• 文献检索
  • 文档翻译
  • 深度研究
  • 学术资讯
  • Suppr Zotero 插件Zotero 插件
  • 邀请有礼
  • 套餐&价格
  • 历史记录
应用&插件
Suppr Zotero 插件Zotero 插件浏览器插件Mac 客户端Windows 客户端微信小程序
定价
高级版会员购买积分包购买API积分包
服务
文献检索文档翻译深度研究API 文档MCP 服务
关于我们
关于 Suppr公司介绍联系我们用户协议隐私条款
关注我们

Suppr 超能文献

核心技术专利:CN118964589B侵权必究
粤ICP备2023148730 号-1Suppr @ 2026

文献检索

告别复杂PubMed语法,用中文像聊天一样搜索,搜遍4000万医学文献。AI智能推荐,让科研检索更轻松。

立即免费搜索

文件翻译

保留排版,准确专业,支持PDF/Word/PPT等文件格式,支持 12+语言互译。

免费翻译文档

深度研究

AI帮你快速写综述,25分钟生成高质量综述,智能提取关键信息,辅助科研写作。

立即免费体验

MiR-155-5p和MiR-203a-3p是软组织肉瘤的预后因素。

MiR-155-5p and MiR-203a-3p Are Prognostic Factors in Soft Tissue Sarcoma.

作者信息

Greither Thomas, Koser Franziska, Holzhausen Hans-Jürgen, Güttler Antje, Würl Peter, Kappler Matthias, Wach Sven, Taubert Helge

机构信息

Center for Reproductive Medicine and Andrology, Martin Luther University Halle-Wittenberg, 06120 Halle (Saale), Germany.

Institute of Physiology II, University of Muenster, 48149 Münster, Germany.

出版信息

Cancers (Basel). 2020 Aug 12;12(8):2254. doi: 10.3390/cancers12082254.

DOI:10.3390/cancers12082254
PMID:32806571
原文链接:https://pmc.ncbi.nlm.nih.gov/articles/PMC7463991/
Abstract

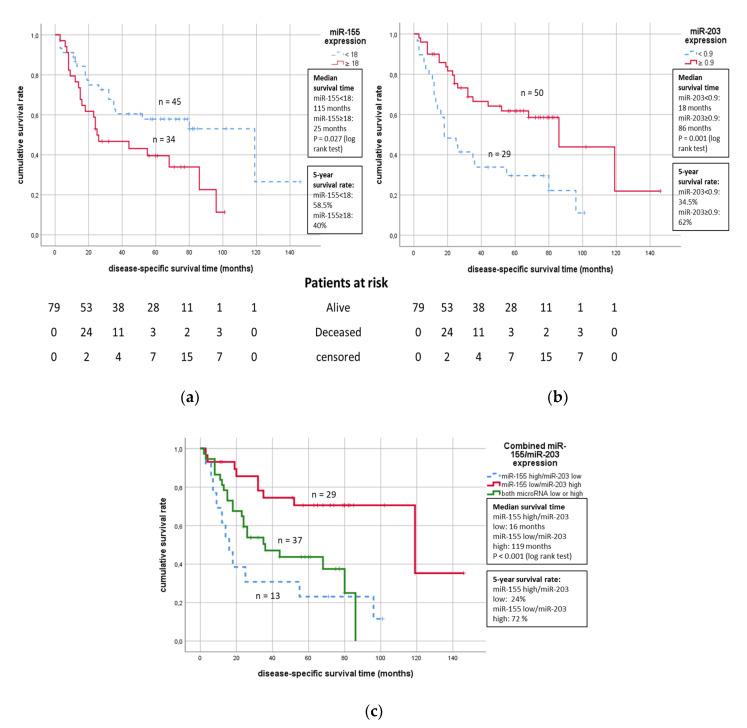
Soft tissue sarcoma (STS) is a heterogeneous group of rare malignancies with a five-year survival rate of approximately 50%. Reliable molecular markers for risk stratification and subsequent therapy management are still needed. Therefore, we analyzed the prognostic potential of miR-155-5p and miR-203a-3p expression in a cohort of 79 STS patients. MiR-155-5p and miR-203a-3p expression was measured from tumor total RNA by qPCR and correlated with the demographic, clinicopathological, and prognostic data of the patients. Elevated miR-155-5p expression was significantly associated with increased tumor stage and hypoxia-associated mRNA/protein expression. High miR-155-5p expression and low miR-203a-3p expression, as well as a combination of high miR-155-5p and low miR-203a-3p expression, were significantly associated with poor disease-specific survival in STS patients in the Kaplan-Meier survival analyses ( = 0.027, = 0.001 and = 0.0003, respectively) and in the univariate Cox regression analyses (RR = 1.96; = 0.031; RR = 2.59; = 0.002 and RR = 4.76; = 0.001, respectively), but not in the multivariate Cox regression analyses. In conclusion, the oncomiR miR-155-5p and the tumor suppressor-miR miR-203a-3p exhibit an association with STS patient prognosis and are suggested as candidates for risk assessment.

摘要

软组织肉瘤(STS)是一组异质性罕见恶性肿瘤,五年生存率约为50%。目前仍需要用于风险分层及后续治疗管理的可靠分子标志物。因此,我们分析了79例STS患者队列中miR-155-5p和miR-203a-3p表达的预后潜力。通过qPCR从肿瘤总RNA中检测miR-155-5p和miR-203a-3p的表达,并将其与患者的人口统计学、临床病理和预后数据相关联。miR-155-5p表达升高与肿瘤分期增加及缺氧相关mRNA/蛋白表达增加显著相关。在Kaplan-Meier生存分析中(分别为=0.027、=0.001和=0.0003)以及单因素Cox回归分析中(RR=1.96;=0.031;RR=2.59;=0.002和RR=4.76;=0.001),高miR-155-5p表达和低miR-203a-3p表达以及高miR-155-5p和低miR-203a-3p表达的组合与STS患者的疾病特异性生存不良显著相关,但在多因素Cox回归分析中并非如此。总之,癌基因miR-155-5p和肿瘤抑制性miR miR-203a-3p与STS患者预后相关,并被建议作为风险评估的候选指标。

https://cdn.ncbi.nlm.nih.gov/pmc/blobs/df7b/7463991/db2574d9116b/cancers-12-02254-g004.jpg
https://cdn.ncbi.nlm.nih.gov/pmc/blobs/df7b/7463991/4b864a651521/cancers-12-02254-g001.jpg
https://cdn.ncbi.nlm.nih.gov/pmc/blobs/df7b/7463991/537bcb17aa1e/cancers-12-02254-g002.jpg
https://cdn.ncbi.nlm.nih.gov/pmc/blobs/df7b/7463991/98b3651dc267/cancers-12-02254-g003.jpg
https://cdn.ncbi.nlm.nih.gov/pmc/blobs/df7b/7463991/db2574d9116b/cancers-12-02254-g004.jpg
https://cdn.ncbi.nlm.nih.gov/pmc/blobs/df7b/7463991/4b864a651521/cancers-12-02254-g001.jpg
https://cdn.ncbi.nlm.nih.gov/pmc/blobs/df7b/7463991/537bcb17aa1e/cancers-12-02254-g002.jpg
https://cdn.ncbi.nlm.nih.gov/pmc/blobs/df7b/7463991/98b3651dc267/cancers-12-02254-g003.jpg
https://cdn.ncbi.nlm.nih.gov/pmc/blobs/df7b/7463991/db2574d9116b/cancers-12-02254-g004.jpg

相似文献

1
MiR-155-5p and MiR-203a-3p Are Prognostic Factors in Soft Tissue Sarcoma.MiR-155-5p和MiR-203a-3p是软组织肉瘤的预后因素。
Cancers (Basel). 2020 Aug 12;12(8):2254. doi: 10.3390/cancers12082254.
2
miR-21-5p/203a-3p promote ox-LDL-induced endothelial cell senescence through down-regulation of mitochondrial fission protein Drp1.微小RNA-21-5p/203a-3p通过下调线粒体裂变蛋白动力相关蛋白1促进氧化型低密度脂蛋白诱导的内皮细胞衰老。
Mech Ageing Dev. 2017 Jun;164:8-19. doi: 10.1016/j.mad.2017.03.009. Epub 2017 Mar 24.
3
Host microRNA-203a Is antagonistic to the progression of foot-and-mouth disease virus infection.宿主微小RNA-203a对抗口蹄疫病毒感染的进展。
Virology. 2017 Apr;504:52-62. doi: 10.1016/j.virol.2017.01.019. Epub 2017 Jan 31.
4
Plasma Exosome miR-203a-3p is a Potential Liquid Biopsy Marker for Assessing Tumor Progression in Breast Cancer Patients.血浆外泌体miR-203a-3p是评估乳腺癌患者肿瘤进展的潜在液体活检标志物。
Breast Cancer (Dove Med Press). 2024 Sep 18;16:631-643. doi: 10.2147/BCTT.S478328. eCollection 2024.
5
Atorvastatin exerts inhibitory effect on endothelial senescence in hyperlipidemic rats through a mechanism involving down-regulation of miR-21-5p/203a-3p.阿托伐他汀通过下调 miR-21-5p/203a-3p 抑制高血脂大鼠血管内皮衰老
Mech Ageing Dev. 2018 Jan;169:10-18. doi: 10.1016/j.mad.2017.12.001. Epub 2017 Dec 15.
6
The predictive powers of plasma trefoil factor 3 or its related micro RNAs for patients with hepatocellular carcinoma.血浆三叶因子 3 或其相关 microRNAs 对肝细胞癌患者的预测能力。
BMC Cancer. 2018 Nov 13;18(1):1110. doi: 10.1186/s12885-018-5017-y.
7
Identification of a sixteen-microRNA signature as prognostic biomarker for stage II and III colon cancer.鉴定一种十六种微小RNA特征作为II期和III期结肠癌的预后生物标志物。
Oncotarget. 2017 Sep 23;8(50):87837-87847. doi: 10.18632/oncotarget.21237. eCollection 2017 Oct 20.
8
Expression and significance of miR-654-5p and miR-376b-3p in patients with colon cancer.miR-654-5p和miR-376b-3p在结肠癌患者中的表达及意义
World J Gastrointest Oncol. 2020 Apr 15;12(4):492-502. doi: 10.4251/wjgo.v12.i4.492.
9
LncRNA HOTAIR is a Prognostic Biomarker for the Proliferation and Chemoresistance of Colorectal Cancer via MiR-203a-3p-Mediated Wnt/ß-Catenin Signaling Pathway.长链非编码RNA HOTAIR通过miR-203a-3p介导的Wnt/β-连环蛋白信号通路成为结直肠癌增殖和化疗耐药的预后生物标志物。
Cell Physiol Biochem. 2018;46(3):1275-1285. doi: 10.1159/000489110. Epub 2018 Apr 16.
10
miR-203a-3p, ABL1 and TP63 gene expression is altered in the endometrium of women with endometriosis.在子宫内膜异位症女性的子宫内膜中,miR-203a-3p、ABL1和TP63基因的表达发生了改变。
Gynecol Endocrinol. 2022 Jul;38(7):603-607. doi: 10.1080/09513590.2022.2076830. Epub 2022 May 19.

引用本文的文献

1
RUNX2 inhibition disrupts a PAX3::FOXO1-RUNX2 feed-forward loop and dismantles oncogenic gene programs in fusion-positive rhabdomyosarcoma.RUNX2抑制作用破坏了PAX3::FOXO1-RUNX2前馈环,并瓦解了融合阳性横纹肌肉瘤中的致癌基因程序。
bioRxiv. 2025 Jul 24:2025.07.21.665972. doi: 10.1101/2025.07.21.665972.
2
Targeting Drp1 inhibits ESCC progression via the ROS-PGC1-α-Nrf1/2 pathway.靶向动力相关蛋白1(Drp1)通过活性氧(ROS)-过氧化物酶体增殖物激活受体γ共激活因子1α(PGC1-α)-核因子E2相关因子1/2(Nrf1/2)途径抑制食管鳞状细胞癌(ESCC)进展。
J Transl Med. 2025 Jun 17;23(1):674. doi: 10.1186/s12967-025-06697-8.
3
miR-203, fine-tunning neuroinflammation by juggling different components of NF-κB signaling.

本文引用的文献

1
MiR-155-5p exerts tumor-suppressing functions in Wilms tumor by targeting IGF2 via the PI3K signaling pathway.miR-155-5p 通过靶向 IGF2 抑制 PI3K 信号通路发挥抑癌作用,进而抑制肾母细胞瘤的发生发展。
Biomed Pharmacother. 2020 May;125:109880. doi: 10.1016/j.biopha.2020.109880. Epub 2020 Jan 28.
2
Up-regulation of microRNA-203 inhibits myocardial fibrosis and oxidative stress in mice with diabetic cardiomyopathy through the inhibition of PI3K/Akt signaling pathway via PIK3CA.miR-203 通过抑制 PIK3CA 对 PI3K/Akt 信号通路的抑制作用,上调抑制糖尿病心肌病小鼠心肌纤维化和氧化应激。
Gene. 2019 Oct 5;715:143995. doi: 10.1016/j.gene.2019.143995. Epub 2019 Jul 20.
3
miR-203 通过调节 NF-κB 信号通路的不同成分精细调控神经炎症。
J Neuroinflammation. 2022 Apr 12;19(1):84. doi: 10.1186/s12974-022-02451-9.
4
Bone and Soft Tissue Tumors: New Treatment Approaches.骨与软组织肿瘤:新的治疗方法
Cancers (Basel). 2021 Apr 12;13(8):1832. doi: 10.3390/cancers13081832.
5
Prognostic impact of cytoplasmatic EGFR upregulation in patients with oral squamous cell carcinoma: A pilot study.口腔鳞状细胞癌患者细胞质表皮生长因子受体上调的预后影响:一项初步研究。
Mol Clin Oncol. 2020 Dec;13(6):88. doi: 10.3892/mco.2020.2158. Epub 2020 Oct 21.
How close are miRNAs from clinical practice? A perspective on the diagnostic and therapeutic market.
微小RNA(miRNA)距离临床应用还有多远?关于诊断和治疗市场的展望。
EJIFCC. 2019 Jun 24;30(2):114-127. eCollection 2019 Jun.
4
Lgr5-mediated p53 Repression through PDCD5 leads to doxorubicin resistance in Hepatocellular Carcinoma.Lgr5 通过 PDCD5 介导的 p53 抑制导致肝癌多柔比星耐药。
Theranostics. 2019 May 9;9(10):2967-2983. doi: 10.7150/thno.30562. eCollection 2019.
5
MiR-155 affects osteosarcoma cell proliferation and invasion through regulating NF-κB signaling pathway.miR-155 通过调控 NF-κB 信号通路影响骨肉瘤细胞的增殖和侵袭。
Eur Rev Med Pharmacol Sci. 2018 Nov;22(22):7633-7639. doi: 10.26355/eurrev_201811_16380.
6
Low HIF-1α and low EGFR mRNA Expression Significantly Associate with Poor Survival in Soft Tissue Sarcoma Patients; the Proteins React Differently.低 HIF-1α 和低 EGFR mRNA 表达与软组织肉瘤患者的不良生存显著相关;其蛋白表达反应不同。
Int J Mol Sci. 2018 Dec 3;19(12):3842. doi: 10.3390/ijms19123842.
7
Prognostic role of microRNA-155 in patients with leukemia: A meta-analysis.miR-155 在白血病患者中的预后作用:一项荟萃分析。
Clin Chim Acta. 2018 Aug;483:6-13. doi: 10.1016/j.cca.2018.04.015. Epub 2018 Apr 11.
8
miR-155 Affects Osteosarcoma MG-63 Cell Autophagy Induced by Adriamycin Through Regulating PTEN-PI3K/AKT/mTOR Signaling Pathway.miR-155 通过调控 PTEN-PI3K/AKT/mTOR 信号通路影响阿霉素诱导的骨肉瘤 MG-63 细胞自噬。
Cancer Biother Radiopharm. 2018 Feb;33(1):32-38. doi: 10.1089/cbr.2017.2306. Epub 2018 Feb 7.
9
MicroRNAs in Different Histologies of Soft Tissue Sarcoma: A Comprehensive Review.不同组织学类型的软组织肉瘤中的 microRNAs:全面综述。
Int J Mol Sci. 2017 Sep 12;18(9):1960. doi: 10.3390/ijms18091960.
10
Assessing the clinical value of microRNAs in formalin-fixed paraffin-embedded liposarcoma tissues: Overexpressed miR-155 is an indicator of poor prognosis.评估微小RNA在福尔马林固定石蜡包埋脂肪肉瘤组织中的临床价值:miR-155过表达是预后不良的一个指标。
Oncotarget. 2017 Jan 24;8(4):6896-6913. doi: 10.18632/oncotarget.14320.