Suppr超能文献

肿瘤来源的循环外泌体 miR-342-5p 和 miR-574-5p 作为早期肺腺癌有前途的诊断生物标志物。

Tumor-derived circulating exosomal miR-342-5p and miR-574-5p as promising diagnostic biomarkers for early-stage Lung Adenocarcinoma.

机构信息

Department of Thoracic Surgery, Peking Union Medical College Hospital (PUMCH), Chinese Academy of Medical Sciences & Peking Union Medical College (CAMS & PUMC), Beijing, 100730, P.R. China.

Key Laboratory of Genomic and Precision Medicine, Beijing Institute of Genomics, Chinese Academy of Sciences, China National Center for Bioinformation, Beijing, 100101, P.R. China.

出版信息

Int J Med Sci. 2020 Jun 6;17(10):1428-1438. doi: 10.7150/ijms.43500. eCollection 2020.

Abstract

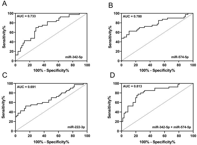
Lung cancer has been the leading cause of cancer morbidity and mortality in recent years. Most lung cancers are often asymptomatic until advanced or metastatic stage. Therefore, looking for the diagnostic biomarker for early-stage lung cancer is quite significant. Circulating exosomal microRNAs (miRNAs) have been reported to be the diagnostic and prognostic markers of various cancers. Here, we obtained circulating exosomal miRNA repertoires of 7 early-stage lung adenocarcinoma patients including pre-operation and post-operation (LA-pre and LA-post) and 7 heathy controls (HCs) by next generation sequence (NGS) and selected miR-342-5p, miR-574-5p and miR-222-3p to validate in ampliative samples by reverse transcription-quantitative PCR (RT-qPCR). Circulating exosomal miR-342-5p, miR-574-5p and miR-222-3p not only significantly elevated in LA patients (n = 56) compared with HCs (n = 40), but also significantly decreased after tumor resection when analyzed 51 paired pre- and post-operation samples. Furthermore, miR-342-5p and miR-574-5p, but not miR-222-3p, had a significantly elevated expression level in carcinoma tissue compared with adjacent non-cancerous tissue (n = 8). The receiver operating characteristic (ROC) curve showed the area under the curve (AUC) of combined miR-342-5p and miR-574-5p was 0.813 (95% CI: 0.7249 to 0.9009) with sensitivity and specificity of 80.0% and 73.2% respectively. In summary, circulating exosomal miR-342-5p and miR-574-5p have potential to serve as novel diagnostic biomarkers for early-stage LA.

摘要

近年来,肺癌一直是癌症发病率和死亡率的主要原因。大多数肺癌在晚期或转移阶段之前通常无症状。因此,寻找早期肺癌的诊断生物标志物具有重要意义。循环外泌体 microRNAs(miRNAs)已被报道为各种癌症的诊断和预后标志物。在这里,我们通过下一代测序(NGS)获得了 7 例早期肺腺癌患者(包括术前和术后)和 7 例健康对照者(HCs)的循环外泌体 miRNA 谱,选择 miR-342-5p、miR-574-5p 和 miR-222-3p 进行扩增样本的逆转录定量 PCR(RT-qPCR)验证。循环外泌体 miR-342-5p、miR-574-5p 和 miR-222-3p 不仅在 LA 患者(n=56)中明显高于 HCs(n=40),而且在 51 对术前和术后配对样本中肿瘤切除后也显著降低。此外,miR-342-5p 和 miR-574-5p 在癌组织中的表达水平明显高于癌旁非癌组织(n=8),而 miR-222-3p 则没有。受试者工作特征(ROC)曲线显示,联合 miR-342-5p 和 miR-574-5p 的曲线下面积(AUC)为 0.813(95%CI:0.7249 至 0.9009),灵敏度和特异性分别为 80.0%和 73.2%。总之,循环外泌体 miR-342-5p 和 miR-574-5p 具有作为早期 LA 新型诊断生物标志物的潜力。

https://cdn.ncbi.nlm.nih.gov/pmc/blobs/5a88/7330662/ec8da8ca19b5/ijmsv17p1428g001.jpg

文献检索

告别复杂PubMed语法,用中文像聊天一样搜索,搜遍4000万医学文献。AI智能推荐,让科研检索更轻松。

立即免费搜索

文件翻译

保留排版,准确专业,支持PDF/Word/PPT等文件格式,支持 12+语言互译。

免费翻译文档

深度研究

AI帮你快速写综述,25分钟生成高质量综述,智能提取关键信息,辅助科研写作。

立即免费体验