细胞比值:胸腺癌患者的两个与肿瘤相关的系统性炎症标志物。
Cytokine. 2020 Sep;133:155149. doi: 10.1016/j.cyto.2020.155149. Epub 2020 Jun 5.
10
Use of Neutrophil-to-Lymphocyte Ratio Combined With CA-125 to Distinguish Endometriomas From Other Benign Ovarian Cysts.中性粒细胞与淋巴细胞比值联合CA-125用于鉴别卵巢子宫内膜异位囊肿与其他良性卵巢囊肿
Reprod Sci. 2016 Jun;23(6):795-802. doi: 10.1177/1933719115620494. Epub 2015 Dec 20.

引用本文的文献

1
Diagnostic Value of Serum Cancer Antigen 125, Carcinoembryonic Antigen, Cancer Antigen 19-9, Anti Müllerian Hormone, White Blood Cell Count, Platelet Count, and Neutrophil to Lymphocyte Ratio in Endometriosis: A Retrospective Study.血清癌抗原125、癌胚抗原、癌抗原19-9、抗苗勒管激素、白细胞计数、血小板计数及中性粒细胞与淋巴细胞比值在子宫内膜异位症中的诊断价值:一项回顾性研究
Int J Fertil Steril. 2025 May 14;19(3):259-263. doi: 10.22074/ijfs.2024.2010957.1534.
2
The Role of Inflammatory Markers NLR and PLR in Predicting Pelvic Pain in Endometriosis.炎症标志物中性粒细胞与淋巴细胞比值(NLR)和血小板与淋巴细胞比值(PLR)在预测子宫内膜异位症盆腔疼痛中的作用
J Clin Med. 2024 Dec 30;14(1):149. doi: 10.3390/jcm14010149.
3

本文引用的文献

1
Endometriosis.子宫内膜异位症。
Nat Rev Dis Primers. 2018 Jul 19;4(1):9. doi: 10.1038/s41572-018-0008-5.
2
Clinical significance of platelet-to-lymphocyte ratio in women with preeclampsia.血小板与淋巴细胞比值在子痫前期妇女中的临床意义。
Am J Reprod Immunol. 2018 Jul;80(1):e12973. doi: 10.1111/aji.12973. Epub 2018 May 21.
3
The Role of Oxidative Stress and Membrane Transport Systems during Endometriosis: A Fresh Look at a Busy Corner.氧化应激和膜转运系统在子宫内膜异位症中的作用:一个繁忙角落的新视角。
Systemic inflammatory indices as a non-invasive grading modality for endometriosis: a comparative study versus exploratory laparoscopy.
全身炎症指标作为子宫内膜异位症的一种非侵入性分级方式:与 exploratory laparoscopy 的对比研究 。(注:“exploratory laparoscopy”直译为“探索性腹腔镜检查”,可能是一种特定的腹腔镜检查类型,这里按原文保留未翻译)
Rev Bras Ginecol Obstet. 2024 Dec 4;46. doi: 10.61622/rbgo/2024rbgo84. eCollection 2024.
4
Application of machine learning techniques in the diagnosis of endometriosis.机器学习技术在子宫内膜异位症诊断中的应用。
BMC Womens Health. 2024 Sep 5;24(1):491. doi: 10.1186/s12905-024-03334-2.
5
Role of Molecular Biomarkers in Endometriosis-Related Infertility: A Narrative Review of the Literature.分子生物标志物在子宫内膜异位症相关性不孕中的作用:文献综述
Cureus. 2024 Apr 29;16(4):e59288. doi: 10.7759/cureus.59288. eCollection 2024 Apr.
6
The value of lung function assessment and Testin expression detection in clinicopathological features and prognosis of NSCLC patients.肺功能评估和 Testin 表达检测在 NSCLC 患者临床病理特征和预后中的价值。
J Cardiothorac Surg. 2024 Apr 16;19(1):223. doi: 10.1186/s13019-024-02720-z.
7
Inflammatory markers are associated with infertility prevalence: a cross-sectional analysis of the NHANES 2013-2020.炎症标志物与不孕流行率相关:NHANES 2013-2020 的横断面分析。
BMC Public Health. 2024 Jan 18;24(1):221. doi: 10.1186/s12889-024-17699-4.
8
Combined delta neutrophil index and red blood cell distribution width as a new biomarker to predict endometriosis.联合中性粒细胞 delta 指数和红细胞分布宽度作为预测子宫内膜异位症的新型生物标志物。
J Turk Ger Gynecol Assoc. 2024 Mar 6;25(1):30-37. doi: 10.4274/jtgga.galenos.2023.2022-11-4. Epub 2023 Dec 7.
9
Diagnostic significance of neutrophil to lymphocyte ratio in endometriosis: a systematic review and meta-analysis.中性粒细胞与淋巴细胞比值在子宫内膜异位症中的诊断意义:系统评价和荟萃分析。
BMC Womens Health. 2023 Nov 7;23(1):576. doi: 10.1186/s12905-023-02692-7.
10
Inflammatory Markers in Women with Infertility: A Cross-Sectional Study.不孕女性的炎症标志物:一项横断面研究。
Int J Gen Med. 2023 Mar 27;16:1113-1121. doi: 10.2147/IJGM.S405793. eCollection 2023.
Oxid Med Cell Longev. 2018 Mar 21;2018:7924021. doi: 10.1155/2018/7924021. eCollection 2018.
4
Platelet-to-lymphocyte ratio in advanced Cancer: Review and meta-analysis.血小板与淋巴细胞比值在晚期癌症中的应用:综述与荟萃分析。
Clin Chim Acta. 2018 Aug;483:48-56. doi: 10.1016/j.cca.2018.04.023. Epub 2018 Apr 18.
5
The association between in vitro fertilization outcome and the inflammatory markers of complete blood count among nonobese unexplained infertile couples.非肥胖型不明原因不孕夫妇体外受精结局与血常规炎症标志物之间的关联。
Taiwan J Obstet Gynecol. 2018 Apr;57(2):289-294. doi: 10.1016/j.tjog.2018.02.019.
6
Coagulation Status in Women With Endometriosis.子宫内膜异位症女性的凝血状态
Reprod Sci. 2018 Apr;25(4):559-565. doi: 10.1177/1933719117718273. Epub 2017 Jul 6.
7
Unus pro omnibus, omnes pro uno: A novel, evidence-based, unifying theory for the pathogenesis of endometriosis.一人为大家,大家为一人:一种关于子宫内膜异位症发病机制的新颖、基于证据的统一理论。
Med Hypotheses. 2017 Jun;103:10-20. doi: 10.1016/j.mehy.2017.03.032. Epub 2017 Mar 31.
8
Correlation of CA-125 serum level and clinico-pathological characteristic of patients with endometriosis.子宫内膜异位症患者血清CA - 125水平与临床病理特征的相关性
Int J Reprod Biomed. 2016 Nov;14(11):713-718.
9
Use of Neutrophil-to-Lymphocyte Ratio Combined With CA-125 to Distinguish Endometriomas From Other Benign Ovarian Cysts.中性粒细胞与淋巴细胞比值联合CA-125用于鉴别卵巢子宫内膜异位囊肿与其他良性卵巢囊肿
Reprod Sci. 2016 Jun;23(6):795-802. doi: 10.1177/1933719115620494. Epub 2015 Dec 20.
10
Association of the neutrophil-to-lymphocyte ratio and CA 125 with the endometriosis score.中性粒细胞与淋巴细胞比值及CA 125与子宫内膜异位症评分的相关性。
Clin Exp Reprod Med. 2014 Dec;41(4):151-7. doi: 10.5653/cerm.2014.41.4.151. Epub 2014 Dec 31.