• 文献检索
  • 文档翻译
  • 深度研究
  • 学术资讯
  • Suppr Zotero 插件Zotero 插件
  • 邀请有礼
  • 套餐&价格
  • 历史记录
应用&插件
Suppr Zotero 插件Zotero 插件浏览器插件Mac 客户端Windows 客户端微信小程序
定价
高级版会员购买积分包购买API积分包
服务
文献检索文档翻译深度研究API 文档MCP 服务
关于我们
关于 Suppr公司介绍联系我们用户协议隐私条款
关注我们

Suppr 超能文献

核心技术专利:CN118964589B侵权必究
粤ICP备2023148730 号-1Suppr @ 2026

文献检索

告别复杂PubMed语法,用中文像聊天一样搜索,搜遍4000万医学文献。AI智能推荐,让科研检索更轻松。

立即免费搜索

文件翻译

保留排版,准确专业,支持PDF/Word/PPT等文件格式,支持 12+语言互译。

免费翻译文档

深度研究

AI帮你快速写综述,25分钟生成高质量综述,智能提取关键信息,辅助科研写作。

立即免费体验

T 盒转录因子蛋白 21(TBX21)在皮肤皮肤黑色素瘤中的表达增加预示着更好的预后:基于癌症基因组图谱(TCGA)和基因型组织表达(GTEx)数据库的研究。

Increased Expression of T-Box Transcription Factor Protein 21 (TBX21) in Skin Cutaneous Melanoma Predicts Better Prognosis: A Study Based on The Cancer Genome Atlas (TCGA) and Genotype-Tissue Expression (GTEx) Databases.

机构信息

Department of Radiotherapy, Affiliated Hospital of Xuzhou Medical University, Xuzhou, Jiangsu, China (mainland).

出版信息

Med Sci Monit. 2020 Jun 20;26:e923087. doi: 10.12659/MSM.923087.

DOI:10.12659/MSM.923087
PMID:32561704
原文链接:https://pmc.ncbi.nlm.nih.gov/articles/PMC7325556/
Abstract

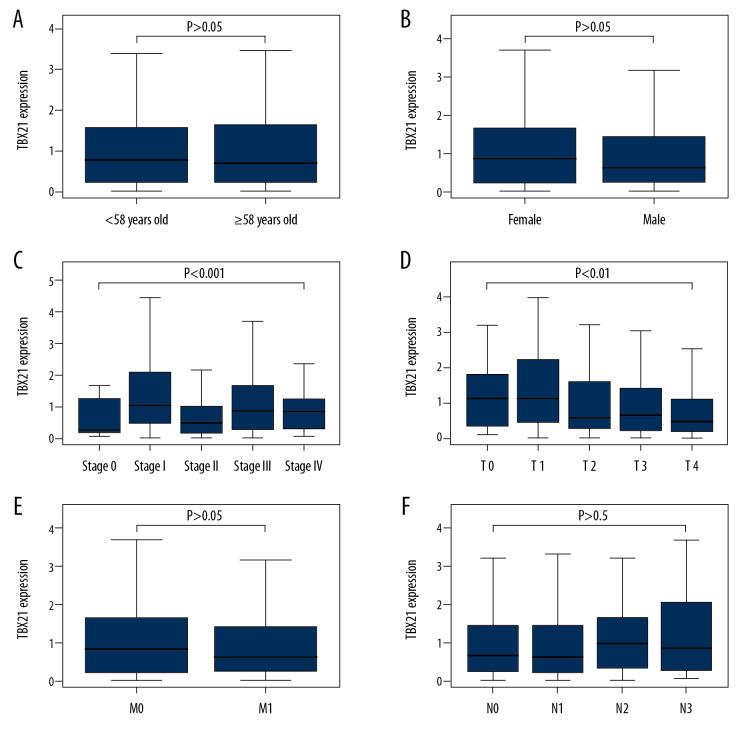
BACKGROUND T-box transcription factor protein 21 (TBX21) is expressed in immune cells and some tumor cells. Defects in TBX21 gene can cause Th1/Th2 imbalance, which is closely related to tumorigenesis. The expression and clinical value of TBX21 in skin cutaneous melanoma (SKCM) are not clear. MATERIAL AND METHODS RNA-Seq expression and clinical information were downloaded from The Cancer Genome Atlas (TCGA) and Genotype-Tissue Expression (GTEx) databases. Wilcoxon signed-rank test and logistic regression were used to explore the relationship between TBX21 expression and clinical parameters such as gender, stage, etc. The correlation between clinicopathological characteristics and overall survival of SKCM patients was estimated by Cox regression and the Kaplan-Meier method. Gene set enrichment analysis (GSEA) and protein-protein interaction (PPI) were conducted to analyze the potential mechanism of TBX21 in the progression of SKCM. RESULTS Compared with normal samples, TBX21 was significantly upregulated in SKCM tissues. SKCM patients with lower TBX21 expression might have a worse prognosis than those with higher TBX21 expression according to Kaplan-Meier survival analysis. Cox analysis also reached the same conclusion: TBX21 was an independent prognostic indicator. GSEA showed that the highly expressed phenotypes in TBX21 were enriched to varying degrees with various signaling pathways. PPI network showed the top 10 proteins that were closely related to TBX21. CONCLUSIONS TBX21 expression was significantly correlated with the prognosis of SKCM patients and was found to be involved in a great many immunological pathways that affect the occurrence and development of tumors.

摘要

背景 T 盒转录因子蛋白 21(TBX21)在免疫细胞和一些肿瘤细胞中表达。TBX21 基因缺陷可导致 Th1/Th2 失衡,这与肿瘤发生密切相关。TBX21 在皮肤黑色素瘤(SKCM)中的表达及其临床价值尚不清楚。

材料和方法 从癌症基因组图谱(TCGA)和基因-组织表达(GTEx)数据库中下载 RNA-Seq 表达和临床信息。Wilcoxon 符号秩检验和逻辑回归用于探讨 TBX21 表达与性别、分期等临床参数之间的关系。Cox 回归和 Kaplan-Meier 法估计 SKCM 患者临床病理特征与总生存的相关性。基因集富集分析(GSEA)和蛋白质-蛋白质相互作用(PPI)用于分析 TBX21 在 SKCM 进展中的潜在机制。

结果 与正常组织相比,TBX21 在 SKCM 组织中明显上调。根据 Kaplan-Meier 生存分析,TBX21 低表达的 SKCM 患者的预后可能比 TBX21 高表达的患者差。Cox 分析也得出了相同的结论:TBX21 是一个独立的预后指标。GSEA 显示,TBX21 高表达的表型在不同程度上富集到各种信号通路。PPI 网络显示与 TBX21 密切相关的前 10 个蛋白质。

结论 TBX21 表达与 SKCM 患者的预后显著相关,并且发现它参与了许多影响肿瘤发生和发展的免疫途径。

https://cdn.ncbi.nlm.nih.gov/pmc/blobs/6415/7325556/028bd94691ea/medscimonit-26-e923087-g008.jpg
https://cdn.ncbi.nlm.nih.gov/pmc/blobs/6415/7325556/2def978deadf/medscimonit-26-e923087-g001.jpg
https://cdn.ncbi.nlm.nih.gov/pmc/blobs/6415/7325556/07f2dabfe06b/medscimonit-26-e923087-g002.jpg
https://cdn.ncbi.nlm.nih.gov/pmc/blobs/6415/7325556/c8b113df4313/medscimonit-26-e923087-g003.jpg
https://cdn.ncbi.nlm.nih.gov/pmc/blobs/6415/7325556/b3612c27158c/medscimonit-26-e923087-g004.jpg
https://cdn.ncbi.nlm.nih.gov/pmc/blobs/6415/7325556/59df553ee8d9/medscimonit-26-e923087-g005.jpg
https://cdn.ncbi.nlm.nih.gov/pmc/blobs/6415/7325556/6354dccc60b1/medscimonit-26-e923087-g006.jpg
https://cdn.ncbi.nlm.nih.gov/pmc/blobs/6415/7325556/d2f34bcdd9d6/medscimonit-26-e923087-g007.jpg
https://cdn.ncbi.nlm.nih.gov/pmc/blobs/6415/7325556/028bd94691ea/medscimonit-26-e923087-g008.jpg
https://cdn.ncbi.nlm.nih.gov/pmc/blobs/6415/7325556/2def978deadf/medscimonit-26-e923087-g001.jpg
https://cdn.ncbi.nlm.nih.gov/pmc/blobs/6415/7325556/07f2dabfe06b/medscimonit-26-e923087-g002.jpg
https://cdn.ncbi.nlm.nih.gov/pmc/blobs/6415/7325556/c8b113df4313/medscimonit-26-e923087-g003.jpg
https://cdn.ncbi.nlm.nih.gov/pmc/blobs/6415/7325556/b3612c27158c/medscimonit-26-e923087-g004.jpg
https://cdn.ncbi.nlm.nih.gov/pmc/blobs/6415/7325556/59df553ee8d9/medscimonit-26-e923087-g005.jpg
https://cdn.ncbi.nlm.nih.gov/pmc/blobs/6415/7325556/6354dccc60b1/medscimonit-26-e923087-g006.jpg
https://cdn.ncbi.nlm.nih.gov/pmc/blobs/6415/7325556/d2f34bcdd9d6/medscimonit-26-e923087-g007.jpg
https://cdn.ncbi.nlm.nih.gov/pmc/blobs/6415/7325556/028bd94691ea/medscimonit-26-e923087-g008.jpg

相似文献

1
Increased Expression of T-Box Transcription Factor Protein 21 (TBX21) in Skin Cutaneous Melanoma Predicts Better Prognosis: A Study Based on The Cancer Genome Atlas (TCGA) and Genotype-Tissue Expression (GTEx) Databases.T 盒转录因子蛋白 21(TBX21)在皮肤皮肤黑色素瘤中的表达增加预示着更好的预后:基于癌症基因组图谱(TCGA)和基因型组织表达(GTEx)数据库的研究。
Med Sci Monit. 2020 Jun 20;26:e923087. doi: 10.12659/MSM.923087.
2
Low expression of endoplasmic reticulum stress-related gene SERP1 is associated with poor prognosis and immune infiltration in skin cutaneous melanoma.内质网应激相关基因 SERP1 的低表达与皮肤黑色素瘤的不良预后和免疫浸润有关。
Aging (Albany NY). 2021 Oct 5;13(19):23036-23071. doi: 10.18632/aging.203594.
3
Development of an IFNγ response-related signature for predicting the survival of cutaneous melanoma.建立一个与 IFNγ 反应相关的特征,用于预测皮肤黑色素瘤的生存情况。
Cancer Med. 2020 Nov;9(21):8186-8201. doi: 10.1002/cam4.3438. Epub 2020 Sep 9.
4
Aspartate beta-hydroxylase domain containing 1 as a prognostic marker associated with immune infiltration in skin cutaneous melanoma.天冬氨酸β-羟化酶结构域包含 1 作为与皮肤黑色素瘤免疫浸润相关的预后标志物。
BMC Cancer. 2023 Mar 31;23(1):292. doi: 10.1186/s12885-023-10625-8.
5
Prognostic and immune-related value of STK17B in skin cutaneous melanoma.STK17B 在皮肤黑色素瘤中的预后和免疫相关价值。
PLoS One. 2022 Feb 16;17(2):e0263311. doi: 10.1371/journal.pone.0263311. eCollection 2022.
6
Predicting the clinical outcome of melanoma using an immune-related gene pairs signature.利用免疫相关基因对signature 预测黑色素瘤的临床结局。
PLoS One. 2020 Oct 8;15(10):e0240331. doi: 10.1371/journal.pone.0240331. eCollection 2020.
7
Gene expression and immune infiltration in melanoma patients with different mutation burden.黑色素瘤患者不同突变负担的基因表达和免疫浸润。
BMC Cancer. 2021 Apr 9;21(1):379. doi: 10.1186/s12885-021-08083-1.
8
TREM2 as a Potential Immune-Related Biomarker of Prognosis in Patients with Skin Cutaneous Melanoma Microenvironment.TREM2 作为皮肤黑色素瘤微环境中患者预后的潜在免疫相关生物标志物。
Dis Markers. 2023 Jan 27;2023:8101837. doi: 10.1155/2023/8101837. eCollection 2023.
9
The Identification of Prognostic and Metastatic Alternative Splicing in Skin Cutaneous Melanoma.皮肤黑色素瘤中预后和转移的可变剪接鉴定。
Cancer Control. 2022 Jan-Dec;29:10732748211051554. doi: 10.1177/10732748211051554.
10
The nucleosome remodeling and deacetylase complex has prognostic significance and associates with immune microenvironment in skin cutaneous melanoma.核小体重塑与去乙酰化酶复合物在皮肤黑色素瘤中具有预后意义并与免疫微环境相关。
Int Immunopharmacol. 2020 Nov;88:106887. doi: 10.1016/j.intimp.2020.106887. Epub 2020 Aug 12.

引用本文的文献

1
Machine Learning-Based Prognostic Gene Signature for Early Triple-Negative Breast Cancer.基于机器学习的早期三阴性乳腺癌预后基因特征
Cancer Res Treat. 2025 Jul;57(3):731-740. doi: 10.4143/crt.2024.937. Epub 2024 Nov 19.
2
Context-dependent T-BOX transcription factor family: from biology to targeted therapy.上下文相关的 T-BOX 转录因子家族:从生物学到靶向治疗。
Cell Commun Signal. 2024 Jul 4;22(1):350. doi: 10.1186/s12964-024-01719-2.
3
Pyromeconic acid-enriched Erigeron annuus water extract as a cosmetic ingredient for itch relief and anti-inflammatory activity.

本文引用的文献

1
PAK4 inhibition improves PD-1 blockade immunotherapy.PAK4 抑制可改善 PD-1 阻断免疫疗法。
Nat Cancer. 2020;1(1):46-58. doi: 10.1038/s43018-019-0003-0. Epub 2019 Dec 9.
2
Alternative polyadenylation drives oncogenic gene expression in pancreatic ductal adenocarcinoma.可变多聚腺苷酸化驱动胰腺导管腺癌中的致癌基因表达。
Genome Res. 2020 Mar;30(3):347-360. doi: 10.1101/gr.257550.119. Epub 2020 Feb 6.
3
Visualization and quantification of NK cell-mediated cytotoxicity over extended time periods by image cytometry.通过图像细胞术对 NK 细胞介导的细胞毒性进行长时间的可视化和定量分析。
富含 pyroconic 酸的苍术水提取物作为一种化妆品成分,具有止痒和抗炎活性。
Sci Rep. 2024 Feb 26;14(1):4698. doi: 10.1038/s41598-024-55365-2.
4
Identifying diagnostic markers and constructing a prognostic model for small-cell lung cancer based on blood exosome-related genes and machine-learning methods.基于血液外泌体相关基因和机器学习方法鉴定小细胞肺癌的诊断标志物并构建预后模型。
Front Oncol. 2022 Dec 22;12:1077118. doi: 10.3389/fonc.2022.1077118. eCollection 2022.
5
The immune subtypes and landscape of sarcomas.肉瘤的免疫亚型和全景
BMC Immunol. 2022 Sep 24;23(1):46. doi: 10.1186/s12865-022-00522-3.
6
Promising prognostic value of Transglutaminase type 2 and its correlation with tumor-infiltrating immune cells in skin cutaneous melanoma.组织转谷氨酰胺酶2在皮肤黑色素瘤中的预后价值及其与肿瘤浸润免疫细胞的相关性
Cell Death Discov. 2022 Jun 20;8(1):294. doi: 10.1038/s41420-022-01087-1.
7
Comprehensive analysis of ferroptosis-related genes and prognosis of cutaneous melanoma.全面分析铁死亡相关基因与皮肤黑色素瘤的预后关系。
BMC Med Genomics. 2022 Mar 1;15(1):39. doi: 10.1186/s12920-022-01194-z.
8
Progress in perisynaptic Schwann cell and neuromuscular junction research.突触周围施万细胞与神经肌肉接头研究进展。
Neural Regen Res. 2022 Jun;17(6):1273-1274. doi: 10.4103/1673-5374.327334.
9
Knockdown of PNO1 inhibits esophageal cancer progression.敲低 PNO1 抑制食管癌进展。
Oncol Rep. 2021 May;45(5). doi: 10.3892/or.2021.8036. Epub 2021 Apr 13.
10
Glycogen Synthase Kinase-3 Beta Expression Correlates With Worse Overall Survival in Non-Small Cell Lung Cancer-A Clinicopathological Series.糖原合酶激酶-3β表达与非小细胞肺癌较差的总生存期相关——一项临床病理系列研究
Front Oncol. 2021 Mar 9;11:621050. doi: 10.3389/fonc.2021.621050. eCollection 2021.
J Immunol Methods. 2019 Jun;469:47-51. doi: 10.1016/j.jim.2019.04.001. Epub 2019 Apr 2.
4
Natural Killer Cells as Key Players of Tumor Progression and Angiogenesis: Old and Novel Tools to Divert Their Pro-Tumor Activities into Potent Anti-Tumor Effects.自然杀伤细胞作为肿瘤进展和血管生成的关键参与者:将其促肿瘤活性转变为强大抗肿瘤效应的新旧工具
Cancers (Basel). 2019 Apr 1;11(4):461. doi: 10.3390/cancers11040461.
5
Presence of innate lymphoid cells in pleural effusions of primary and metastatic tumors: Functional analysis and expression of PD-1 receptor.原发性和转移性肿瘤胸腔积液中固有淋巴细胞的存在:功能分析和 PD-1 受体表达。
Int J Cancer. 2019 Sep 15;145(6):1660-1668. doi: 10.1002/ijc.32262. Epub 2019 Mar 26.
6
Selecting precise reference normal tissue samples for cancer research using a deep learning approach.使用深度学习方法为癌症研究选择精确的参考正常组织样本。
BMC Med Genomics. 2019 Jan 31;12(Suppl 1):21. doi: 10.1186/s12920-018-0463-6.
7
The role of Foxp3 and Tbet co-expressing Treg cells in lung carcinoma.共表达Foxp3和Tbet的调节性T细胞在肺癌中的作用。
Oncoimmunology. 2018 Apr 25;7(8):e1456612. doi: 10.1080/2162402X.2018.1456612. eCollection 2018.
8
Expansion of T follicular helper-T helper 1 like cells through epigenetic regulation by signal transducer and activator of transcription factors.通过信号转导子和转录激活子因子的表观遗传调控扩增滤泡辅助性 T 细胞-辅助性 T 细胞 1 样细胞。
Ann Rheum Dis. 2018 Sep;77(9):1354-1361. doi: 10.1136/annrheumdis-2017-212652. Epub 2018 May 31.
9
IRAK Inhibitor Protects the Intestinal Tract of Necrotizing Enterocolitis by Inhibiting the Toll-Like Receptor (TLR) Inflammatory Signaling Pathway in Rats.IRAK 抑制剂通过抑制大鼠 Toll 样受体(TLR)炎症信号通路来保护坏死性小肠结肠炎的肠道。
Med Sci Monit. 2018 May 22;24:3366-3373. doi: 10.12659/MSM.910327.
10
Ambiguous roles of innate lymphoid cells in chronic development of liver diseases.固有淋巴细胞在肝脏疾病慢性发展中的作用尚不清楚。
World J Gastroenterol. 2018 May 14;24(18):1962-1977. doi: 10.3748/wjg.v24.i18.1962.